Номер 1355, страница 303 - гдз по математике 6 класс учебник Мерзляк, Полонский

Авторы: Мерзляк А. Г., Полонский В. Б., Якир М. С.
Тип: Учебник
Издательство: Просвещение, Вентана-граф
Год издания: 2019 - 2022
Цвет обложки: салатовый, зелёный
ISBN: 978-5-360-10057-7
Рекомендовано Министерством образования и науки Российской Федерации
Популярные ГДЗ в 6 классе
Упражнения. Упражнения для повторения курса математики - номер 1355, страница 303.
№1355 (с. 303)
Условие. №1355 (с. 303)
скриншот условия

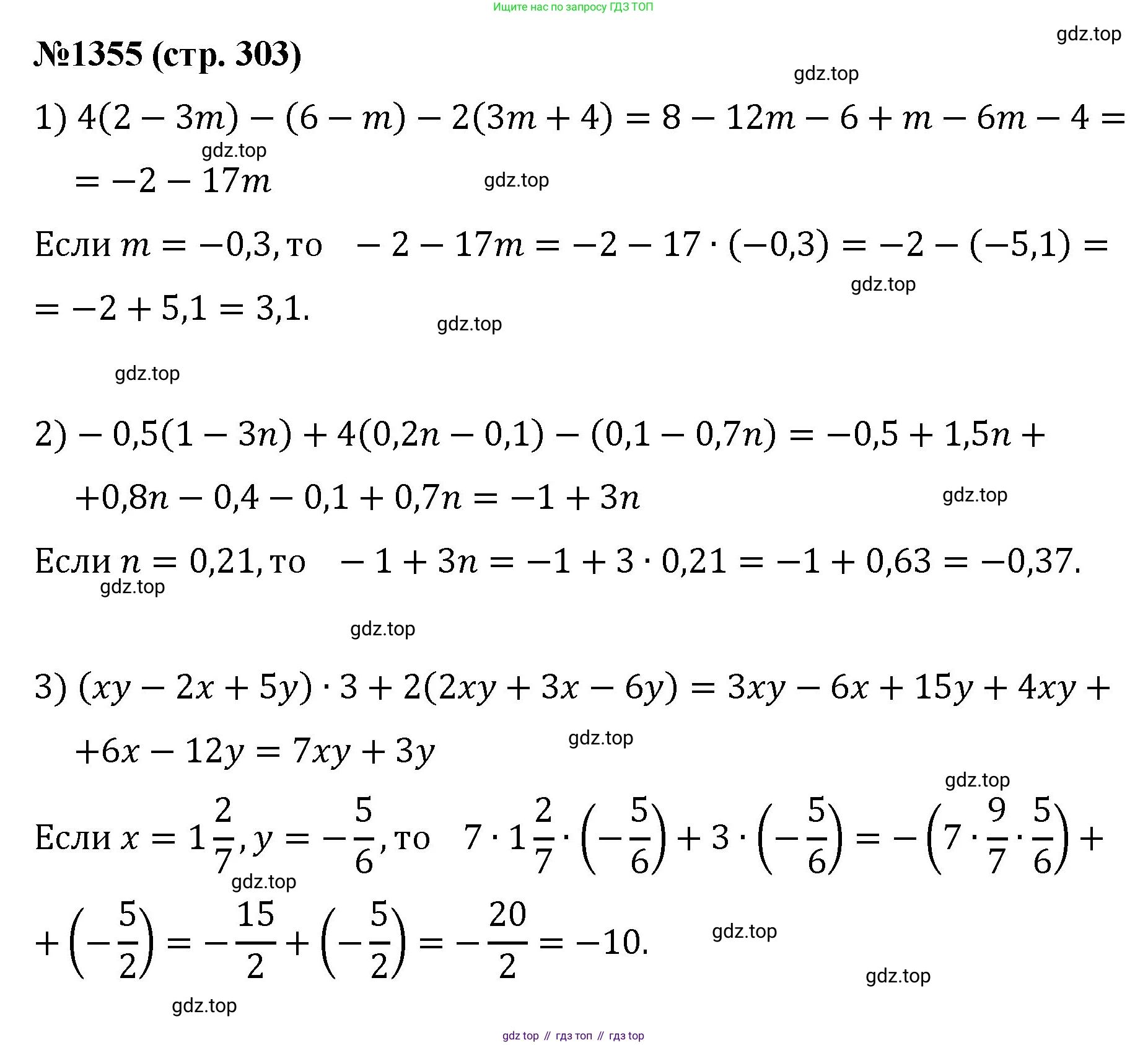
1355. Упростите выражение и найдите его значение:
1) $4(2 - 3m) - (6 - m) - 2(3m + 4)$, если $m = -0,3$;
2) $-0,5(1 - 3n) + 4(0,2n - 0,1) - (0,1 - 0,7n)$, если $n = 0,21$;
3) $(xy - 2x + 5y) \cdot 3 + 2(2xy + 3x - 6y)$, если $x = 1\tfrac{2}{7}$, $y = -\frac{5}{6}$;
4) $(3m - 4n)k - m(6n + 5k) - (nk - 6mn)$, если $m = -1$, $k = -3,5$, $n = 4$;
5) $2a(3 - b) - 3b(a - 2) - 5(ab + a + b)$, если $a = 1,5$, $b = -2,6$;
6) $-\frac{5}{8}(5,6m - 1,6n) - 7,2\left(-\frac{4}{9}m + 1\tfrac{7}{18}n\right)$, если $m = 10$, $n = \frac{5}{18}$;
7) $-\frac{3}{7}\left(2,1x + 4\tfrac{2}{3}y\right) + 2,2\left(-\frac{3}{11}x - \frac{5}{22}y\right)$, если $x = -1\tfrac{1}{3}$, $y = 1,2$;
8) $\frac{7}{23}\left(3\tfrac{2}{7}a - 2\tfrac{4}{21}b\right) - \frac{9}{16}\left(5\tfrac{1}{3}a - \frac{8}{15}b\right)$, если $a = 5,5$, $b = 2\tfrac{8}{11}$.
Решение. №1355 (с. 303)



Решение 2. №1355 (с. 303)
1)
Сначала упростим выражение:
$4(2 - 3m) - (6 - m) - 2(3m + 4) = 8 - 12m - 6 + m - 6m - 8 = (8 - 6 - 8) + (-12m + m - 6m) = -6 - 17m$
Теперь подставим значение $m = -0,3$:
$-6 - 17m = -6 - 17 \cdot (-0,3) = -6 + 5,1 = -0,9$
Ответ: -0,9
2)
Сначала упростим выражение:
$-0,5(1 - 3n) + 4(0,2n - 0,1) - (0,1 - 0,7n) = -0,5 + 1,5n + 0,8n - 0,4 - 0,1 + 0,7n = (-0,5 - 0,4 - 0,1) + (1,5n + 0,8n + 0,7n) = -1 + 3n$
Теперь подставим значение $n = 0,21$:
$-1 + 3n = -1 + 3 \cdot 0,21 = -1 + 0,63 = -0,37$
Ответ: -0,37
3)
Сначала упростим выражение:
$(xy - 2x + 5y) \cdot 3 + 2(2xy + 3x - 6y) = 3xy - 6x + 15y + 4xy + 6x - 12y = (3xy + 4xy) + (-6x + 6x) + (15y - 12y) = 7xy + 3y$
Теперь подставим значения $x = 1\frac{2}{7} = \frac{9}{7}$ и $y = -\frac{5}{6}$:
$7xy + 3y = 7 \cdot \frac{9}{7} \cdot (-\frac{5}{6}) + 3 \cdot (-\frac{5}{6}) = 9 \cdot (-\frac{5}{6}) - \frac{5}{2} = -\frac{45}{6} - \frac{15}{6} = -\frac{60}{6} = -10$
Ответ: -10
4)
Сначала упростим выражение:
$(3m - 4n)k - m(6n + 5k) - (nk - 6mn) = 3mk - 4nk - 6mn - 5mk - nk + 6mn = (3mk - 5mk) + (-4nk - nk) + (-6mn + 6mn) = -2mk - 5nk$
Теперь подставим значения $m = -1$, $k = -3,5$, $n = 4$:
$-2mk - 5nk = -2 \cdot (-1) \cdot (-3,5) - 5 \cdot 4 \cdot (-3,5) = -7 - 20 \cdot (-3,5) = -7 + 70 = 63$
Ответ: 63
5)
Сначала упростим выражение:
$2a(3 - b) - 3b(a - 2) - 5(ab + a + b) = 6a - 2ab - 3ab + 6b - 5ab - 5a - 5b = (6a - 5a) + (6b - 5b) + (-2ab - 3ab - 5ab) = a + b - 10ab$
Теперь подставим значения $a = 1,5$ и $b = -2,6$:
$a + b - 10ab = 1,5 + (-2,6) - 10 \cdot 1,5 \cdot (-2,6) = -1,1 - 15 \cdot (-2,6) = -1,1 + 39 = 37,9$
Ответ: 37,9
6)
Сначала упростим выражение, преобразовав десятичные и смешанные дроби в обыкновенные:
$-\frac{5}{8}(5,6m - 1,6n) - 7,2(-\frac{4}{9}m + 1\frac{7}{18}n) = -\frac{5}{8}(\frac{56}{10}m - \frac{16}{10}n) - \frac{72}{10}(-\frac{4}{9}m + \frac{25}{18}n) = -\frac{5}{8}(\frac{28}{5}m - \frac{8}{5}n) - \frac{36}{5}(-\frac{4}{9}m + \frac{25}{18}n)$
$= -\frac{5 \cdot 28}{8 \cdot 5}m + \frac{5 \cdot 8}{8 \cdot 5}n + \frac{36 \cdot 4}{5 \cdot 9}m - \frac{36 \cdot 25}{5 \cdot 18}n = -\frac{7}{2}m + n + \frac{16}{5}m - 10n = (-\frac{7}{2} + \frac{16}{5})m + (1 - 10)n$
$= (-\frac{35}{10} + \frac{32}{10})m - 9n = -\frac{3}{10}m - 9n = -0,3m - 9n$
Теперь подставим значения $m = 10$ и $n = \frac{5}{18}$:
$-0,3m - 9n = -0,3 \cdot 10 - 9 \cdot \frac{5}{18} = -3 - \frac{5}{2} = -3 - 2,5 = -5,5$
Ответ: -5,5
7)
Сначала упростим выражение, преобразовав десятичные и смешанные дроби в обыкновенные:
$-\frac{3}{7}(2,1x + 4\frac{2}{3}y) + 2,2(-\frac{3}{11}x - \frac{5}{22}y) = -\frac{3}{7}(\frac{21}{10}x + \frac{14}{3}y) + \frac{22}{10}(-\frac{3}{11}x - \frac{5}{22}y)$
$= -\frac{3 \cdot 21}{7 \cdot 10}x - \frac{3 \cdot 14}{7 \cdot 3}y - \frac{22 \cdot 3}{10 \cdot 11}x - \frac{22 \cdot 5}{10 \cdot 22}y = -\frac{9}{10}x - 2y - \frac{3}{5}x - \frac{1}{2}y$
$= (-\frac{9}{10} - \frac{3}{5})x + (-2 - \frac{1}{2})y = (-\frac{9}{10} - \frac{6}{10})x + (-\frac{4}{2} - \frac{1}{2})y = -\frac{15}{10}x - \frac{5}{2}y = -1,5x - 2,5y$
Теперь подставим значения $x = -1\frac{1}{3} = -\frac{4}{3}$ и $y = 1,2 = \frac{6}{5}$:
$-1,5x - 2,5y = -\frac{3}{2} \cdot (-\frac{4}{3}) - \frac{5}{2} \cdot \frac{6}{5} = 2 - 3 = -1$
Ответ: -1
8)
Сначала упростим выражение, преобразовав смешанные дроби в обыкновенные:
$\frac{7}{23}(3\frac{2}{7}a - 2\frac{4}{21}b) - \frac{9}{16}(5\frac{1}{3}a - \frac{8}{15}b) = \frac{7}{23}(\frac{23}{7}a - \frac{46}{21}b) - \frac{9}{16}(\frac{16}{3}a - \frac{8}{15}b)$
$= \frac{7 \cdot 23}{23 \cdot 7}a - \frac{7 \cdot 46}{23 \cdot 21}b - \frac{9 \cdot 16}{16 \cdot 3}a + \frac{9 \cdot 8}{16 \cdot 15}b = a - \frac{2}{3}b - 3a + \frac{3}{10}b$
$= (1 - 3)a + (-\frac{2}{3} + \frac{3}{10})b = -2a + (-\frac{20}{30} + \frac{9}{30})b = -2a - \frac{11}{30}b$
Теперь подставим значения $a = 5,5 = \frac{11}{2}$ и $b = 2\frac{8}{11} = \frac{30}{11}$:
$-2a - \frac{11}{30}b = -2 \cdot \frac{11}{2} - \frac{11}{30} \cdot \frac{30}{11} = -11 - 1 = -12$
Ответ: -12
Другие задания:
Помогло решение? Оставьте отзыв в комментариях ниже.
Присоединяйтесь к Телеграм-группе @top_gdz
ПрисоединитьсяМы подготовили для вас ответ c подробным объяснением домашего задания по математике за 6 класс, для упражнения номер 1355 расположенного на странице 303 к учебнику 2019 - 2022 года издания для учащихся школ и гимназий.
Теперь на нашем сайте ГДЗ.ТОП вы всегда легко и бесплатно найдёте условие с правильным ответом на вопрос «Как решить ДЗ» и «Как сделать» задание по математике к упражнению №1355 (с. 303), авторов: Мерзляк (Аркадий Григорьевич), Полонский (Виталий Борисович), Якир (Михаил Семёнович), ФГОС (старый) учебного пособия издательства Просвещение, Вентана-граф.