Номер 447, страница 84 - гдз по алгебре 7 класс учебник Мерзляк, Полонский
 
                                                Авторы: Мерзляк А. Г., Полонский В. Б., Якир М. С.
Тип: Учебник
Издательство: Просвещение, Вентана-граф
Год издания: 2016 - 2022
ISBN: 978-5-360-07440-3
Рекомендовано Министерством образования и науки Российской Федерации
Популярные ГДЗ в 7 классе
Глава 2. Целые выражения. §12. Разложение многочленов на множители. Вынесение общего множителя за скобки - номер 447, страница 84.
№447 (с. 84)
Условие. №447 (с. 84)
скриншот условия
 
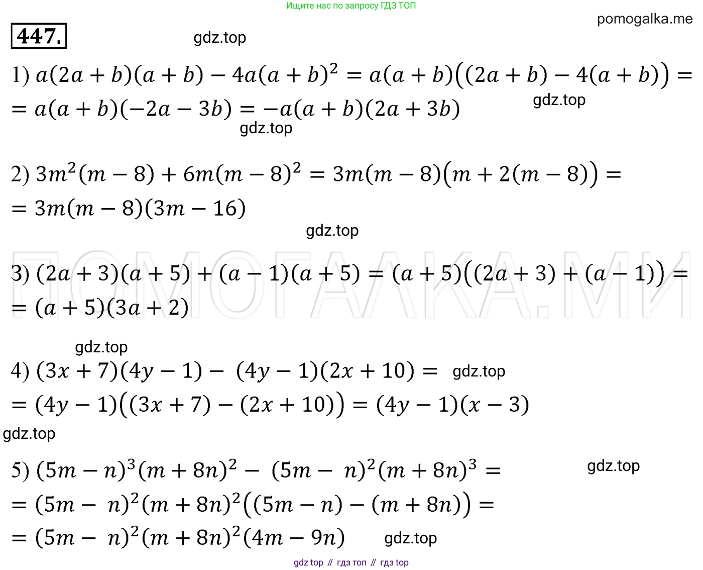
                                                                                                                                        447. Разложите на множители:
1) $a(2a + b)(a + b) - 4a(a + b)^2$
2) $3m^2(m - 8) + 6m(m - 8)^2$
3) $(2a + 3)(a + 5) + (a - 1)(a + 5)$
4) $(3x + 7)(4y - 1) - (4y - 1)(2x + 10)$
5) $(5m - n)^3(m + 8n)^2 - (5m - n)^2(m + 8n)^3$
Решение 1. №447 (с. 84)
 
                                                                            
                                                                                                         
                                                                            
                                                                                                         
                                                                            
                                                                                                         
                                                                            
                                                                                                         
                                                                                                                        Решение 2. №447 (с. 84)
 
                                                                                                                        Решение 3. №447 (с. 84)
 
                                                                                                                        Решение 4. №447 (с. 84)
 
                                                                                                                        Решение 5. №447 (с. 84)
 
                                                                                                                        Другие задания:
Помогло решение? Оставьте отзыв в комментариях ниже.
Присоединяйтесь к Телеграм-группе @top_gdz
ПрисоединитьсяМы подготовили для вас ответ c подробным объяснением домашего задания по алгебре за 7 класс, для упражнения номер 447 расположенного на странице 84 к учебнику 2016 - 2022 года издания для учащихся школ и гимназий.
Теперь на нашем сайте ГДЗ.ТОП вы всегда легко и бесплатно найдёте условие с правильным ответом на вопрос «Как решить ДЗ» и «Как сделать» задание по алгебре к упражнению №447 (с. 84), авторов: Мерзляк (Аркадий Григорьевич), Полонский (Виталий Борисович), Якир (Михаил Семёнович), ФГОС (старый) учебного пособия издательства Просвещение, Вентана-граф.
 
                     
                     
                     
                     
                     
                     
                     
                     
                     
                     
                     
                     
                     
                    