Номер 11, страница 18, часть 2 - гдз по алгебре 7 класс рабочая тетрадь Крайнева, Миндюк
 
                                                Авторы: Крайнева Л. Б., Миндюк Н. Г., Шлыкова И. С.
Тип: рабочая тетрадь
Издательство: Просвещение
Год издания: 2023 - 2025
Уровень обучения: базовый
Часть: 2
Цвет обложки: белый, оранжевый
ISBN: 978-5-09-099316-6 (общ.), 978-5-09-099317-3 (ч. 1), 978-5-09-099318-0 (ч. 2)
Популярные ГДЗ в 7 классе
Часть 2. Глава 4. Многочлены. 24. Умножение одночлена на многочлен - номер 11, страница 18.
№11 (с. 18)
Условие. №11 (с. 18)
скриншот условия
 
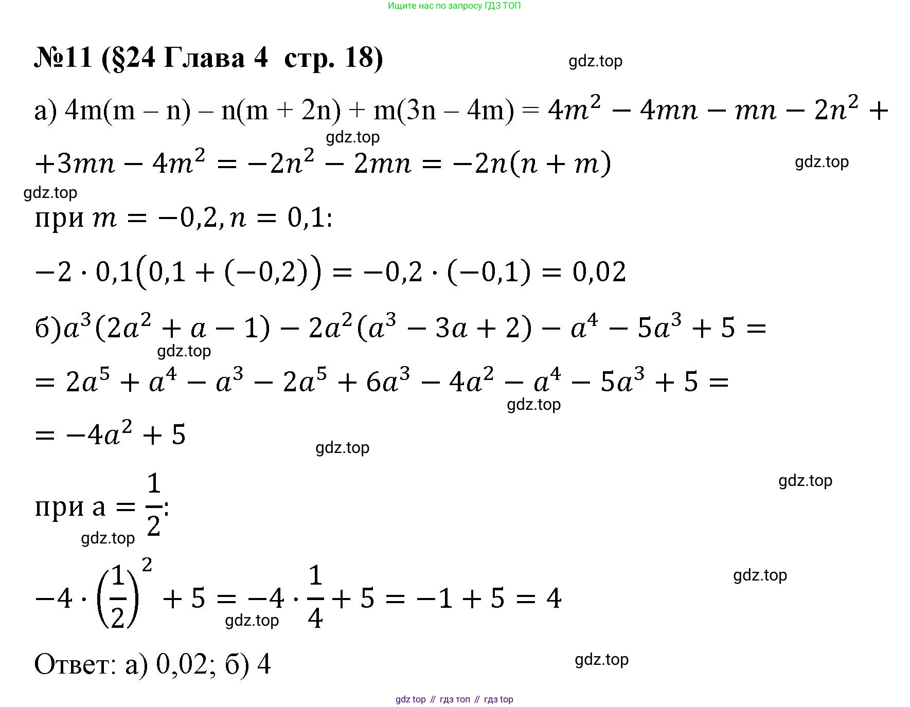
                                11. Упростите выражение и найдите его значение при заданных значениях переменных:
а) $4m(m-n) - n(m+2n) + m(3n-4m)$ при $m=-0,2$, $n=0,1$;
б) $a^3(2a^2+a-1) - 2a^2(a^3-3a+2) - a^4 - 5a^3+5$ при $a=\frac{1}{2}$.
Решение. №11 (с. 18)
 
                            Решение 2. №11 (с. 18)
а) Сначала упростим данное выражение. Для этого раскроем скобки, умножая одночлены на многочлены:
$4m(m-n) - n(m+2n) + m(3n-4m) = 4m \cdot m - 4m \cdot n - n \cdot m - n \cdot 2n + m \cdot 3n - m \cdot 4m$
$= 4m^2 - 4mn - mn - 2n^2 + 3mn - 4m^2$
Теперь приведем подобные слагаемые. Сгруппируем их:
$(4m^2 - 4m^2) + (-4mn - mn + 3mn) - 2n^2$
Выполним действия в скобках:
$0 + (-5mn + 3mn) - 2n^2 = -2mn - 2n^2$
Упрощенное выражение: $-2mn - 2n^2$.
Теперь подставим в него значения $m = -0,2$ и $n = 0,1$:
$-2 \cdot (-0,2) \cdot 0,1 - 2 \cdot (0,1)^2 = -2 \cdot (-0,02) - 2 \cdot 0,01 = 0,04 - 0,02 = 0,02$.
Ответ: $0,02$.
б) Сначала упростим данное выражение, раскрыв скобки и приведя подобные слагаемые:
$a^3(2a^2+a-1) - 2a^2(a^3-3a+2) - a^4 - 5a^3 + 5$
$= (a^3 \cdot 2a^2 + a^3 \cdot a - a^3 \cdot 1) - (2a^2 \cdot a^3 - 2a^2 \cdot 3a + 2a^2 \cdot 2) - a^4 - 5a^3 + 5$
$= (2a^5 + a^4 - a^3) - (2a^5 - 6a^3 + 4a^2) - a^4 - 5a^3 + 5$
Раскроем вторые скобки, меняя знаки на противоположные:
$= 2a^5 + a^4 - a^3 - 2a^5 + 6a^3 - 4a^2 - a^4 - 5a^3 + 5$
Сгруппируем и приведем подобные слагаемые:
$(2a^5 - 2a^5) + (a^4 - a^4) + (-a^3 + 6a^3 - 5a^3) - 4a^2 + 5$
$= 0 + 0 + (5a^3 - 5a^3) - 4a^2 + 5 = 0 - 4a^2 + 5 = -4a^2 + 5$.
Упрощенное выражение: $-4a^2+5$.
Теперь подставим в него значение $a = \frac{1}{2}$:
$-4 \cdot (\frac{1}{2})^2 + 5 = -4 \cdot \frac{1}{4} + 5 = -1 + 5 = 4$.
Ответ: $4$.
Другие задания:
Помогло решение? Оставьте отзыв в комментариях ниже.
Присоединяйтесь к Телеграм-группе @top_gdz
ПрисоединитьсяМы подготовили для вас ответ c подробным объяснением домашего задания по алгебре за 7 класс, для упражнения номер 11 расположенного на странице 18 для 2-й части к рабочей тетради 2023 года издания для учащихся школ и гимназий.
Теперь на нашем сайте ГДЗ.ТОП вы всегда легко и бесплатно найдёте условие с правильным ответом на вопрос «Как решить ДЗ» и «Как сделать» задание по алгебре к упражнению №11 (с. 18), авторов: Крайнева (Лариса Борисовна), Миндюк (Нора Григорьевна), Шлыкова (Инга Соломоновна), 2-й части ФГОС (новый, красный) базовый уровень обучения учебного пособия издательства Просвещение.
 
                     
                     
                     
                     
                     
                     
                     
                     
                     
                     
                     
                     
                     
                    