Страница 60 - гдз по алгебре 7 класс учебник Мерзляк, Полонский

Авторы: Мерзляк А. Г., Полонский В. Б., Якир М. С.
Тип: Учебник
Издательство: Просвещение, Вентана-граф
Год издания: 2016 - 2022
Цвет обложки:
ISBN: 978-5-360-07440-3
Рекомендовано Министерством образования и науки Российской Федерации
Популярные ГДЗ в 7 классе
Cтраница 60

№294 (с. 60)
Условие. №294 (с. 60)

Решение 1. №294 (с. 60)



Решение 2. №294 (с. 60)

Решение 3. №294 (с. 60)

Решение 4. №294 (с. 60)

Решение 5. №294 (с. 60)

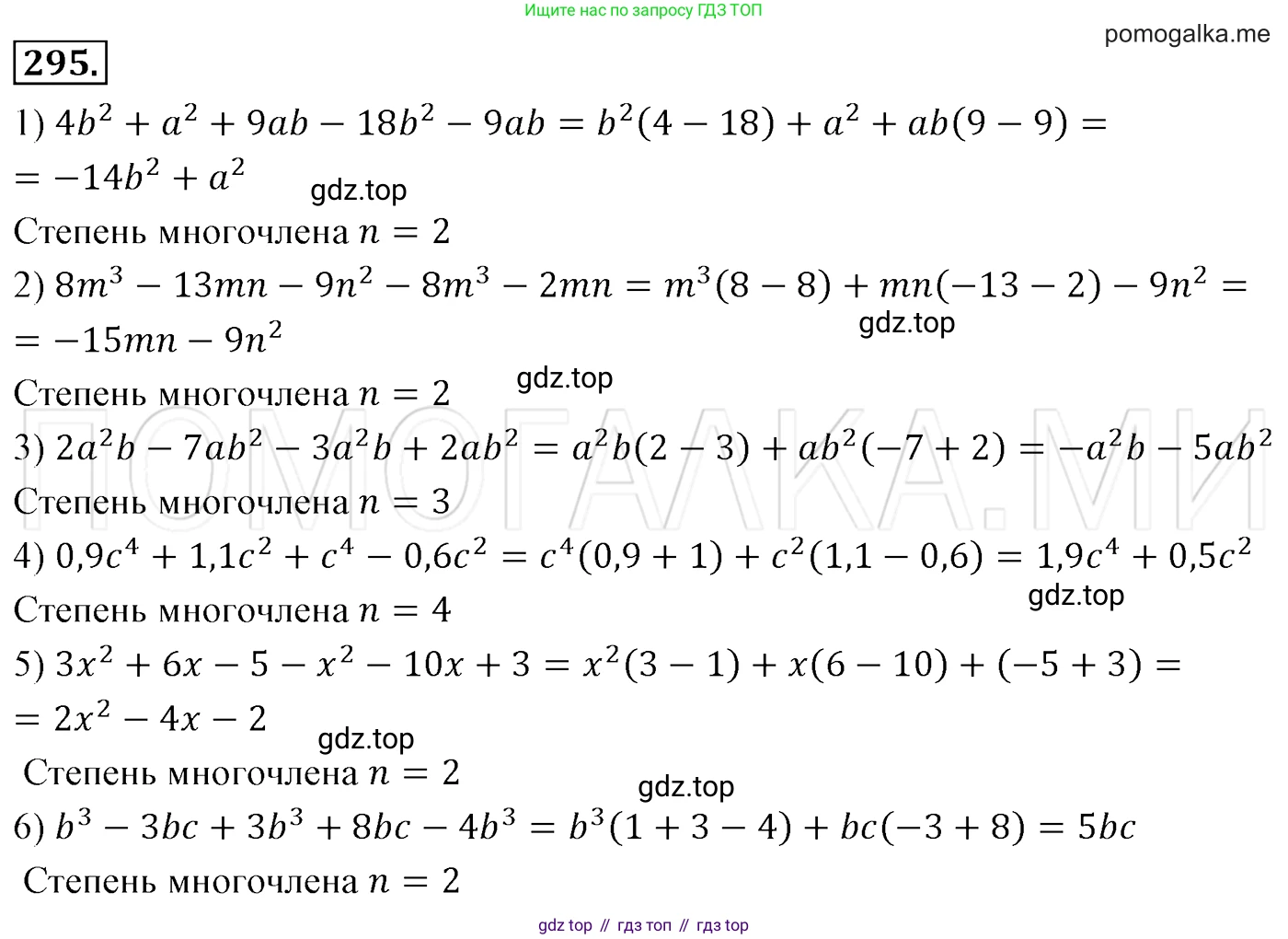
№295 (с. 60)
Условие. №295 (с. 60)

Решение 1. №295 (с. 60)






Решение 2. №295 (с. 60)

Решение 3. №295 (с. 60)

Решение 4. №295 (с. 60)

Решение 5. №295 (с. 60)

№296 (с. 60)
Условие. №296 (с. 60)

Решение 1. №296 (с. 60)




Решение 2. №296 (с. 60)

Решение 3. №296 (с. 60)

Решение 4. №296 (с. 60)

Решение 5. №296 (с. 60)

№297 (с. 60)
Условие. №297 (с. 60)

Решение 1. №297 (с. 60)




Решение 2. №297 (с. 60)

Решение 3. №297 (с. 60)

Решение 4. №297 (с. 60)

Решение 5. №297 (с. 60)

№298 (с. 60)
Условие. №298 (с. 60)

Решение 1. №298 (с. 60)



Решение 2. №298 (с. 60)

Решение 3. №298 (с. 60)

Решение 4. №298 (с. 60)

Решение 5. №298 (с. 60)

№299 (с. 60)
Условие. №299 (с. 60)

Решение 1. №299 (с. 60)



Решение 2. №299 (с. 60)

Решение 3. №299 (с. 60)

Решение 4. №299 (с. 60)

Решение 5. №299 (с. 60)

№300 (с. 60)
Условие. №300 (с. 60)

Решение 1. №300 (с. 60)

Решение 2. №300 (с. 60)

Решение 3. №300 (с. 60)

Решение 4. №300 (с. 60)

Решение 5. №300 (с. 60)

№301 (с. 60)
Условие. №301 (с. 60)

Решение 1. №301 (с. 60)

Решение 2. №301 (с. 60)

Решение 3. №301 (с. 60)

Решение 4. №301 (с. 60)

Решение 5. №301 (с. 60)

Помогло решение? Оставьте отзыв в комментариях ниже.