Номер 7, страница 98, часть 2 - гдз по алгебре 7 класс рабочая тетрадь Крайнева, Миндюк
 
                                                Авторы: Крайнева Л. Б., Миндюк Н. Г., Шлыкова И. С.
Тип: рабочая тетрадь
Издательство: Просвещение
Год издания: 2023 - 2025
Уровень обучения: базовый
Часть: 2
Цвет обложки: белый, оранжевый
ISBN: 978-5-09-099316-6 (общ.), 978-5-09-099317-3 (ч. 1), 978-5-09-099318-0 (ч. 2)
Популярные ГДЗ в 7 классе
Часть 2. Глава 6. Системы линейных уравнений. 39. Способ сложения - номер 7, страница 98.
№7 (с. 98)
Условие. №7 (с. 98)
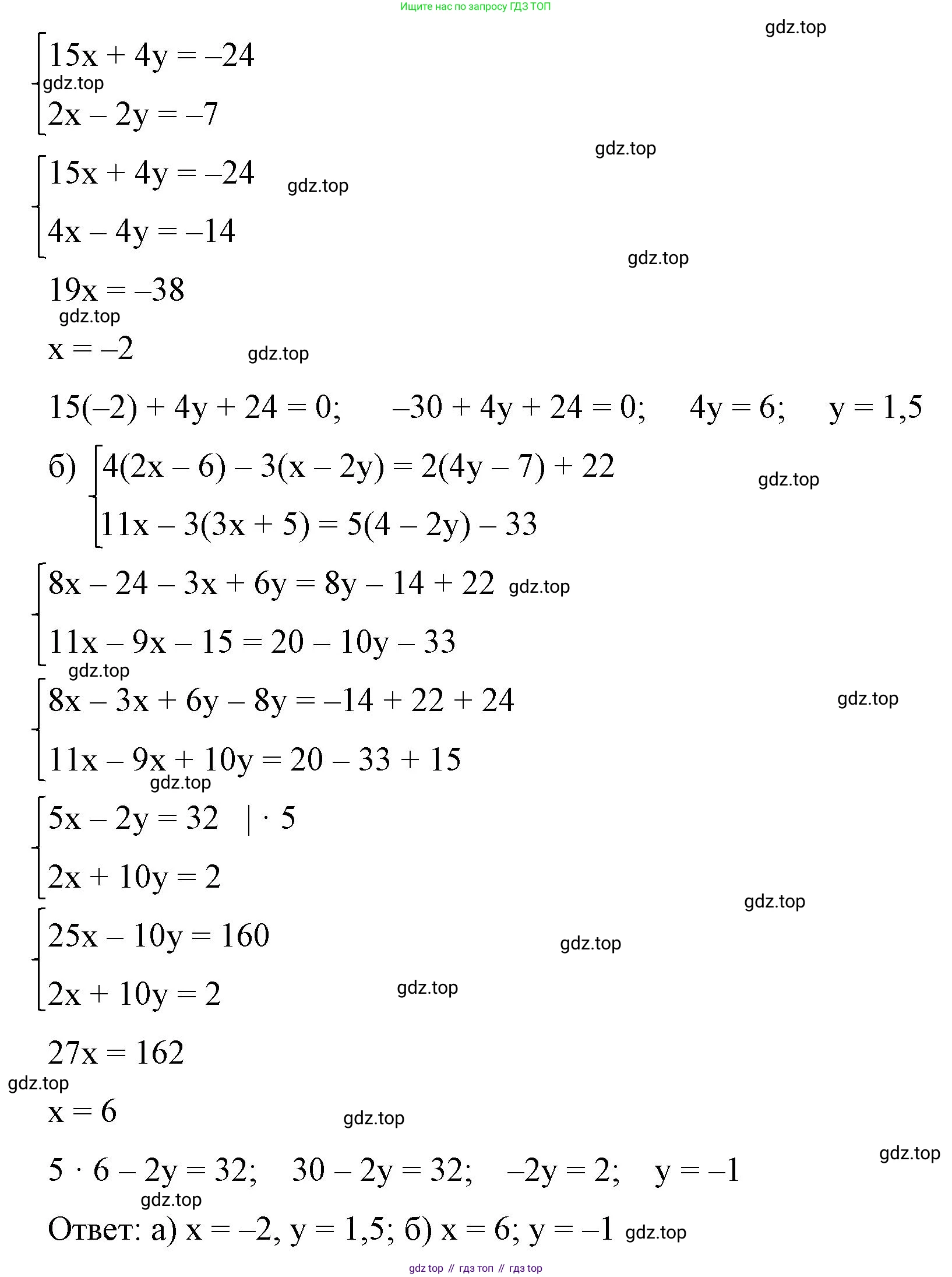
скриншот условия
 
             
                                7. Найдите решение системы уравнений:
a) $ \begin{cases} 3(4x - 2) + 3x = 4(2 - y) - 38, \\ 5(2x - 1) - 4y = 3(2y + 7) - 61; \end{cases} $
б) $ \begin{cases} 4(2x - 6) - 3(x - 2y) = 2(4y - 7) + 22, \\ 11x - 3(3x + 5) = 5(4 - 2y) - 33. \end{cases} $
Решение. №7 (с. 98)
 
             
                            Решение 2. №7 (с. 98)
а) $ \begin{cases} 3(4x-2)+3x=4(2-y)-38, \\ 5(2x-1)-4y=3(2y+7)-61; \end{cases} $
Сначала упростим каждое уравнение системы. Раскроем скобки в первом уравнении:
$12x - 6 + 3x = 8 - 4y - 38$
Приведем подобные слагаемые:
$15x - 6 = -30 - 4y$
Перенесем слагаемые с переменными в левую часть, а числа — в правую:
$15x + 4y = -30 + 6$
$15x + 4y = -24$
Теперь упростим второе уравнение:
$10x - 5 - 4y = 6y + 21 - 61$
$10x - 5 - 4y = 6y - 40$
$10x - 4y - 6y = -40 + 5$
$10x - 10y = -35$
Разделим обе части уравнения на 5 для упрощения:
$2x - 2y = -7$
Получили упрощенную систему уравнений:
$ \begin{cases} 15x + 4y = -24, \\ 2x - 2y = -7; \end{cases} $
Решим систему методом сложения. Для этого умножим второе уравнение на 2, чтобы коэффициенты при $y$ стали противоположными:
$2(2x - 2y) = 2(-7)$
$4x - 4y = -14$
Теперь сложим почленно первое уравнение и полученное третье:
$(15x + 4y) + (4x - 4y) = -24 + (-14)$
$19x = -38$
$x = -38 / 19$
$x = -2$
Подставим найденное значение $x = -2$ во второе упрощенное уравнение ($2x - 2y = -7$) для нахождения $y$:
$2(-2) - 2y = -7$
$-4 - 2y = -7$
$-2y = -7 + 4$
$-2y = -3$
$y = 1.5$
Ответ: $(-2; 1.5)$
б) $ \begin{cases} 4(2x-6)-3(x-2y)=2(4y-7)+22, \\ 11x-3(3x+5)=5(4-2y)-33. \end{cases} $
Упростим первое уравнение:
$8x - 24 - 3x + 6y = 8y - 14 + 22$
$5x - 24 + 6y = 8y + 8$
$5x + 6y - 8y = 8 + 24$
$5x - 2y = 32$
Теперь упростим второе уравнение:
$11x - 9x - 15 = 20 - 10y - 33$
$2x - 15 = -13 - 10y$
$2x + 10y = -13 + 15$
$2x + 10y = 2$
Разделим обе части уравнения на 2:
$x + 5y = 1$
Получили упрощенную систему:
$ \begin{cases} 5x - 2y = 32, \\ x + 5y = 1; \end{cases} $
Решим систему методом подстановки. Выразим $x$ из второго уравнения:
$x = 1 - 5y$
Подставим это выражение для $x$ в первое уравнение:
$5(1 - 5y) - 2y = 32$
$5 - 25y - 2y = 32$
$5 - 27y = 32$
$-27y = 32 - 5$
$-27y = 27$
$y = -1$
Теперь найдем $x$, подставив значение $y = -1$ в выражение $x = 1 - 5y$:
$x = 1 - 5(-1)$
$x = 1 + 5$
$x = 6$
Ответ: $(6; -1)$
Другие задания:
Помогло решение? Оставьте отзыв в комментариях ниже.
Присоединяйтесь к Телеграм-группе @top_gdz
ПрисоединитьсяМы подготовили для вас ответ c подробным объяснением домашего задания по алгебре за 7 класс, для упражнения номер 7 расположенного на странице 98 для 2-й части к рабочей тетради 2023 года издания для учащихся школ и гимназий.
Теперь на нашем сайте ГДЗ.ТОП вы всегда легко и бесплатно найдёте условие с правильным ответом на вопрос «Как решить ДЗ» и «Как сделать» задание по алгебре к упражнению №7 (с. 98), авторов: Крайнева (Лариса Борисовна), Миндюк (Нора Григорьевна), Шлыкова (Инга Соломоновна), 2-й части ФГОС (новый, красный) базовый уровень обучения учебного пособия издательства Просвещение.
 
                     
                     
                     
                     
                     
                     
                     
                     
                     
                     
                     
                     
                     
                    