Номер 14.22, страница 74, часть 2 - гдз по алгебре 7 класс учебник Мордкович, Александрова
 
                                                Авторы: Мордкович А. Г., Александрова Л. А., Мишустина Т. Н., Тульчинская Е. Е.
Тип: Учебник
Издательство: Мнемозина
Год издания: 2019 - 2025
Часть: 2
Цвет обложки:
ISBN: 978-5-346-04640-0
Допущено Министерством просвещения Российской Федерации
Популярные ГДЗ в 7 классе
Часть 2. Глава 3. Системы двух линейных уравнений с двумя переменными. Параграф 14. Метод подстановки - номер 14.22, страница 74.
№14.22 (с. 74)
Условие. №14.22 (с. 74)
скриншот условия
 
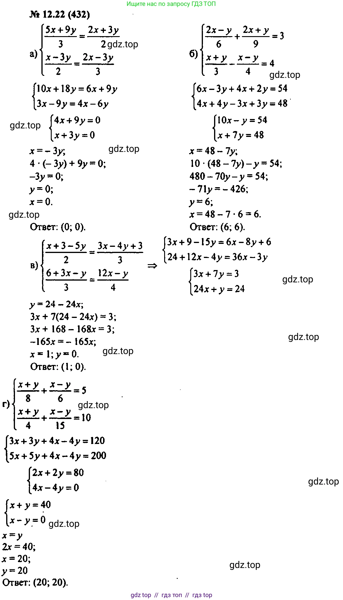
                                14.22 а) $\begin{cases} \frac{5x - 3 + 9y}{3} = \frac{2x + 3y - 2}{2} \\ \frac{x - 3y}{2} = \frac{2x - 3y}{3} \end{cases}$
б) $\begin{cases} \frac{2x - y}{6} + \frac{2x + y}{9} = 3 \\ \frac{x + y}{3} - \frac{x - y}{4} = 4 \end{cases}$
в) $\begin{cases} \frac{x + 3 - 5y}{2} = \frac{3x - 4y + 3}{3} \\ \frac{6 + 3x - y}{3} = \frac{12x - y}{4} \end{cases}$
г) $\begin{cases} \frac{x + y}{8} + \frac{x - y}{6} = 5 \\ \frac{x + y}{4} + \frac{x - y}{5} = 10 \end{cases}$
Решение 1. №14.22 (с. 74)
 
             
             
             
                            Решение 3. №14.22 (с. 74)
 
             
                            Решение 4. №14.22 (с. 74)
 
                            Решение 5. №14.22 (с. 74)
 
                            Решение 7. №14.22 (с. 74)
 
                            Решение 8. №14.22 (с. 74)
а)
Данная система уравнений: $$ \begin{cases} \frac{5x - 3 + 9y}{3} = \frac{2x + 3y - 2}{2} \\ \frac{x - 3y}{2} = \frac{2x - 3y}{3} \end{cases} $$ Для решения системы избавимся от знаменателей в каждом уравнении.
Преобразуем первое уравнение, используя основное свойство пропорции (умножим крест-накрест):
$2(5x - 3 + 9y) = 3(2x + 3y - 2)$
$10x - 6 + 18y = 6x + 9y - 6$
Перенесем слагаемые с переменными в левую часть, а числовые слагаемые — в правую:
$10x - 6x + 18y - 9y = -6 + 6$
$4x + 9y = 0$
Теперь преобразуем второе уравнение:
$3(x - 3y) = 2(2x - 3y)$
$3x - 9y = 4x - 6y$
Перенесем все слагаемые в левую часть:
$3x - 4x - 9y + 6y = 0$
$-x - 3y = 0$
Умножим обе части уравнения на -1:
$x + 3y = 0$
Получили упрощенную систему: $$ \begin{cases} 4x + 9y = 0 \\ x + 3y = 0 \end{cases} $$ Решим систему методом подстановки. Из второго уравнения выразим $x$:
$x = -3y$
Подставим это выражение в первое уравнение:
$4(-3y) + 9y = 0$
$-12y + 9y = 0$
$-3y = 0$
$y = 0$
Теперь найдем $x$, подставив значение $y$ в выражение $x = -3y$:
$x = -3 \cdot 0 = 0$
Решение системы: $x=0$, $y=0$.
Ответ: $(0, 0)$.
б)
Данная система уравнений: $$ \begin{cases} \frac{2x - y}{6} + \frac{2x + y}{9} = 3 \\ \frac{x + y}{3} - \frac{x - y}{4} = 4 \end{cases} $$ Упростим каждое уравнение, приведя дроби к общему знаменателю.
Для первого уравнения общий знаменатель для 6 и 9 равен 18. Умножим обе части уравнения на 18:
$18 \cdot \frac{2x - y}{6} + 18 \cdot \frac{2x + y}{9} = 18 \cdot 3$
$3(2x - y) + 2(2x + y) = 54$
$6x - 3y + 4x + 2y = 54$
$10x - y = 54$
Для второго уравнения общий знаменатель для 3 и 4 равен 12. Умножим обе части уравнения на 12:
$12 \cdot \frac{x + y}{3} - 12 \cdot \frac{x - y}{4} = 12 \cdot 4$
$4(x + y) - 3(x - y) = 48$
$4x + 4y - 3x + 3y = 48$
$x + 7y = 48$
Получили систему: $$ \begin{cases} 10x - y = 54 \\ x + 7y = 48 \end{cases} $$ Решим систему методом подстановки. Из первого уравнения выразим $y$:
$y = 10x - 54$
Подставим это выражение во второе уравнение:
$x + 7(10x - 54) = 48$
$x + 70x - 378 = 48$
$71x = 48 + 378$
$71x = 426$
$x = \frac{426}{71} = 6$
Теперь найдем $y$, подставив $x=6$ в выражение $y = 10x - 54$:
$y = 10 \cdot 6 - 54 = 60 - 54 = 6$
Решение системы: $x=6$, $y=6$.
Ответ: $(6, 6)$.
в)
Данная система уравнений: $$ \begin{cases} \frac{x + 3 - 5y}{2} = \frac{3x - 4y + 3}{3} \\ \frac{6 + 3x - y}{3} = \frac{12x - y}{4} \end{cases} $$ Упростим каждое уравнение, используя свойство пропорции.
Преобразуем первое уравнение:
$3(x + 3 - 5y) = 2(3x - 4y + 3)$
$3x + 9 - 15y = 6x - 8y + 6$
$3x - 6x - 15y + 8y = 6 - 9$
$-3x - 7y = -3$
$3x + 7y = 3$
Преобразуем второе уравнение:
$4(6 + 3x - y) = 3(12x - y)$
$24 + 12x - 4y = 36x - 3y$
$12x - 36x - 4y + 3y = -24$
$-24x - y = -24$
$24x + y = 24$
Получили систему: $$ \begin{cases} 3x + 7y = 3 \\ 24x + y = 24 \end{cases} $$ Решим систему методом подстановки. Из второго уравнения выразим $y$:
$y = 24 - 24x$
Подставим это выражение в первое уравнение:
$3x + 7(24 - 24x) = 3$
$3x + 168 - 168x = 3$
$-165x = 3 - 168$
$-165x = -165$
$x = 1$
Найдем $y$, подставив $x=1$ в выражение $y = 24 - 24x$:
$y = 24 - 24 \cdot 1 = 0$
Решение системы: $x=1$, $y=0$.
Ответ: $(1, 0)$.
г)
Данная система уравнений: $$ \begin{cases} \frac{x + y}{8} + \frac{x - y}{6} = 5 \\ \frac{x + y}{4} + \frac{x - y}{5} = 10 \end{cases} $$ Для упрощения решения введем новые переменные:
Пусть $a = x + y$ и $b = x - y$.
Тогда система примет вид: $$ \begin{cases} \frac{a}{8} + \frac{b}{6} = 5 \\ \frac{a}{4} + \frac{b}{5} = 10 \end{cases} $$ Теперь решим эту систему относительно $a$ и $b$. Умножим первое уравнение на 24 (НОК 8 и 6), а второе на 20 (НОК 4 и 5):
$24(\frac{a}{8} + \frac{b}{6}) = 24 \cdot 5 \implies 3a + 4b = 120$
$20(\frac{a}{4} + \frac{b}{5}) = 20 \cdot 10 \implies 5a + 4b = 200$
Получили систему: $$ \begin{cases} 3a + 4b = 120 \\ 5a + 4b = 200 \end{cases} $$ Решим систему методом вычитания. Вычтем из второго уравнения первое:
$(5a + 4b) - (3a + 4b) = 200 - 120$
$2a = 80$
$a = 40$
Подставим значение $a$ в первое уравнение, чтобы найти $b$:
$3(40) + 4b = 120$
$120 + 4b = 120$
$4b = 0$
$b = 0$
Теперь вернемся к исходным переменным $x$ и $y$:
$x + y = a = 40$
$x - y = b = 0$
Получили простую систему: $$ \begin{cases} x + y = 40 \\ x - y = 0 \end{cases} $$ Из второго уравнения следует, что $x = y$. Подставим это в первое уравнение:
$x + x = 40$
$2x = 40$
$x = 20$
Так как $x = y$, то $y = 20$.
Решение системы: $x=20$, $y=20$.
Ответ: $(20, 20)$.
Другие задания:
Помогло решение? Оставьте отзыв в комментариях ниже.
Присоединяйтесь к Телеграм-группе @top_gdz
ПрисоединитьсяМы подготовили для вас ответ c подробным объяснением домашего задания по алгебре за 7 класс, для упражнения номер 14.22 расположенного на странице 74 для 2-й части к учебнику 2019 года издания для учащихся школ и гимназий.
Теперь на нашем сайте ГДЗ.ТОП вы всегда легко и бесплатно найдёте условие с правильным ответом на вопрос «Как решить ДЗ» и «Как сделать» задание по алгебре к упражнению №14.22 (с. 74), авторов: Мордкович (Александр Григорьевич), Александрова (Лилия Александровна), Мишустина (Татьяна Николаевна), Тульчинская (Елена Ефимовна), 2-й части ФГОС (старый) учебного пособия издательства Мнемозина.
 
                     
                     
                     
                     
                     
                     
                     
                     
                     
                     
                     
                     
                     
                    