Номер 14.19, страница 73, часть 2 - гдз по алгебре 7 класс учебник Мордкович, Александрова
 
                                                Авторы: Мордкович А. Г., Александрова Л. А., Мишустина Т. Н., Тульчинская Е. Е.
Тип: Учебник
Издательство: Мнемозина
Год издания: 2019 - 2025
Часть: 2
Цвет обложки:
ISBN: 978-5-346-04640-0
Допущено Министерством просвещения Российской Федерации
Популярные ГДЗ в 7 классе
Часть 2. Глава 3. Системы двух линейных уравнений с двумя переменными. Параграф 14. Метод подстановки - номер 14.19, страница 73.
№14.19 (с. 73)
Условие. №14.19 (с. 73)
скриншот условия
 
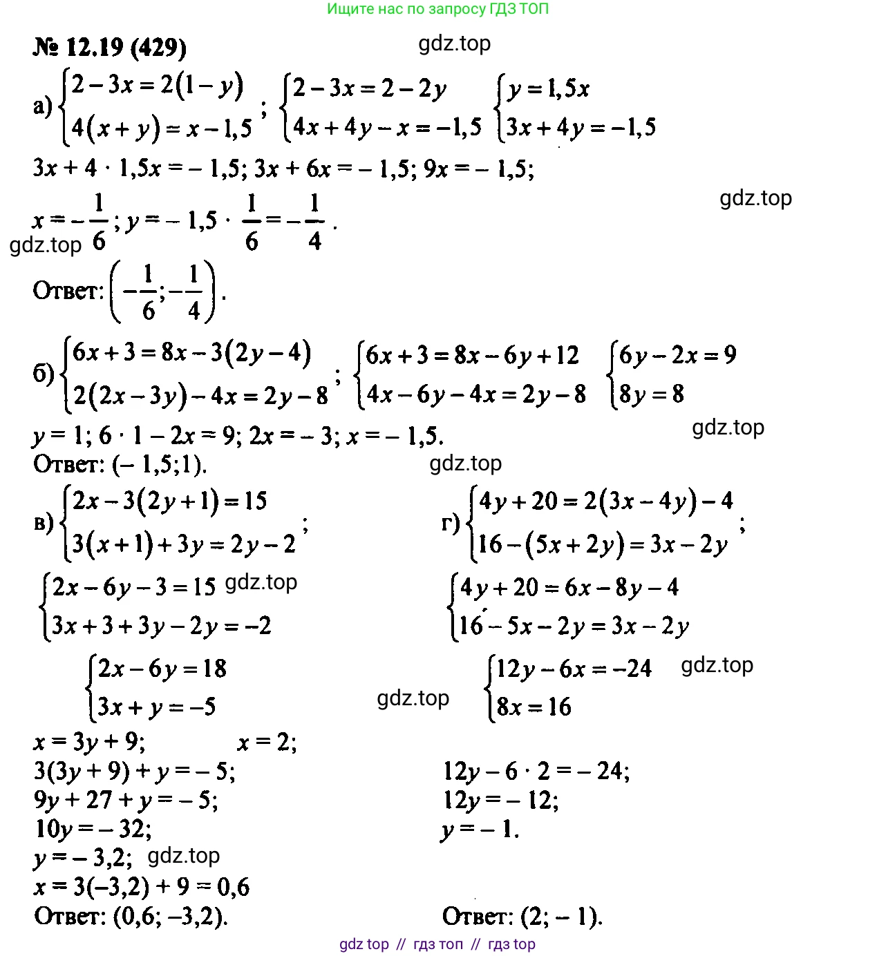
                                14.19 a) $\begin{cases} 2 - 3x = 2(1 - y), \\ 4(x + y) = x - 1.5; \end{cases}$
б) $\begin{cases} 6x + 3 = 8x - 3(2y - 4), \\ 2(2x - 3y) - 4x = 2y - 8; \end{cases}$
в) $\begin{cases} 2x - 3(2y + 1) = 15, \\ 3(x + 1) + 3y = 2y - 2; \end{cases}$
г) $\begin{cases} 4y + 20 = 2(3x - 4y) - 4, \\ 16 - (5x + 2y) = 3x - 2y. \end{cases}$
Решение 1. №14.19 (с. 73)
 
             
             
             
                            Решение 3. №14.19 (с. 73)
 
                            Решение 4. №14.19 (с. 73)
 
                            Решение 5. №14.19 (с. 73)
 
                            Решение 7. №14.19 (с. 73)
 
                            Решение 8. №14.19 (с. 73)
а)
Исходная система уравнений:
$ \begin{cases} 2 - 3x = 2(1 - y), \\ 4(x + y) = x - 1.5; \end{cases} $
1. Упростим каждое уравнение системы. Для этого раскроем скобки и приведем подобные слагаемые.
Первое уравнение:
$2 - 3x = 2 - 2y$
$-3x = -2y$
$3x = 2y$
Второе уравнение:
$4x + 4y = x - 1.5$
$4x - x + 4y = -1.5$
$3x + 4y = -1.5$
Получим упрощенную систему:
$ \begin{cases} 3x = 2y, \\ 3x + 4y = -1.5; \end{cases} $
2. Решим полученную систему методом подстановки. Подставим выражение $3x$ из первого уравнения во второе:
$(2y) + 4y = -1.5$
$6y = -1.5$
$y = -1.5 / 6 = -1/4 = -0.25$
3. Теперь найдем $x$, подставив значение $y$ в первое упрощенное уравнение $3x = 2y$:
$3x = 2 \cdot (-0.25)$
$3x = -0.5$
$x = -0.5 / 3 = - (1/2) / 3 = -1/6$
Ответ: $(-1/6; -0.25)$
б)
Исходная система уравнений:
$ \begin{cases} 6x + 3 = 8x - 3(2y - 4), \\ 2(2x - 3y) - 4x = 2y - 8; \end{cases} $
1. Упростим каждое уравнение.
Первое уравнение:
$6x + 3 = 8x - 6y + 12$
$6y = 8x - 6x + 12 - 3$
$6y = 2x + 9$
Второе уравнение:
$4x - 6y - 4x = 2y - 8$
$-6y = 2y - 8$
$8 = 8y$
$y = 1$
2. Мы сразу получили значение $y$ из второго уравнения. Подставим $y = 1$ в упрощенное первое уравнение $6y = 2x + 9$:
$6 \cdot 1 = 2x + 9$
$6 = 2x + 9$
$2x = 6 - 9$
$2x = -3$
$x = -3/2 = -1.5$
Ответ: $(-1.5; 1)$
в)
Исходная система уравнений:
$ \begin{cases} 2x - 3(2y + 1) = 15, \\ 3(x + 1) + 3y = 2y - 2; \end{cases} $
1. Упростим каждое уравнение.
Первое уравнение:
$2x - 6y - 3 = 15$
$2x - 6y = 18$
Разделим обе части на 2: $x - 3y = 9$
Второе уравнение:
$3x + 3 + 3y = 2y - 2$
$3x + 3y - 2y = -2 - 3$
$3x + y = -5$
Получим упрощенную систему:
$ \begin{cases} x - 3y = 9, \\ 3x + y = -5; \end{cases} $
2. Решим систему методом подстановки. Из первого уравнения выразим $x$: $x = 9 + 3y$.
3. Подставим это выражение во второе уравнение:
$3(9 + 3y) + y = -5$
$27 + 9y + y = -5$
$10y = -5 - 27$
$10y = -32$
$y = -3.2$
4. Найдем $x$, подставив значение $y$ в выражение для $x$:
$x = 9 + 3(-3.2) = 9 - 9.6 = -0.6$
Ответ: $(-0.6; -3.2)$
г)
Исходная система уравнений:
$ \begin{cases} 4y + 20 = 2(3x - 4y) - 4, \\ 16 - (5x + 2y) = 3x - 2y; \end{cases} $
1. Упростим каждое уравнение.
Первое уравнение:
$4y + 20 = 6x - 8y - 4$
$4y + 8y - 6x = -4 - 20$
$12y - 6x = -24$
Разделим обе части на 6: $2y - x = -4$, или $x - 2y = 4$.
Второе уравнение:
$16 - 5x - 2y = 3x - 2y$
Слагаемые $-2y$ в обеих частях взаимно уничтожаются:
$16 - 5x = 3x$
$16 = 3x + 5x$
$16 = 8x$
$x = 2$
2. Мы сразу получили значение $x$ из второго уравнения. Подставим $x = 2$ в упрощенное первое уравнение $x - 2y = 4$:
$2 - 2y = 4$
$-2y = 4 - 2$
$-2y = 2$
$y = -1$
Ответ: $(2; -1)$
Другие задания:
Помогло решение? Оставьте отзыв в комментариях ниже.
Присоединяйтесь к Телеграм-группе @top_gdz
ПрисоединитьсяМы подготовили для вас ответ c подробным объяснением домашего задания по алгебре за 7 класс, для упражнения номер 14.19 расположенного на странице 73 для 2-й части к учебнику 2019 года издания для учащихся школ и гимназий.
Теперь на нашем сайте ГДЗ.ТОП вы всегда легко и бесплатно найдёте условие с правильным ответом на вопрос «Как решить ДЗ» и «Как сделать» задание по алгебре к упражнению №14.19 (с. 73), авторов: Мордкович (Александр Григорьевич), Александрова (Лилия Александровна), Мишустина (Татьяна Николаевна), Тульчинская (Елена Ефимовна), 2-й части ФГОС (старый) учебного пособия издательства Мнемозина.
 
                     
                     
                     
                     
                     
                     
                     
                     
                     
                     
                     
                     
                     
                    