Номер 1356, страница 303 - гдз по математике 6 класс учебник Мерзляк, Полонский

Авторы: Мерзляк А. Г., Полонский В. Б., Якир М. С.
Тип: Учебник
Издательство: Просвещение, Вентана-граф
Год издания: 2019 - 2022
Цвет обложки: салатовый, зелёный
ISBN: 978-5-360-10057-7
Рекомендовано Министерством образования и науки Российской Федерации
Популярные ГДЗ в 6 классе
Упражнения. Упражнения для повторения курса математики - номер 1356, страница 303.
№1356 (с. 303)
Условие. №1356 (с. 303)
скриншот условия

1356. Решите уравнение:
1) $2,5x = -1;$
2) $0,3x = 1;$
3) $7x = -3;$
4) $-16x = 8;$
5) $|x| - 5 = 0;$
6) $|x| + 3,2 = 8;$
7) $4,1 - |x| = 5;$
8) $|3x + 1,8| = 0;$
9) $9|x| - 6 = 0;$
10) $\frac{8}{x} = \frac{6}{5};$
11) $\frac{7}{4} = \frac{x}{2};$
12) $\frac{x+3}{12} = \frac{4}{3};$
13) $7x = x + 25;$
14) $0,4x - 6 = 0,6x - 9;$
15) $3x + 16 = 9 - 10x;$
16) $0,6 \left(x + 1\frac{2}{3}\right) = -1,2;$
17) $-3,4 \left(x + 9\frac{3}{11}\right) = -68;$
18) $\frac{x}{3} + \frac{x}{4} = -21;$
19) $\frac{2m}{3} - \frac{4m}{5} = 3;$
20) $\frac{4a}{9} - 1 = \frac{5a}{12};$
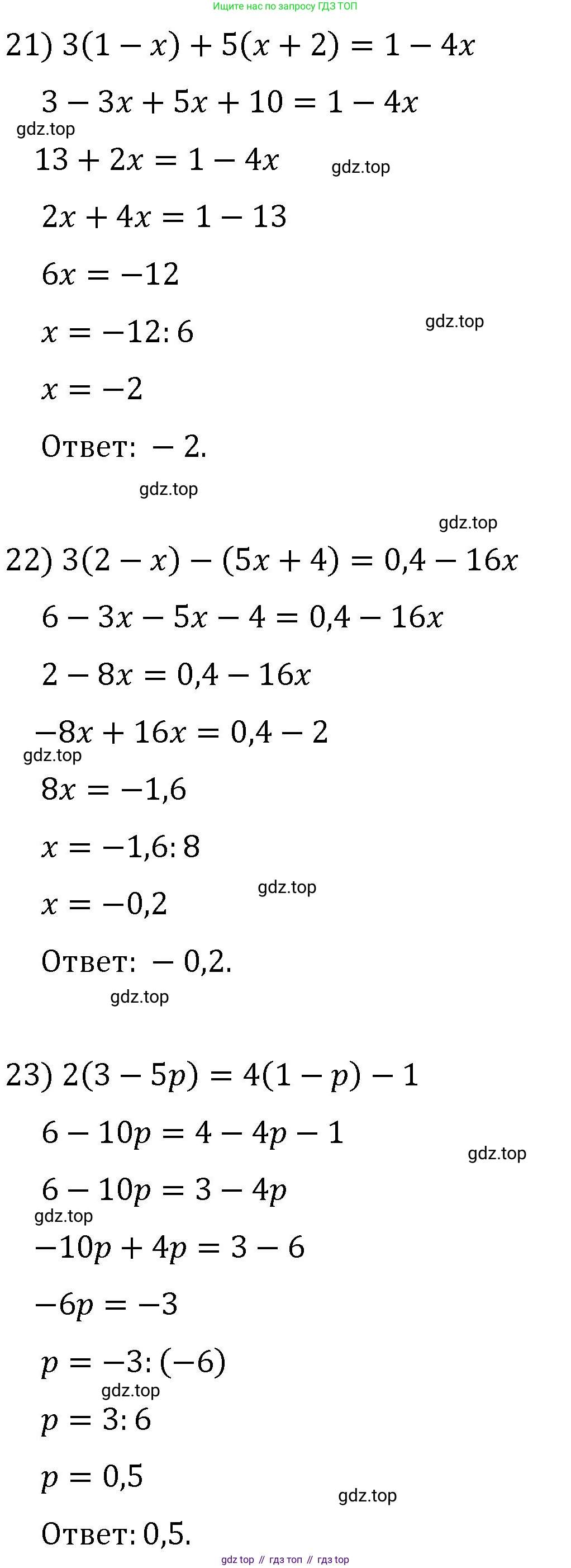
21) $3(1 - x) + 5(x + 2) = 1 - 4x;$
22) $3(2 - x) - (5x + 4) = 0,4 - 16x;$
23) $2(3 - 5p) = 4(1 - p) - 1;$
24) $0,5(2y - 1) - (0,5 - 0,2y) + 1 = 0;$
25) $-4(5 - 2m) + 3(m - 4) = 6(2 - m) - 5m;$
26) $0,3(3x - 1) + 0,2 = 5(0,1 - 0,2x) - 0,1.$
Решение. №1356 (с. 303)







Решение 2. №1356 (с. 303)
1) $2,5x = -1$
Чтобы найти $x$, разделим обе части уравнения на $2,5$.
$x = \frac{-1}{2,5} = \frac{-10}{25} = -\frac{2}{5}$
$x = -0,4$
Ответ: $-0,4$
2) $0,3x = 1$
Чтобы найти $x$, разделим обе части уравнения на $0,3$.
$x = \frac{1}{0,3} = \frac{10}{3} = 3\frac{1}{3}$
Ответ: $3\frac{1}{3}$
3) $7x = -3$
Чтобы найти $x$, разделим обе части уравнения на $7$.
$x = -\frac{3}{7}$
Ответ: $-\frac{3}{7}$
4) $-16x = 8$
Чтобы найти $x$, разделим обе части уравнения на $-16$.
$x = \frac{8}{-16} = -\frac{1}{2}$
$x = -0,5$
Ответ: $-0,5$
5) $|x| - 5 = 0$
Перенесем $-5$ в правую часть уравнения, изменив знак.
$|x| = 5$
Это уравнение имеет два корня, так как модуль числа $5$ и модуль числа $-5$ равен $5$.
$x_1 = 5$, $x_2 = -5$
Ответ: $5; -5$
6) $|x| + 3,2 = 8$
Вычтем $3,2$ из обеих частей уравнения.
$|x| = 8 - 3,2$
$|x| = 4,8$
Уравнение имеет два корня.
$x_1 = 4,8$, $x_2 = -4,8$
Ответ: $4,8; -4,8$
7) $4,1 - |x| = 5$
Выразим $|x|$.
$-|x| = 5 - 4,1$
$-|x| = 0,9$
$|x| = -0,9$
Модуль числа не может быть отрицательным, следовательно, у уравнения нет корней.
Ответ: нет корней
8) $|3x + 1,8| = 0$
Модуль выражения равен нулю только тогда, когда само выражение равно нулю.
$3x + 1,8 = 0$
$3x = -1,8$
$x = \frac{-1,8}{3}$
$x = -0,6$
Ответ: $-0,6$
9) $9|x| - 6 = 0$
Перенесем $-6$ в правую часть и разделим на $9$.
$9|x| = 6$
$|x| = \frac{6}{9} = \frac{2}{3}$
Уравнение имеет два корня.
$x_1 = \frac{2}{3}$, $x_2 = -\frac{2}{3}$
Ответ: $\frac{2}{3}; -\frac{2}{3}$
10) $\frac{8}{x} = \frac{6}{5}$
Используем свойство пропорции (перекрестное умножение).
$6 \cdot x = 8 \cdot 5$
$6x = 40$
$x = \frac{40}{6} = \frac{20}{3} = 6\frac{2}{3}$
Ответ: $6\frac{2}{3}$
11) $\frac{7}{4} = \frac{x}{2}$
Используем свойство пропорции.
$4 \cdot x = 7 \cdot 2$
$4x = 14$
$x = \frac{14}{4} = \frac{7}{2} = 3,5$
Ответ: $3,5$
12) $\frac{x+3}{12} = \frac{4}{3}$
Используем свойство пропорции.
$3(x+3) = 12 \cdot 4$
$3x + 9 = 48$
$3x = 48 - 9$
$3x = 39$
$x = \frac{39}{3} = 13$
Ответ: $13$
13) $7x = x + 25$
Перенесем $x$ в левую часть уравнения.
$7x - x = 25$
$6x = 25$
$x = \frac{25}{6} = 4\frac{1}{6}$
Ответ: $4\frac{1}{6}$
14) $0,4x - 6 = 0,6x - 9$
Сгруппируем слагаемые с $x$ в одной части, а свободные члены — в другой.
$9 - 6 = 0,6x - 0,4x$
$3 = 0,2x$
$x = \frac{3}{0,2} = \frac{30}{2} = 15$
Ответ: $15$
15) $3x + 16 = 9 - 10x$
Сгруппируем слагаемые.
$3x + 10x = 9 - 16$
$13x = -7$
$x = -\frac{7}{13}$
Ответ: $-\frac{7}{13}$
16) $0,6\left(x + 1\frac{2}{3}\right) = -1,2$
Разделим обе части уравнения на $0,6$.
$x + 1\frac{2}{3} = \frac{-1,2}{0,6}$
$x + 1\frac{2}{3} = -2$
$x = -2 - 1\frac{2}{3}$
$x = -3\frac{2}{3}$
Ответ: $-3\frac{2}{3}$
17) $-3,4\left(x + 9\frac{3}{11}\right) = -68$
Разделим обе части уравнения на $-3,4$.
$x + 9\frac{3}{11} = \frac{-68}{-3,4} = \frac{680}{34}$
$x + 9\frac{3}{11} = 20$
$x = 20 - 9\frac{3}{11} = 19\frac{11}{11} - 9\frac{3}{11}$
$x = 10\frac{8}{11}$
Ответ: $10\frac{8}{11}$
18) $\frac{x}{3} + \frac{x}{4} = -21$
Приведем дроби к общему знаменателю $12$.
$\frac{4x}{12} + \frac{3x}{12} = -21$
$\frac{7x}{12} = -21$
$7x = -21 \cdot 12$
$7x = -252$
$x = \frac{-252}{7} = -36$
Ответ: $-36$
19) $\frac{2m}{3} - \frac{4m}{5} = 3$
Приведем дроби к общему знаменателю $15$.
$\frac{5 \cdot 2m}{15} - \frac{3 \cdot 4m}{15} = 3$
$\frac{10m - 12m}{15} = 3$
$\frac{-2m}{15} = 3$
$-2m = 3 \cdot 15$
$-2m = 45$
$m = \frac{45}{-2} = -22,5$
Ответ: $-22,5$
20) $\frac{4a}{9} - 1 = \frac{5a}{12}$
Сгруппируем слагаемые с $a$.
$\frac{4a}{9} - \frac{5a}{12} = 1$
Приведем дроби к общему знаменателю $36$.
$\frac{4 \cdot 4a}{36} - \frac{3 \cdot 5a}{36} = 1$
$\frac{16a - 15a}{36} = 1$
$\frac{a}{36} = 1$
$a = 36$
Ответ: $36$
21) $3(1-x) + 5(x+2) = 1 - 4x$
Раскроем скобки.
$3 - 3x + 5x + 10 = 1 - 4x$
Приведем подобные слагаемые.
$2x + 13 = 1 - 4x$
$2x + 4x = 1 - 13$
$6x = -12$
$x = \frac{-12}{6} = -2$
Ответ: $-2$
22) $3(2-x) - (5x+4) = 0,4 - 16x$
Раскроем скобки.
$6 - 3x - 5x - 4 = 0,4 - 16x$
Приведем подобные слагаемые.
$2 - 8x = 0,4 - 16x$
$16x - 8x = 0,4 - 2$
$8x = -1,6$
$x = \frac{-1,6}{8} = -0,2$
Ответ: $-0,2$
23) $2(3-5p) = 4(1-p) - 1$
Раскроем скобки.
$6 - 10p = 4 - 4p - 1$
Приведем подобные слагаемые.
$6 - 10p = 3 - 4p$
$6 - 3 = 10p - 4p$
$3 = 6p$
$p = \frac{3}{6} = \frac{1}{2} = 0,5$
Ответ: $0,5$
24) $0,5(2y-1) - (0,5 - 0,2y) + 1 = 0$
Раскроем скобки.
$1y - 0,5 - 0,5 + 0,2y + 1 = 0$
Приведем подобные слагаемые.
$(1 + 0,2)y - 0,5 - 0,5 + 1 = 0$
$1,2y + 0 = 0$
$1,2y = 0$
$y = 0$
Ответ: $0$
25) $-4(5-2m) + 3(m-4) = 6(2-m) - 5m$
Раскроем скобки.
$-20 + 8m + 3m - 12 = 12 - 6m - 5m$
Приведем подобные слагаемые в обеих частях.
$11m - 32 = 12 - 11m$
$11m + 11m = 12 + 32$
$22m = 44$
$m = \frac{44}{22} = 2$
Ответ: $2$
26) $0,3(3x-1) + 0,2 = 5(0,1-0,2x) - 0,1$
Раскроем скобки.
$0,9x - 0,3 + 0,2 = 0,5 - 1x - 0,1$
Приведем подобные слагаемые в обеих частях.
$0,9x - 0,1 = 0,4 - x$
$0,9x + x = 0,4 + 0,1$
$1,9x = 0,5$
Чтобы избавиться от десятичных дробей, умножим обе части на $10$.
$19x = 5$
$x = \frac{5}{19}$
Ответ: $\frac{5}{19}$
Другие задания:
Помогло решение? Оставьте отзыв в комментариях ниже.
Присоединяйтесь к Телеграм-группе @top_gdz
ПрисоединитьсяМы подготовили для вас ответ c подробным объяснением домашего задания по математике за 6 класс, для упражнения номер 1356 расположенного на странице 303 к учебнику 2019 - 2022 года издания для учащихся школ и гимназий.
Теперь на нашем сайте ГДЗ.ТОП вы всегда легко и бесплатно найдёте условие с правильным ответом на вопрос «Как решить ДЗ» и «Как сделать» задание по математике к упражнению №1356 (с. 303), авторов: Мерзляк (Аркадий Григорьевич), Полонский (Виталий Борисович), Якир (Михаил Семёнович), ФГОС (старый) учебного пособия издательства Просвещение, Вентана-граф.