Номер 10, страница 86, часть 1 - гдз по алгебре 7 класс рабочая тетрадь Крайнева, Миндюк
 
                                                Авторы: Крайнева Л. Б., Миндюк Н. Г., Шлыкова И. С.
Тип: рабочая тетрадь
Издательство: Просвещение
Год издания: 2023 - 2025
Уровень обучения: базовый
Часть: 1
Цвет обложки: белый, оранжевый
ISBN: 978-5-09-099316-6 (общ.), 978-5-09-099317-3 (ч. 1), 978-5-09-099318-0 (ч. 2)
Популярные ГДЗ в 7 классе
Часть 1. Глава 3. Степень с натуральным показателем. 20. Умножение одночленов. Возведение одночлена в степень - номер 10, страница 86.
№10 (с. 86)
Условие. №10 (с. 86)
скриншот условия
 
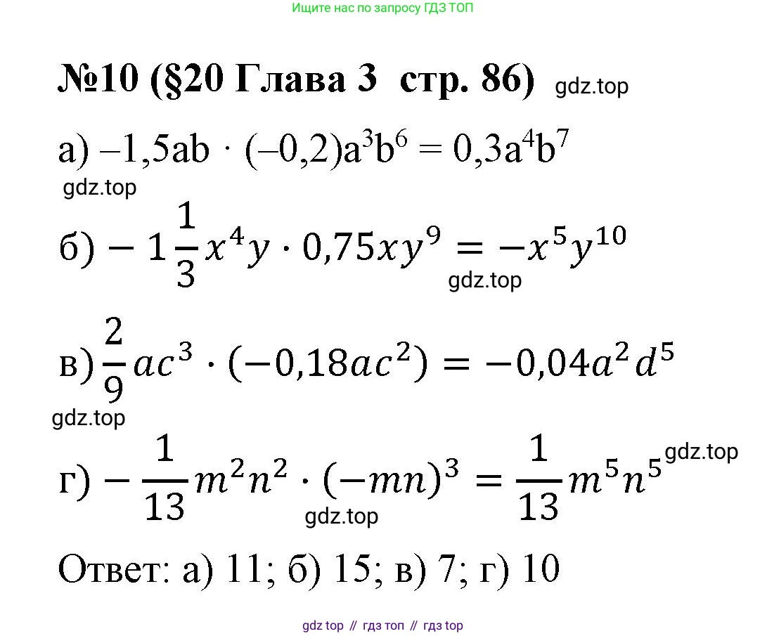
                                10. Преобразуйте выражение в одночлен стандартного вида:
а) $ -1,5ab \cdot (-0,2) a^3b^6 = $
б) $ -1\frac{1}{3}x^4y \cdot 0,75xy^9 = $
в) $ \frac{2}{9}ac^3 \cdot (-0,18ac^2) = $
г) $ -\frac{1}{13}m^2n^2 \cdot (-mn)^3 = $
Укажите, чему равна степень одночлена: а)
б) в) г)
Решение. №10 (с. 86)
 
                            Решение 2. №10 (с. 86)
а) Чтобы преобразовать выражение $-1,5ab \cdot (-0,2) a^3b^6$ в одночлен стандартного вида, необходимо перемножить числовые коэффициенты и степени с одинаковыми основаниями.
1. Перемножаем числовые коэффициенты: $(-1,5) \cdot (-0,2) = 0,3$.
2. Перемножаем степени с основанием $a$: $a \cdot a^3 = a^{1+3} = a^4$.
3. Перемножаем степени с основанием $b$: $b \cdot b^6 = b^{1+6} = b^7$.
Собираем всё вместе: $0,3a^4b^7$.
Степень одночлена – это сумма показателей степеней всех входящих в него переменных: $4 + 7 = 11$.
Ответ: одночлен стандартного вида – $0,3a^4b^7$, его степень равна $11$.
б) Преобразуем выражение $-1\frac{1}{3}x^4y \cdot 0,75xy^9$.
1. Преобразуем коэффициенты в удобный для вычисления вид. Смешанное число $-1\frac{1}{3}$ представим в виде неправильной дроби: $-\frac{4}{3}$. Десятичную дробь $0,75$ представим в виде обыкновенной дроби: $0,75 = \frac{75}{100} = \frac{3}{4}$.
2. Перемножаем числовые коэффициенты: $(-\frac{4}{3}) \cdot \frac{3}{4} = -1$.
3. Перемножаем степени с основанием $x$: $x^4 \cdot x = x^{4+1} = x^5$.
4. Перемножаем степени с основанием $y$: $y \cdot y^9 = y^{1+9} = y^{10}$.
Собираем всё вместе: $-1 \cdot x^5y^{10} = -x^5y^{10}$.
Степень одночлена: $5 + 10 = 15$.
Ответ: одночлен стандартного вида – $-x^5y^{10}$, его степень равна $15$.
в) Преобразуем выражение $\frac{2}{9}ac^3 \cdot (-0,18ac^2)$.
1. Преобразуем десятичную дробь $-0,18$ в обыкновенную: $-0,18 = -\frac{18}{100} = -\frac{9}{50}$.
2. Перемножаем числовые коэффициенты: $\frac{2}{9} \cdot (-\frac{9}{50}) = -\frac{2 \cdot 9}{9 \cdot 50} = -\frac{2}{50} = -\frac{1}{25}$. Результат можно записать в виде десятичной дроби: $-0,04$.
3. Перемножаем степени с основанием $a$: $a \cdot a = a^{1+1} = a^2$.
4. Перемножаем степени с основанием $c$: $c^3 \cdot c^2 = c^{3+2} = c^5$.
Собираем всё вместе: $-0,04a^2c^5$.
Степень одночлена: $2 + 5 = 7$.
Ответ: одночлен стандартного вида – $-0,04a^2c^5$, его степень равна $7$.
г) Преобразуем выражение $-\frac{1}{13}m^2n^2 \cdot (-mn)^3$.
1. Сначала возведем в степень второй множитель: $(-mn)^3 = (-1)^3 \cdot m^3 \cdot n^3 = -m^3n^3$.
2. Теперь наше выражение выглядит так: $(-\frac{1}{13}m^2n^2) \cdot (-m^3n^3)$.
3. Перемножаем числовые коэффициенты: $(-\frac{1}{13}) \cdot (-1) = \frac{1}{13}$.
4. Перемножаем степени с основанием $m$: $m^2 \cdot m^3 = m^{2+3} = m^5$.
5. Перемножаем степени с основанием $n$: $n^2 \cdot n^3 = n^{2+3} = n^5$.
Собираем всё вместе: $\frac{1}{13}m^5n^5$.
Степень одночлена: $5 + 5 = 10$.
Ответ: одночлен стандартного вида – $\frac{1}{13}m^5n^5$, его степень равна $10$.
Другие задания:
Помогло решение? Оставьте отзыв в комментариях ниже.
Присоединяйтесь к Телеграм-группе @top_gdz
ПрисоединитьсяМы подготовили для вас ответ c подробным объяснением домашего задания по алгебре за 7 класс, для упражнения номер 10 расположенного на странице 86 для 1-й части к рабочей тетради 2023 года издания для учащихся школ и гимназий.
Теперь на нашем сайте ГДЗ.ТОП вы всегда легко и бесплатно найдёте условие с правильным ответом на вопрос «Как решить ДЗ» и «Как сделать» задание по алгебре к упражнению №10 (с. 86), авторов: Крайнева (Лариса Борисовна), Миндюк (Нора Григорьевна), Шлыкова (Инга Соломоновна), 1-й части ФГОС (новый, красный) базовый уровень обучения учебного пособия издательства Просвещение.
 
                     
                     
                     
                     
                     
                     
                     
                     
                     
                     
                     
                     
                     
                    