Номер 5, страница 68, часть 2 - гдз по алгебре 7 класс рабочая тетрадь Крайнева, Миндюк
 
                                                Авторы: Крайнева Л. Б., Миндюк Н. Г., Шлыкова И. С.
Тип: рабочая тетрадь
Издательство: Просвещение
Год издания: 2023 - 2025
Уровень обучения: базовый
Часть: 2
Цвет обложки: белый, оранжевый
ISBN: 978-5-09-099316-6 (общ.), 978-5-09-099317-3 (ч. 1), 978-5-09-099318-0 (ч. 2)
Популярные ГДЗ в 7 классе
Часть 2. Глава 5. Формулы сокращённого умножения. 34. Применение различных способов для разложения на множители - номер 5, страница 68.
№5 (с. 68)
Условие. №5 (с. 68)
скриншот условия
 
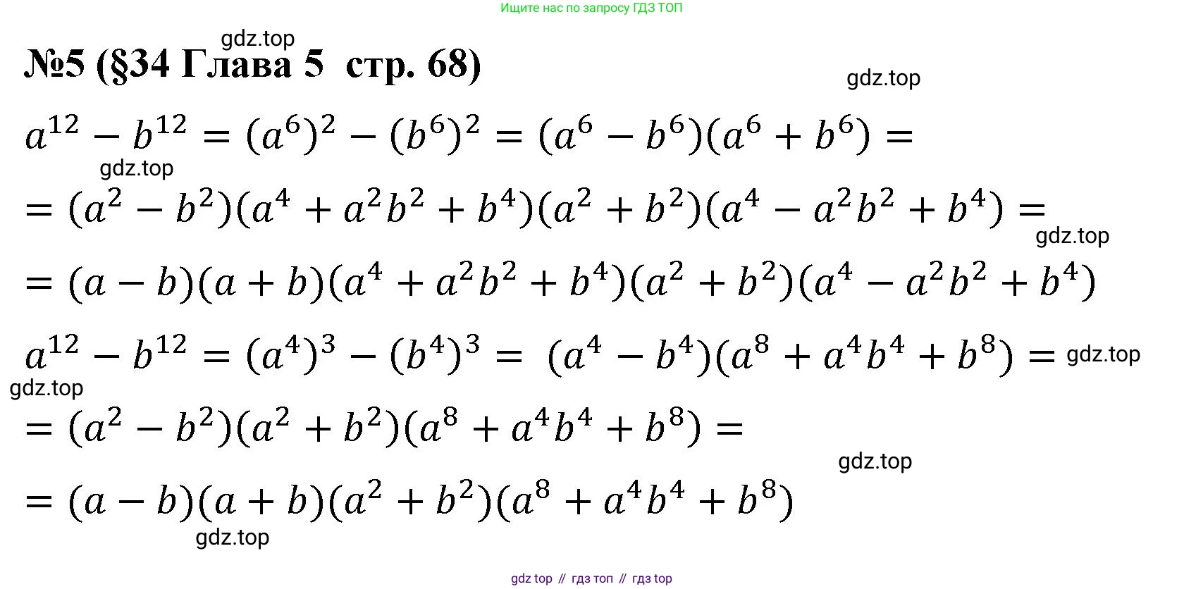
                                5. Разложите на множители многочлен $a^{12} - b^{12}$, представив его сначала в виде разности квадратов, а затем в виде разности кубов:
$a^{12} - b^{12} = (a^6)^2 - (b^6)^2 = $...
...
...
...
$a^{12} - b^{12} = (a^4)^3 - (b^4)^3 = $...
...
...
...
Решение. №5 (с. 68)
 
                            Решение 2. №5 (с. 68)
$a^{12} - b^{12} = (a^6)^2 - (b^6)^2 =$ $(a^6 - b^6)(a^6 + b^6)$
$= ((a^3)^2 - (b^3)^2)((a^2)^3 + (b^2)^3)$
$= (a^3 - b^3)(a^3 + b^3)(a^2 + b^2)(a^4 - a^2b^2 + b^4)$
$= (a - b)(a^2 + ab + b^2)(a + b)(a^2 - ab + b^2)(a^2 + b^2)(a^4 - a^2b^2 + b^4)$
Ответ: $(a - b)(a + b)(a^2 + b^2)(a^2 - ab + b^2)(a^2 + ab + b^2)(a^4 - a^2b^2 + b^4)$.
$a^{12} - b^{12} = (a^4)^3 - (b^4)^3 =$ $(a^4 - b^4)(a^8 + a^4b^4 + b^8)$
$= (a^2 - b^2)(a^2 + b^2)(a^8 + a^4b^4 + b^8)$
$= (a - b)(a + b)(a^2 + b^2)(a^4 - a^2b^2 + b^4)(a^4 + a^2b^2 + b^4)$
$= (a - b)(a + b)(a^2 + b^2)(a^4 - a^2b^2 + b^4)(a^2 - ab + b^2)(a^2 + ab + b^2)$
Ответ: $(a - b)(a + b)(a^2 + b^2)(a^2 - ab + b^2)(a^2 + ab + b^2)(a^4 - a^2b^2 + b^4)$.
Другие задания:
Помогло решение? Оставьте отзыв в комментариях ниже.
Присоединяйтесь к Телеграм-группе @top_gdz
ПрисоединитьсяМы подготовили для вас ответ c подробным объяснением домашего задания по алгебре за 7 класс, для упражнения номер 5 расположенного на странице 68 для 2-й части к рабочей тетради 2023 года издания для учащихся школ и гимназий.
Теперь на нашем сайте ГДЗ.ТОП вы всегда легко и бесплатно найдёте условие с правильным ответом на вопрос «Как решить ДЗ» и «Как сделать» задание по алгебре к упражнению №5 (с. 68), авторов: Крайнева (Лариса Борисовна), Миндюк (Нора Григорьевна), Шлыкова (Инга Соломоновна), 2-й части ФГОС (новый, красный) базовый уровень обучения учебного пособия издательства Просвещение.
 
                     
                     
                     
                     
                     
                     
                     
                     
                     
                     
                     
                     
                     
                    