Номер 15.13, страница 77, часть 2 - гдз по алгебре 7 класс учебник Мордкович, Александрова
 
                                                Авторы: Мордкович А. Г., Александрова Л. А., Мишустина Т. Н., Тульчинская Е. Е.
Тип: Учебник
Издательство: Мнемозина
Год издания: 2019 - 2025
Часть: 2
Цвет обложки:
ISBN: 978-5-346-04640-0
Допущено Министерством просвещения Российской Федерации
Популярные ГДЗ в 7 классе
Часть 2. Глава 3. Системы двух линейных уравнений с двумя переменными. Параграф 15. Метод алгебраического сложения - номер 15.13, страница 77.
№15.13 (с. 77)
Условие. №15.13 (с. 77)
скриншот условия
 
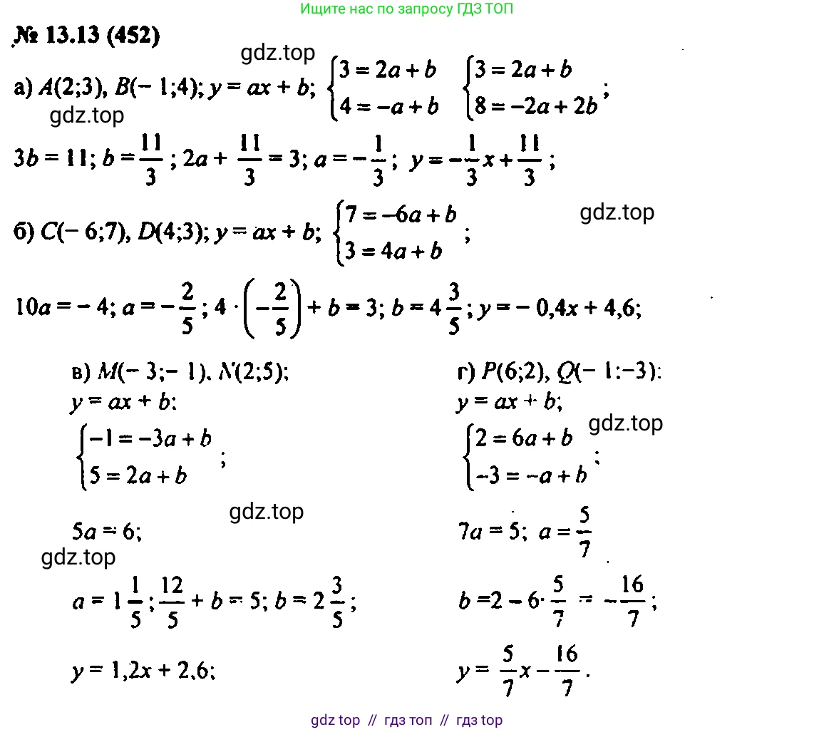
                                15.13 Составьте уравнение прямой, проходящей через заданные точки:
а) $A(2; 3)$; $B(-1; 4)$;
б) $C(-6; 7)$; $D(4; 3)$;
в) $M(-3; -1)$; $N(2; 5)$;
г) $P(6; 2)$; $Q(-1; -3)$.
Решение 1. №15.13 (с. 77)
 
             
             
             
                            Решение 3. №15.13 (с. 77)
 
                            Решение 4. №15.13 (с. 77)
 
                            Решение 5. №15.13 (с. 77)
 
                            Решение 8. №15.13 (с. 77)
а)
Для нахождения уравнения прямой, проходящей через две точки $A(x_1, y_1)$ и $B(x_2, y_2)$, используется каноническое уравнение прямой: $\frac{x - x_1}{x_2 - x_1} = \frac{y - y_1}{y_2 - y_1}$.
Подставим координаты точек $A(2; 3)$ и $B(-1; 4)$ в эту формулу. Пусть $x_1 = 2$, $y_1 = 3$, $x_2 = -1$, $y_2 = 4$.
$\frac{x - 2}{-1 - 2} = \frac{y - 3}{4 - 3}$
$\frac{x - 2}{-3} = \frac{y - 3}{1}$
Применим свойство пропорции (перекрестное умножение), чтобы получить общее уравнение прямой вида $Ax + By + C = 0$:
$1 \cdot (x - 2) = -3 \cdot (y - 3)$
$x - 2 = -3y + 9$
Перенесем все слагаемые в левую часть уравнения:
$x + 3y - 2 - 9 = 0$
$x + 3y - 11 = 0$
Ответ: $x + 3y - 11 = 0$.
б)
Используем ту же формулу для точек $C(-6; 7)$ и $D(4; 3)$. Пусть $x_1 = -6$, $y_1 = 7$, $x_2 = 4$, $y_2 = 3$.
$\frac{x - (-6)}{4 - (-6)} = \frac{y - 7}{3 - 7}$
$\frac{x + 6}{10} = \frac{y - 7}{-4}$
Можно упростить знаменатели, разделив их на 2: $\frac{x + 6}{5} = \frac{y - 7}{-2}$.
Применим перекрестное умножение:
$-2(x + 6) = 5(y - 7)$
$-2x - 12 = 5y - 35$
Перенесем все слагаемые в одну часть:
$-2x - 5y - 12 + 35 = 0$
$-2x - 5y + 23 = 0$
Для удобства умножим уравнение на -1, чтобы коэффициент при $x$ был положительным:
$2x + 5y - 23 = 0$
Ответ: $2x + 5y - 23 = 0$.
в)
Подставим координаты точек $M(-3; -1)$ и $N(2; 5)$ в каноническое уравнение прямой. Пусть $x_1 = -3$, $y_1 = -1$, $x_2 = 2$, $y_2 = 5$.
$\frac{x - (-3)}{2 - (-3)} = \frac{y - (-1)}{5 - (-1)}$
$\frac{x + 3}{5} = \frac{y + 1}{6}$
Применим перекрестное умножение:
$6(x + 3) = 5(y + 1)$
$6x + 18 = 5y + 5$
Перенесем все слагаемые в левую часть:
$6x - 5y + 18 - 5 = 0$
$6x - 5y + 13 = 0$
Ответ: $6x - 5y + 13 = 0$.
г)
Подставим координаты точек $P(6; 2)$ и $Q(-1; -3)$ в каноническое уравнение прямой. Пусть $x_1 = 6$, $y_1 = 2$, $x_2 = -1$, $y_2 = -3$.
$\frac{x - 6}{-1 - 6} = \frac{y - 2}{-3 - 2}$
$\frac{x - 6}{-7} = \frac{y - 2}{-5}$
Применим перекрестное умножение:
$-5(x - 6) = -7(y - 2)$
Умножим обе части на -1:
$5(x - 6) = 7(y - 2)$
$5x - 30 = 7y - 14$
Перенесем все слагаемые в левую часть:
$5x - 7y - 30 + 14 = 0$
$5x - 7y - 16 = 0$
Ответ: $5x - 7y - 16 = 0$.
Другие задания:
Помогло решение? Оставьте отзыв в комментариях ниже.
Присоединяйтесь к Телеграм-группе @top_gdz
ПрисоединитьсяМы подготовили для вас ответ c подробным объяснением домашего задания по алгебре за 7 класс, для упражнения номер 15.13 расположенного на странице 77 для 2-й части к учебнику 2019 года издания для учащихся школ и гимназий.
Теперь на нашем сайте ГДЗ.ТОП вы всегда легко и бесплатно найдёте условие с правильным ответом на вопрос «Как решить ДЗ» и «Как сделать» задание по алгебре к упражнению №15.13 (с. 77), авторов: Мордкович (Александр Григорьевич), Александрова (Лилия Александровна), Мишустина (Татьяна Николаевна), Тульчинская (Елена Ефимовна), 2-й части ФГОС (старый) учебного пособия издательства Мнемозина.
 
                     
                     
                     
                     
                     
                     
                     
                     
                     
                     
                     
                     
                     
                    