Номер 14.21, страница 73, часть 2 - гдз по алгебре 7 класс учебник Мордкович, Александрова
 
                                                Авторы: Мордкович А. Г., Александрова Л. А., Мишустина Т. Н., Тульчинская Е. Е.
Тип: Учебник
Издательство: Мнемозина
Год издания: 2019 - 2025
Часть: 2
Цвет обложки:
ISBN: 978-5-346-04640-0
Допущено Министерством просвещения Российской Федерации
Популярные ГДЗ в 7 классе
Часть 2. Глава 3. Системы двух линейных уравнений с двумя переменными. Параграф 14. Метод подстановки - номер 14.21, страница 73.
№14.21 (с. 73)
Условие. №14.21 (с. 73)
скриншот условия
 
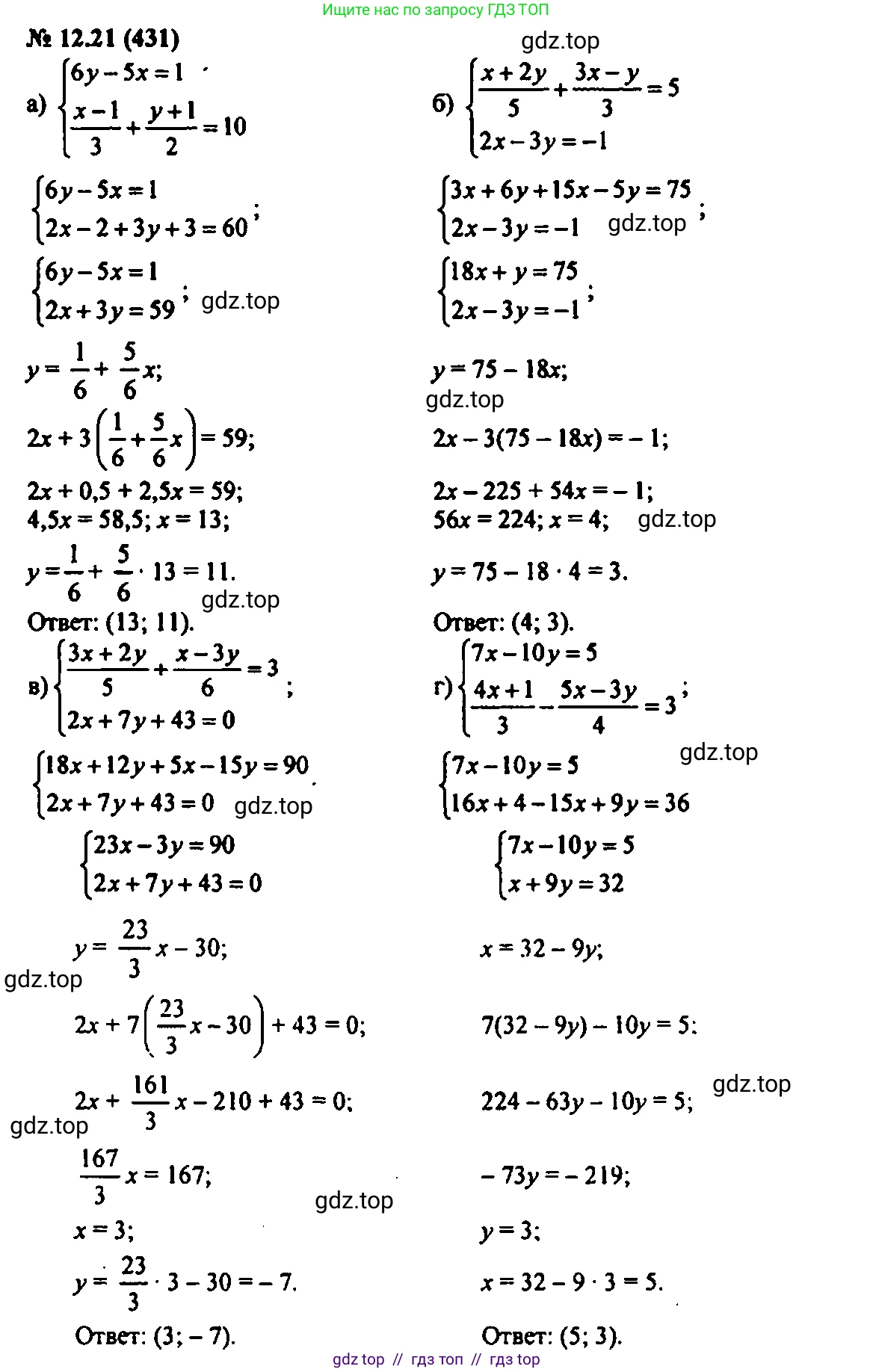
                                14.21 a) $\begin{cases} 6y - 5x - 1 = 0, \\ \frac{x - 1}{3} + \frac{y + 1}{2} = 10; \end{cases}$
б) $\begin{cases} \frac{x + 2y}{5} + \frac{3x - y}{3} = 5, \\ 2x - 3y = -1; \end{cases}$
в) $\begin{cases} \frac{3x + 2y}{5} + \frac{x - 3y}{6} = 3, \\ 2x + 7y + 43 = 0; \end{cases}$
г) $\begin{cases} 7x - 10y = 5, \\ \frac{4x + 1}{3} - \frac{5x - 3y}{4} = 3. \end{cases}$
Решение 1. №14.21 (с. 73)
 
             
             
             
                            Решение 3. №14.21 (с. 73)
 
             
                            Решение 4. №14.21 (с. 73)
 
                            Решение 5. №14.21 (с. 73)
 
                            Решение 7. №14.21 (с. 73)
 
                            Решение 8. №14.21 (с. 73)
а)
Дана система уравнений:
$ \begin{cases} 6y - 5x - 1 = 0 \\ \frac{x-1}{3} + \frac{y+1}{2} = 10 \end{cases} $
Сначала упростим каждое уравнение, приведя их к стандартному виду $Ax + By = C$.
Первое уравнение: $6y - 5x - 1 = 0$ можно переписать как $-5x + 6y = 1$.
Для второго уравнения, умножим обе его части на наименьший общий знаменатель дробей, то есть на 6:
$6 \cdot \left(\frac{x-1}{3}\right) + 6 \cdot \left(\frac{y+1}{2}\right) = 10 \cdot 6$
$2(x-1) + 3(y+1) = 60$
$2x - 2 + 3y + 3 = 60$
$2x + 3y + 1 = 60$
$2x + 3y = 59$
Теперь система имеет вид:
$ \begin{cases} -5x + 6y = 1 \\ 2x + 3y = 59 \end{cases} $
Решим эту систему методом сложения. Умножим второе уравнение на -2, чтобы коэффициенты при $y$ стали противоположными:
$2x + 3y = 59 \quad|\cdot(-2) \quad \implies \quad -4x - 6y = -118$
Теперь сложим первое уравнение и преобразованное второе:
$(-5x + 6y) + (-4x - 6y) = 1 + (-118)$
$-9x = -117$
$x = \frac{-117}{-9} = 13$
Подставим значение $x=13$ во второе упрощенное уравнение $2x + 3y = 59$:
$2(13) + 3y = 59$
$26 + 3y = 59$
$3y = 59 - 26$
$3y = 33$
$y = 11$
Решение системы: $(13; 11)$.
Ответ: (13; 11).
б)
Дана система уравнений:
$ \begin{cases} \frac{x+2y}{5} + \frac{3x-y}{3} = 5 \\ 2x - 3y = -1 \end{cases} $
Упростим первое уравнение, умножив его на наименьший общий знаменатель 15:
$15 \cdot \left(\frac{x+2y}{5}\right) + 15 \cdot \left(\frac{3x-y}{3}\right) = 5 \cdot 15$
$3(x+2y) + 5(3x-y) = 75$
$3x + 6y + 15x - 5y = 75$
$18x + y = 75$
Теперь система имеет вид:
$ \begin{cases} 18x + y = 75 \\ 2x - 3y = -1 \end{cases} $
Решим систему методом подстановки. Из первого уравнения выразим $y$:
$y = 75 - 18x$
Подставим это выражение во второе уравнение:
$2x - 3(75 - 18x) = -1$
$2x - 225 + 54x = -1$
$56x = 224$
$x = \frac{224}{56} = 4$
Теперь найдем $y$, подставив $x=4$ в выражение для $y$:
$y = 75 - 18(4)$
$y = 75 - 72 = 3$
Решение системы: $(4; 3)$.
Ответ: (4; 3).
в)
Дана система уравнений:
$ \begin{cases} \frac{3x+2y}{5} + \frac{x-3y}{6} = 3 \\ 2x + 7y + 43 = 0 \end{cases} $
Упростим оба уравнения. Для первого уравнения, умножим обе части на 30 (НОК 5 и 6):
$6(3x+2y) + 5(x-3y) = 3 \cdot 30$
$18x + 12y + 5x - 15y = 90$
$23x - 3y = 90$
Второе уравнение: $2x + 7y + 43 = 0 \implies 2x + 7y = -43$.
Система в упрощенном виде:
$ \begin{cases} 23x - 3y = 90 \\ 2x + 7y = -43 \end{cases} $
Решим систему методом сложения. Умножим первое уравнение на 7, а второе на 3, чтобы исключить $y$:
$7 \cdot (23x - 3y) = 7 \cdot 90 \implies 161x - 21y = 630$
$3 \cdot (2x + 7y) = 3 \cdot (-43) \implies 6x + 21y = -129$
Сложим полученные уравнения:
$(161x - 21y) + (6x + 21y) = 630 - 129$
$167x = 501$
$x = \frac{501}{167} = 3$
Подставим $x=3$ во второе упрощенное уравнение $2x + 7y = -43$:
$2(3) + 7y = -43$
$6 + 7y = -43$
$7y = -49$
$y = -7$
Решение системы: $(3; -7)$.
Ответ: (3; -7).
г)
Дана система уравнений:
$ \begin{cases} 7x - 10y = 5 \\ \frac{4x+1}{3} - \frac{5x-3y}{4} = 3 \end{cases} $
Первое уравнение уже в стандартном виде. Упростим второе уравнение, умножив его на 12 (НОК 3 и 4):
$12 \cdot \left(\frac{4x+1}{3}\right) - 12 \cdot \left(\frac{5x-3y}{4}\right) = 3 \cdot 12$
$4(4x+1) - 3(5x-3y) = 36$
$16x + 4 - 15x + 9y = 36$
$x + 9y = 32$
Система в упрощенном виде:
$ \begin{cases} 7x - 10y = 5 \\ x + 9y = 32 \end{cases} $
Решим систему методом подстановки. Из второго уравнения выразим $x$:
$x = 32 - 9y$
Подставим это выражение в первое уравнение:
$7(32 - 9y) - 10y = 5$
$224 - 63y - 10y = 5$
$224 - 73y = 5$
$-73y = 5 - 224$
$-73y = -219$
$y = \frac{-219}{-73} = 3$
Теперь найдем $x$, подставив $y=3$ в выражение для $x$:
$x = 32 - 9(3)$
$x = 32 - 27 = 5$
Решение системы: $(5; 3)$.
Ответ: (5; 3).
Другие задания:
Помогло решение? Оставьте отзыв в комментариях ниже.
Присоединяйтесь к Телеграм-группе @top_gdz
ПрисоединитьсяМы подготовили для вас ответ c подробным объяснением домашего задания по алгебре за 7 класс, для упражнения номер 14.21 расположенного на странице 73 для 2-й части к учебнику 2019 года издания для учащихся школ и гимназий.
Теперь на нашем сайте ГДЗ.ТОП вы всегда легко и бесплатно найдёте условие с правильным ответом на вопрос «Как решить ДЗ» и «Как сделать» задание по алгебре к упражнению №14.21 (с. 73), авторов: Мордкович (Александр Григорьевич), Александрова (Лилия Александровна), Мишустина (Татьяна Николаевна), Тульчинская (Елена Ефимовна), 2-й части ФГОС (старый) учебного пособия издательства Мнемозина.
 
                     
                     
                     
                     
                     
                     
                     
                     
                     
                     
                     
                     
                     
                    