Номер 6, страница 69, часть 2 - гдз по алгебре 7 класс рабочая тетрадь Крайнева, Миндюк
 
                                                Авторы: Крайнева Л. Б., Миндюк Н. Г., Шлыкова И. С.
Тип: рабочая тетрадь
Издательство: Просвещение
Год издания: 2023 - 2025
Уровень обучения: базовый
Часть: 2
Цвет обложки: белый, оранжевый
ISBN: 978-5-09-099316-6 (общ.), 978-5-09-099317-3 (ч. 1), 978-5-09-099318-0 (ч. 2)
Популярные ГДЗ в 7 классе
Часть 2. Глава 5. Формулы сокращённого умножения. 34. Применение различных способов для разложения на множители - номер 6, страница 69.
№6 (с. 69)
Условие. №6 (с. 69)
скриншот условия
 
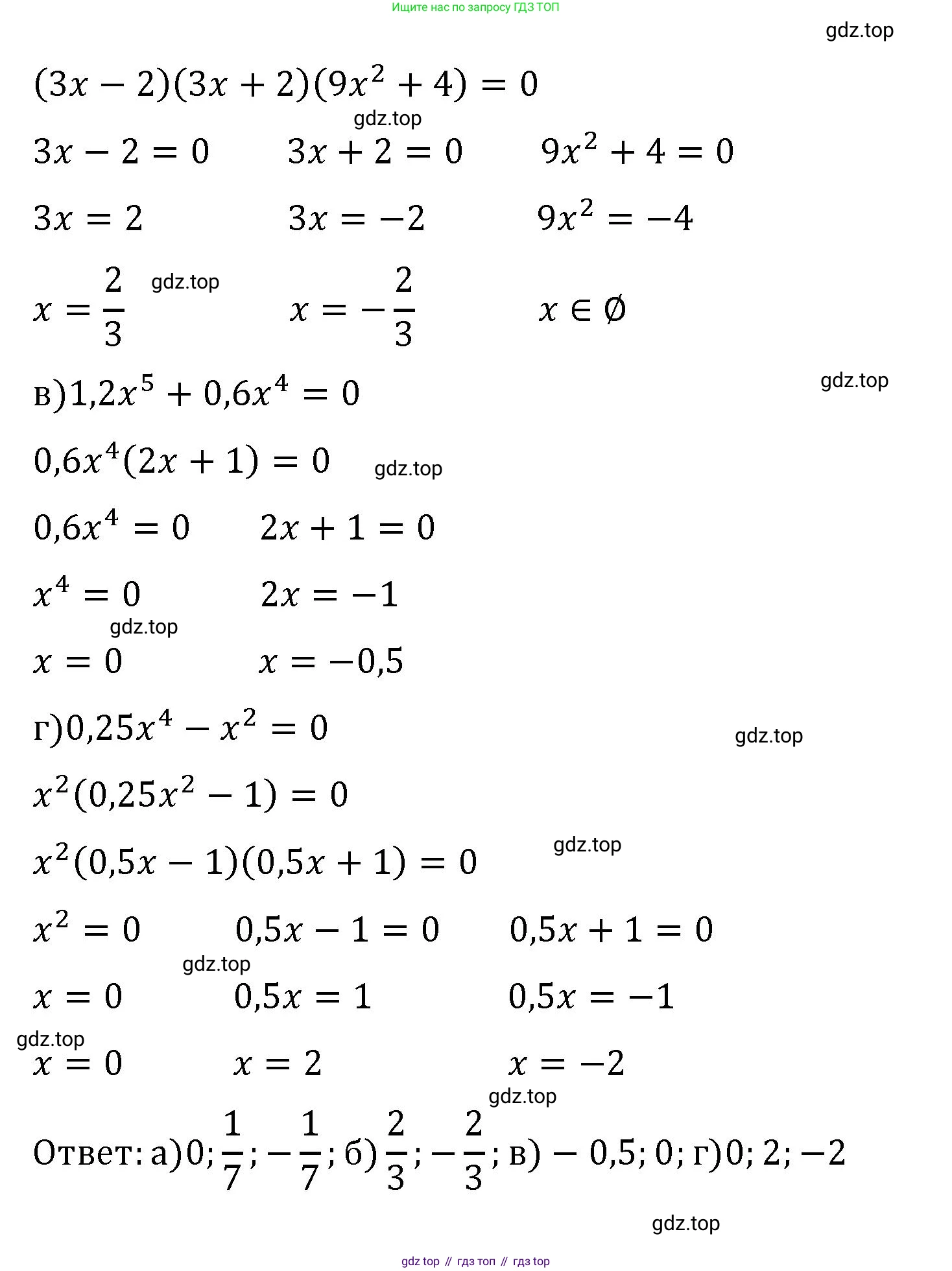
                                6. Решите уравнение:
а) $49x^3 - x = 0;$
б) $81x^4 - 16 = 0;$
в) $1,2x^5 + 0,6x^4 = 0;$
г) $0,25x^4 - x^2 = 0.$
Решение. №6 (с. 69)
 
             
                            Решение 2. №6 (с. 69)
а) $49x^3 - x = 0$
Для решения данного уравнения вынесем общий множитель $x$ за скобки:
$x(49x^2 - 1) = 0$
Произведение равно нулю тогда и только тогда, когда хотя бы один из множителей равен нулю. Отсюда получаем два случая:
1) $x = 0$
2) $49x^2 - 1 = 0$
Решим второе уравнение. Это разность квадратов:
$49x^2 = 1$
$x^2 = \frac{1}{49}$
$x = \sqrt{\frac{1}{49}}$ или $x = -\sqrt{\frac{1}{49}}$
$x = \frac{1}{7}$ или $x = -\frac{1}{7}$
Таким образом, уравнение имеет три корня.
Ответ: $0; -\frac{1}{7}; \frac{1}{7}$.
б) $81x^4 - 16 = 0$
Представим уравнение в виде разности квадратов, используя формулу $a^2 - b^2 = (a-b)(a+b)$:
$(9x^2)^2 - 4^2 = 0$
$(9x^2 - 4)(9x^2 + 4) = 0$
Произведение равно нулю, когда один из множителей равен нулю:
1) $9x^2 - 4 = 0$
$9x^2 = 4$
$x^2 = \frac{4}{9}$
$x = \pm\sqrt{\frac{4}{9}}$
$x = \pm\frac{2}{3}$
2) $9x^2 + 4 = 0$
$9x^2 = -4$
$x^2 = -\frac{4}{9}$
Это уравнение не имеет действительных корней, так как квадрат действительного числа не может быть отрицательным.
Ответ: $-\frac{2}{3}; \frac{2}{3}$.
в) $1,2x^5 + 0,6x^4 = 0$
Вынесем за скобки общий множитель $0,6x^4$:
$0,6x^4(2x + 1) = 0$
Приравняем каждый множитель к нулю:
1) $0,6x^4 = 0$
$x^4 = 0$
$x = 0$
2) $2x + 1 = 0$
$2x = -1$
$x = -\frac{1}{2}$ или $x = -0,5$
Ответ: $-0,5; 0$.
г) $0,25x^4 - x^2 = 0$
Вынесем за скобки общий множитель $x^2$:
$x^2(0,25x^2 - 1) = 0$
Приравняем каждый множитель к нулю:
1) $x^2 = 0$
$x = 0$
2) $0,25x^2 - 1 = 0$
$0,25x^2 = 1$
$x^2 = \frac{1}{0,25}$
$x^2 = 4$
$x = \pm\sqrt{4}$
$x = \pm2$
Ответ: $-2; 0; 2$.
Другие задания:
Помогло решение? Оставьте отзыв в комментариях ниже.
Присоединяйтесь к Телеграм-группе @top_gdz
ПрисоединитьсяМы подготовили для вас ответ c подробным объяснением домашего задания по алгебре за 7 класс, для упражнения номер 6 расположенного на странице 69 для 2-й части к рабочей тетради 2023 года издания для учащихся школ и гимназий.
Теперь на нашем сайте ГДЗ.ТОП вы всегда легко и бесплатно найдёте условие с правильным ответом на вопрос «Как решить ДЗ» и «Как сделать» задание по алгебре к упражнению №6 (с. 69), авторов: Крайнева (Лариса Борисовна), Миндюк (Нора Григорьевна), Шлыкова (Инга Соломоновна), 2-й части ФГОС (новый, красный) базовый уровень обучения учебного пособия издательства Просвещение.
 
                     
                     
                     
                     
                     
                     
                     
                     
                     
                     
                     
                     
                     
                    