Страница 134 - гдз по алгебре 7 класс учебник Дорофеев, Суворова

Авторы: Дорофеев Г. В., Суворова С. Б., Бунимович Е. А., Кузнецова Л. В., Минаева С. С., Рослова Л. О.
Тип: Учебник
Издательство: Просвещение
Год издания: 2019 - 2022
Цвет обложки: белый, голубой, оранжевый с галочкой
ISBN: 978-5-09-074650-2
Рекомендовано Министерством образования и науки Российской Федерации
Популярные ГДЗ в 7 классе
Cтраница 134

№457 (с. 134)
Условие. №457 (с. 134)
скриншот условия

457 Четырёхугольник ABCD, изображённый на рисунке 5.16, является прямоугольником. Найдите периметр этого прямоугольника.
$A(11;6)$
$D$
$C(-7;-8)$
$B(11;-8)$
$y$
$x$
$0$
Рис. 5.16
БРешение 1. №457 (с. 134)

Решение 2. №457 (с. 134)

Решение 3. №457 (с. 134)

Решение 4. №457 (с. 134)

Решение 5. №457 (с. 134)

Решение 6. №457 (с. 134)
Для того чтобы найти периметр прямоугольника ABCD, необходимо определить длины его сторон. Из рисунка и данных координат вершин A(11; 6), B(11; -8) и C(-7; -8) видно, что стороны прямоугольника параллельны осям координат.
Длину стороны AB можно найти как расстояние между точками A и B. Так как их x-координаты одинаковы ($x=11$), эта сторона параллельна оси y. Её длина равна модулю разности их y-координат:
$AB = |y_A - y_B| = |6 - (-8)| = |6 + 8| = 14$.
Длину стороны BC можно найти как расстояние между точками B и C. Так как их y-координаты одинаковы ($y=-8$), эта сторона параллельна оси x. Её длина равна модулю разности их x-координат:
$BC = |x_B - x_C| = |11 - (-7)| = |11 + 7| = 18$.
Периметр прямоугольника вычисляется по формуле $P = 2 \cdot (a + b)$, где $a$ и $b$ — длины его смежных сторон. В нашем случае, это стороны AB и BC.
Подставим найденные значения длин сторон в формулу периметра:
$P = 2 \cdot (AB + BC) = 2 \cdot (14 + 18) = 2 \cdot 32 = 64$.
Ответ: 64
№458 (с. 134)
Условие. №458 (с. 134)
скриншот условия

458 Изобразите на координатной прямой множество точек, координаты которых удовлетворяют условию:
а) $ |x|=2; $
б) $ |x|\le1; $
в) $ |x|\ge3. $
Подсказка. Прочитайте данное условие, используя слово «расстояние», например: $ |x|=6 $ — расстояние от точки $x$ до 0 равно 6.
Решение 1. №458 (с. 134)



Решение 2. №458 (с. 134)

Решение 3. №458 (с. 134)

Решение 4. №458 (с. 134)

Решение 5. №458 (с. 134)

Решение 6. №458 (с. 134)
В данной задаче мы будем использовать геометрический смысл модуля числа. Модуль числа $|x|$ — это расстояние от точки с координатой $x$ до начала координат (точки 0) на координатной прямой.
а) $|x| = 2$Данное равенство означает, что расстояние от точки с координатой $x$ до точки 0 равно 2. На координатной прямой есть две такие точки: одна находится на расстоянии 2 единицы вправо от нуля, а другая — на расстоянии 2 единицы влево от нуля. Это точки с координатами $2$ и $-2$.
Ответ: $x = -2$ и $x = 2$.
б) $|x| \le 1$Неравенство $|x| \le 1$ означает, что расстояние от точки с координатой $x$ до точки 0 не превышает 1. Этому условию удовлетворяют все точки, расположенные между $-1$ и $1$, включая сами граничные точки. В виде двойного неравенства это записывается как $-1 \le x \le 1$. На координатной прямой это множество точек представляет собой отрезок.
Ответ: отрезок $[-1, 1]$, что соответствует неравенству $-1 \le x \le 1$.
в) $|x| \ge 3$Неравенство $|x| \ge 3$ означает, что расстояние от точки с координатой $x$ до точки 0 больше или равно 3. Этому условию удовлетворяют все точки, которые удалены от нуля на 3 единицы или более. Это точки на луче, идущем от 3 вправо (включая точку 3), и точки на луче, идущем от -3 влево (включая точку -3). То есть, $x \ge 3$ или $x \le -3$.
Ответ: объединение лучей $(-\infty, -3] \cup [3, \infty)$, что соответствует совокупности неравенств $x \le -3$ и $x \ge 3$.
№459 (с. 134)
Условие. №459 (с. 134)
скриншот условия

459 1) Задайте двойным неравенством множество точек, удовлетворяющих условию $|x|<4$.
2) Задайте промежуток $-6 < x < 6$ с помощью неравенства с модулем.
Решение 1. №459 (с. 134)


Решение 2. №459 (с. 134)

Решение 3. №459 (с. 134)

Решение 4. №459 (с. 134)

Решение 5. №459 (с. 134)

Решение 6. №459 (с. 134)
1)
Неравенство с модулем вида $|x| < a$, где $a$ — положительное число, равносильно двойному неравенству $-a < x < a$. Это свойство следует из определения модуля: модуль числа — это расстояние от этого числа до нуля на координатной прямой. Условие $|x| < a$ означает, что расстояние от точки $x$ до нуля меньше $a$, то есть точка $x$ находится между $-a$ и $a$.
Для заданного неравенства $|x| < 4$, мы имеем $a = 4$.
Применяя указанное свойство, получаем искомое двойное неравенство:
$-4 < x < 4$
Ответ: $-4 < x < 4$.
2)
Нам дано двойное неравенство $-6 < x < 6$.
Это неравенство описывает все числа $x$, которые расположены на координатной прямой строго между точками $-6$ и $6$. Геометрически это означает, что расстояние от любого такого числа $x$ до нуля меньше, чем $6$.
Расстояние от числа $x$ до нуля на координатной прямой по определению равно модулю этого числа, то есть $|x|$.
Следовательно, условие "расстояние от $x$ до нуля меньше 6" можно записать как неравенство с модулем:
$|x| < 6$
Ответ: $|x| < 6$.
№460 (с. 134)
Условие. №460 (с. 134)
скриншот условия

460 РАБОТАЕМ С СИМВОЛАМИ
1) Прочитайте, используя слово «расстояние»:
а) $|m - 1|=5$
б) $|m - 6|<20$
в) $|a - (-2)|>3$
г) $|c + 10|\le 1$
2) Запишите предложения с помощью знака модуля:
а) $|c - 5|=8$
б) $|a - 3|>1$
в) $|b - (-9)|\le 10$
г) $|y - (-2)|\ge 12$
Решение 1. №460 (с. 134)








Решение 2. №460 (с. 134)

Решение 3. №460 (с. 134)

Решение 4. №460 (с. 134)

Решение 5. №460 (с. 134)

Решение 6. №460 (с. 134)
1) Геометрический смысл модуля разности двух чисел $|a - b|$ — это расстояние между точками с координатами $a$ и $b$ на числовой прямой. Используя это правило, прочитаем данные выражения.
а) Выражение $|m - 1| = 5$ означает, что расстояние между точкой с координатой $m$ и точкой с координатой 1 равно 5.
Ответ: Расстояние между точками $m$ и 1 равно 5.
б) Выражение $|m - 6| < 20$ означает, что расстояние между точкой с координатой $m$ и точкой с координатой 6 меньше 20.
Ответ: Расстояние между точками $m$ и 6 меньше 20.
в) Выражение $|a - (-2)| > 3$ означает, что расстояние между точкой с координатой $a$ и точкой с координатой -2 больше 3.
Ответ: Расстояние между точками $a$ и -2 больше 3.
г) Чтобы прочитать выражение $|c + 10| \le 1$, представим его в виде разности: $|c - (-10)| \le 1$. Это означает, что расстояние между точкой с координатой $c$ и точкой с координатой -10 меньше или равно 1.
Ответ: Расстояние между точками $c$ и -10 меньше или равно 1.
2) Для записи предложений с помощью знака модуля используем то же правило: расстояние между точками $a$ и $b$ равно $|a - b|$.
а) Расстояние между точками $c$ и 5 равно 8. Записываем это как модуль разности координат, который равен 8.
Ответ: $|c - 5| = 8$.
б) Расстояние между точками $a$ и 3 больше 1. Записываем модуль разности координат и ставим знак "больше".
Ответ: $|a - 3| > 1$.
в) Расстояние между точками $b$ и -9 меньше или равно 10. Расстояние между $b$ и -9 это $|b - (-9)|$, что равно $|b + 9|$.
Ответ: $|b + 9| \le 10$.
г) Расстояние между точками $y$ и -2 больше или равно 12. Расстояние между $y$ и -2 это $|y - (-2)|$, что равно $|y + 2|$.
Ответ: $|y + 2| \ge 12$.
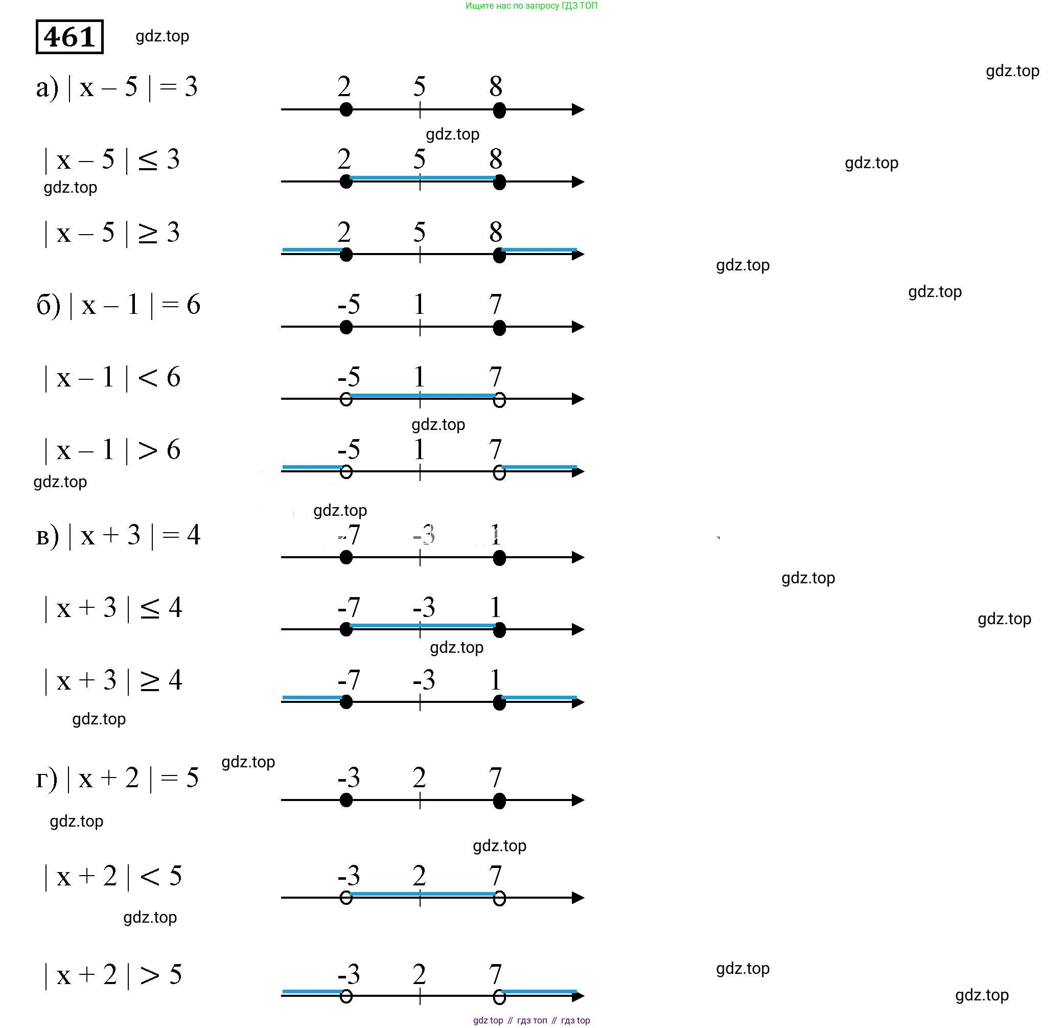
№461 (с. 134)
Условие. №461 (с. 134)
скриншот условия

461 Изобразите на координатной прямой множество точек, удовлетворяющих условиям:
а) $ |x - 5|=3 $, $ |x - 5|\le 3 $, $ |x - 5|\ge 3 $;
б) $ |x - 1|=6 $, $ |x - 1|<6 $, $ |x - 1|>6 $;
в) $ |x + 3|=4 $, $ |x + 3|\le 4 $, $ |x + 3|\ge 4 $;
г) $ |x + 2|=5 $, $ |x + 2|<5 $, $ |x + 2|>5 $.
Решение 1. №461 (с. 134)




Решение 2. №461 (с. 134)

Решение 3. №461 (с. 134)

Решение 4. №461 (с. 134)

Решение 5. №461 (с. 134)

Решение 6. №461 (с. 134)
Решение для $|x - 5| = 3$:
Выражение $|x - a|$ означает расстояние между точками $x$ и $a$ на координатной прямой. Таким образом, уравнение $|x - 5| = 3$ означает, что расстояние от точки $x$ до точки 5 равно 3. Таких точек две: одна на 3 единицы вправо от 5, другая — на 3 единицы влево.
Алгебраически, уравнение $|x - 5| = 3$ равносильно совокупности двух уравнений:
1) $x - 5 = 3 \Rightarrow x = 8$
2) $x - 5 = -3 \Rightarrow x = 2$
Множество точек состоит из двух чисел. На координатной прямой это две закрашенные точки.
Ответ: $x \in \{2, 8\}$.
Решение для $|x - 5| \le 3$:
Неравенство означает, что расстояние от точки $x$ до точки 5 не превышает 3. Это множество всех точек, которые находятся между $5-3=2$ и $5+3=8$, включая сами эти точки.
Алгебраически, неравенство равносильно двойному неравенству:
$-3 \le x - 5 \le 3$
Прибавим 5 ко всем частям неравенства:
$5 - 3 \le x \le 5 + 3$
$2 \le x \le 8$
На координатной прямой это отрезок с концами в точках 2 и 8.
Ответ: $x \in [2, 8]$.
Решение для $|x - 5| \ge 3$:
Неравенство означает, что расстояние от точки $x$ до точки 5 больше или равно 3. Это множество всех точек, которые лежат левее точки 2 (включая 2) или правее точки 8 (включая 8).
Алгебраически, неравенство равносильно совокупности двух неравенств:
1) $x - 5 \ge 3 \Rightarrow x \ge 8$
2) $x - 5 \le -3 \Rightarrow x \le 2$
На координатной прямой это объединение двух лучей: один идет от 2 влево, другой — от 8 вправо.
Ответ: $x \in (-\infty, 2] \cup [8, +\infty)$.
Решение для $|x - 1| = 6$:
Расстояние от точки $x$ до точки 1 равно 6.
1) $x - 1 = 6 \Rightarrow x = 7$
2) $x - 1 = -6 \Rightarrow x = -5$
На координатной прямой это две закрашенные точки.
Ответ: $x \in \{-5, 7\}$.
Решение для $|x - 1| < 6$:
Расстояние от точки $x$ до точки 1 строго меньше 6. Это точки между $1-6=-5$ и $1+6=7$.
Алгебраически:
$-6 < x - 1 < 6$
$1 - 6 < x < 1 + 6$
$-5 < x < 7$
На координатной прямой это интервал с концами в точках -5 и 7 (точки не включаются, изображаются выколотыми).
Ответ: $x \in (-5, 7)$.
Решение для $|x - 1| > 6$:
Расстояние от точки $x$ до точки 1 строго больше 6.
1) $x - 1 > 6 \Rightarrow x > 7$
2) $x - 1 < -6 \Rightarrow x < -5$
На координатной прямой это объединение двух открытых лучей (интервалов): один идет от -5 влево, другой — от 7 вправо.
Ответ: $x \in (-\infty, -5) \cup (7, +\infty)$.
Решение для $|x + 3| = 4$:
Уравнение можно переписать как $|x - (-3)| = 4$. Расстояние от точки $x$ до точки -3 равно 4.
1) $x + 3 = 4 \Rightarrow x = 1$
2) $x + 3 = -4 \Rightarrow x = -7$
На координатной прямой это две закрашенные точки.
Ответ: $x \in \{-7, 1\}$.
Решение для $|x + 3| \le 4$:
Расстояние от точки $x$ до точки -3 не превышает 4. Это точки между $-3-4=-7$ и $-3+4=1$.
Алгебраически:
$-4 \le x + 3 \le 4$
$-3 - 4 \le x \le -3 + 4$
$-7 \le x \le 1$
На координатной прямой это отрезок с концами в точках -7 и 1.
Ответ: $x \in [-7, 1]$.
Решение для $|x + 3| \ge 4$:
Расстояние от точки $x$ до точки -3 больше или равно 4.
1) $x + 3 \ge 4 \Rightarrow x \ge 1$
2) $x + 3 \le -4 \Rightarrow x \le -7$
На координатной прямой это объединение двух лучей: один идет от -7 влево, другой — от 1 вправо.
Ответ: $x \in (-\infty, -7] \cup [1, +\infty)$.
Решение для $|x + 2| = 5$:
Уравнение можно переписать как $|x - (-2)| = 5$. Расстояние от точки $x$ до точки -2 равно 5.
1) $x + 2 = 5 \Rightarrow x = 3$
2) $x + 2 = -5 \Rightarrow x = -7$
На координатной прямой это две закрашенные точки.
Ответ: $x \in \{-7, 3\}$.
Решение для $|x + 2| < 5$:
Расстояние от точки $x$ до точки -2 строго меньше 5. Это точки между $-2-5=-7$ и $-2+5=3$.
Алгебраически:
$-5 < x + 2 < 5$
$-2 - 5 < x < -2 + 5$
$-7 < x < 3$
На координатной прямой это интервал с выколотыми концами в точках -7 и 3.
Ответ: $x \in (-7, 3)$.
Решение для $|x + 2| > 5$:
Расстояние от точки $x$ до точки -2 строго больше 5.
1) $x + 2 > 5 \Rightarrow x > 3$
2) $x + 2 < -5 \Rightarrow x < -7$
На координатной прямой это объединение двух открытых лучей: один идет от -7 влево, другой — от 3 вправо.
Ответ: $x \in (-\infty, -7) \cup (3, +\infty)$.
Помогло решение? Оставьте отзыв в комментариях ниже.