Номер 2, страница 8, часть 1 - гдз по алгебре 7 класс рабочая тетрадь Крайнева, Миндюк
 
                                                Авторы: Крайнева Л. Б., Миндюк Н. Г., Шлыкова И. С.
Тип: рабочая тетрадь
Издательство: Просвещение
Год издания: 2023 - 2025
Уровень обучения: базовый
Часть: 1
Цвет обложки: белый, оранжевый
ISBN: 978-5-09-099316-6 (общ.), 978-5-09-099317-3 (ч. 1), 978-5-09-099318-0 (ч. 2)
Популярные ГДЗ в 7 классе
Часть 1. Глава 1. Выражения, тождества, уравнения. 2. Числовые выражения - номер 2, страница 8.
№2 (с. 8)
Условие. №2 (с. 8)
скриншот условия
 
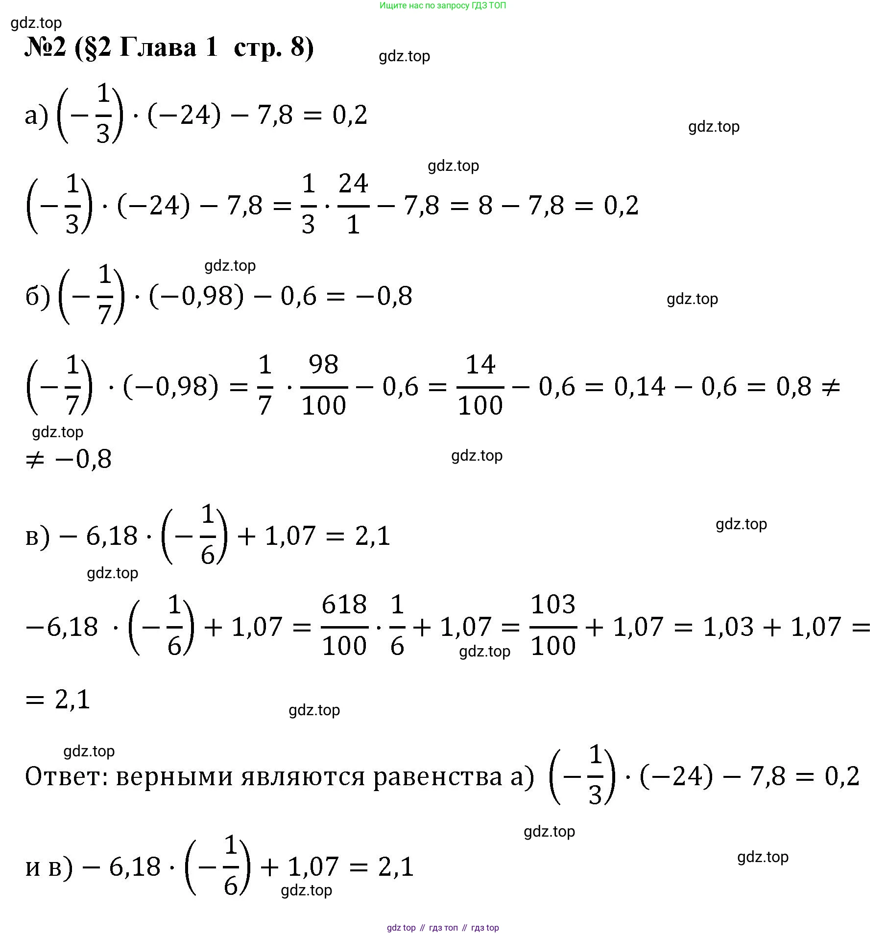
                                2. Проверьте, верно ли равенство:
$8,16 \cdot (-0,5) + 5 = 1,92$
$8,16 \cdot (-0,5) + 5 = -4,08 + 5 = 0,92 \ne 1,92$
a) $(-\frac{1}{3}) \cdot (-24) - 7,8 = 0,2;$
б) $(-\frac{1}{7}) \cdot (-0,98) - 0,6 = -0,8;$
в) $-6,18 \cdot (-\frac{1}{6}) + 1,07 = 2,1.$
Ответ: верными являются равенства
Решение. №2 (с. 8)
 
                            Решение 2. №2 (с. 8)
а) Проверим равенство $(-\frac{1}{3}) \cdot (-24) - 7,8 = 0,2$.
Для проверки вычислим значение левой части выражения, соблюдая порядок действий: сначала умножение, затем вычитание.
1. Выполним умножение. Произведение двух отрицательных чисел есть число положительное:
$(-\frac{1}{3}) \cdot (-24) = \frac{1}{3} \cdot 24 = \frac{24}{3} = 8$.
2. Теперь выполним вычитание:
$8 - 7,8 = 0,2$.
В результате вычислений левая часть равенства оказалась равна $0,2$, что совпадает с правой частью. Таким образом, $0,2 = 0,2$.
Ответ: верно.
б) Проверим равенство $(-\frac{1}{7}) \cdot (-0,98) - 0,6 = -0,8$.
Вычислим значение левой части выражения.
1. Выполним умножение. Произведение двух отрицательных чисел есть число положительное:
$(-\frac{1}{7}) \cdot (-0,98) = \frac{1}{7} \cdot 0,98 = \frac{0,98}{7} = 0,14$.
2. Теперь выполним вычитание:
$0,14 - 0,6 = -0,46$.
В результате вычислений левая часть равенства оказалась равна $-0,46$, что не совпадает с правой частью, равной $-0,8$. Таким образом, $-0,46 \neq -0,8$.
Ответ: неверно.
в) Проверим равенство $-6,18 \cdot (-\frac{1}{6}) + 1,07 = 2,1$.
Вычислим значение левой части выражения.
1. Выполним умножение. Произведение двух отрицательных чисел есть число положительное:
$-6,18 \cdot (-\frac{1}{6}) = 6,18 \cdot \frac{1}{6} = \frac{6,18}{6} = 1,03$.
2. Теперь выполним сложение:
$1,03 + 1,07 = 2,1$.
В результате вычислений левая часть равенства оказалась равна $2,1$, что совпадает с правой частью. Таким образом, $2,1 = 2,1$.
Ответ: верно.
Другие задания:
Помогло решение? Оставьте отзыв в комментариях ниже.
Присоединяйтесь к Телеграм-группе @top_gdz
ПрисоединитьсяМы подготовили для вас ответ c подробным объяснением домашего задания по алгебре за 7 класс, для упражнения номер 2 расположенного на странице 8 для 1-й части к рабочей тетради 2023 года издания для учащихся школ и гимназий.
Теперь на нашем сайте ГДЗ.ТОП вы всегда легко и бесплатно найдёте условие с правильным ответом на вопрос «Как решить ДЗ» и «Как сделать» задание по алгебре к упражнению №2 (с. 8), авторов: Крайнева (Лариса Борисовна), Миндюк (Нора Григорьевна), Шлыкова (Инга Соломоновна), 1-й части ФГОС (новый, красный) базовый уровень обучения учебного пособия издательства Просвещение.
 
                     
                     
                     
                     
                     
                     
                     
                     
                     
                     
                     
                     
                     
                    