Номер 15.15, страница 78, часть 2 - гдз по алгебре 7 класс учебник Мордкович, Александрова
 
                                                Авторы: Мордкович А. Г., Александрова Л. А., Мишустина Т. Н., Тульчинская Е. Е.
Тип: Учебник
Издательство: Мнемозина
Год издания: 2019 - 2025
Часть: 2
Цвет обложки:
ISBN: 978-5-346-04640-0
Допущено Министерством просвещения Российской Федерации
Популярные ГДЗ в 7 классе
Часть 2. Глава 3. Системы двух линейных уравнений с двумя переменными. Параграф 15. Метод алгебраического сложения - номер 15.15, страница 78.
№15.15 (с. 78)
Условие. №15.15 (с. 78)
скриншот условия
 
             
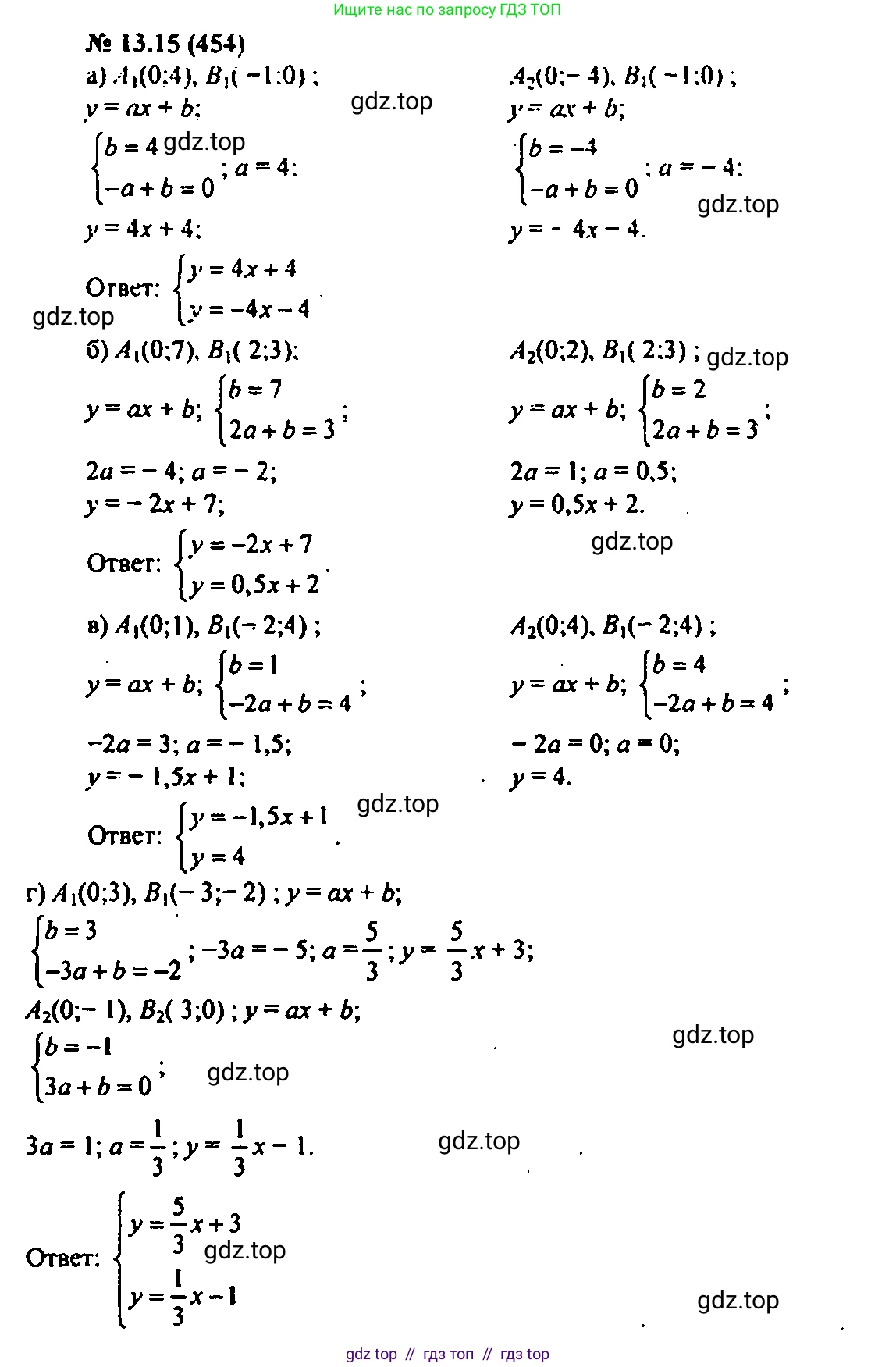
                                15.15 Составьте аналитическую модель системы линейных уравнений, геометрическая иллюстрация которой представлена:
а) на рис. 33;
$\begin{cases} x - y = 0 \\ x + y = 0 \end{cases}$
б) на рис. 34;
$\begin{cases} 2x + y = 7 \\ x - y = -1 \end{cases}$
в) на рис. 35;
$\begin{cases} 3x + 2y = 2 \\ y = 4 \end{cases}$
г) на рис. 36.
$\begin{cases} 5x - 2y = -6 \\ 2x - 5y = 6 \end{cases}$
Решение 1. №15.15 (с. 78)
 
             
             
             
                            Решение 3. №15.15 (с. 78)
 
                            Решение 4. №15.15 (с. 78)
 
                            Решение 5. №15.15 (с. 78)
 
                            Решение 8. №15.15 (с. 78)
а) на рис. 33;
Для составления аналитической модели системы необходимо найти уравнения двух прямых, изображенных на графике. Уравнение прямой имеет вид $y = kx + b$, где $k$ — угловой коэффициент, а $b$ — ордината точки пересечения прямой с осью $y$.
Рассмотрим первую прямую (возрастающую). Для нахождения ее уравнения выберем две точки на графике, через которые она проходит, например, $(-1, 1)$ и $(0, 4)$. Так как прямая пересекает ось $y$ в точке $(0, 4)$, то $b = 4$. Угловой коэффициент $k$ вычислим по формуле $k = \frac{y_2 - y_1}{x_2 - x_1}$:
$k_1 = \frac{4 - 1}{0 - (-1)} = \frac{3}{1} = 3$.
Следовательно, уравнение первой прямой: $y = 3x + 4$.
Рассмотрим вторую прямую (убывающую). Она проходит через точки $(-1, 2)$ и $(0, -1)$. Точка пересечения с осью $y$ — $(0, -1)$, значит $b = -1$. Вычислим угловой коэффициент:
$k_2 = \frac{-1 - 2}{0 - (-1)} = \frac{-3}{1} = -3$.
Следовательно, уравнение второй прямой: $y = -3x - 1$.
Объединим полученные уравнения в систему.
Ответ: $\begin{cases} y = 3x + 4 \\ y = -3x - 1 \end{cases}$
б) на рис. 34;
Найдем уравнения для каждой из двух прямых на рисунке 34.
Первая прямая (с меньшим углом наклона) проходит через точки $(0, 2)$ и $(2, 3)$. Точка пересечения с осью $y$ — $(0, 2)$, поэтому $b = 2$. Вычислим угловой коэффициент:
$k_1 = \frac{3 - 2}{2 - 0} = \frac{1}{2}$.
Уравнение первой прямой: $y = \frac{1}{2}x + 2$.
Вторая прямая (с большим углом наклона) проходит через точки $(0, 7)$ и $(2, 3)$. Точка пересечения с осью $y$ — $(0, 7)$, поэтому $b = 7$. Вычислим угловой коэффициент:
$k_2 = \frac{3 - 7}{2 - 0} = \frac{-4}{2} = -2$.
Уравнение второй прямой: $y = -2x + 7$.
Составим систему из этих двух уравнений.
Ответ: $\begin{cases} y = \frac{1}{2}x + 2 \\ y = -2x + 7 \end{cases}$
в) на рис. 35;
Найдем уравнения для каждой из двух прямых на рисунке 35.
Первая прямая — горизонтальная. Она параллельна оси $x$ и проходит через точку $(0, 4)$. Уравнение такой прямой имеет вид $y = c$, где $c$ — ордината любой точки на прямой. В данном случае, уравнение первой прямой: $y = 4$.
Вторая прямая (убывающая) проходит через точки $(-2, 4)$ и $(0, 1)$. Точка пересечения с осью $y$ — $(0, 1)$, поэтому $b = 1$. Вычислим угловой коэффициент:
$k_2 = \frac{4 - 1}{-2 - 0} = \frac{3}{-2} = -\frac{3}{2}$.
Уравнение второй прямой: $y = -\frac{3}{2}x + 1$.
Составим систему из этих двух уравнений.
Ответ: $\begin{cases} y = 4 \\ y = -\frac{3}{2}x + 1 \end{cases}$
г) на рис. 36;
Найдем уравнения для каждой из двух прямых на рисунке 36.
Первая прямая (с более крутым наклоном) проходит через точки $(-2, -2)$ и $(0, 3)$. Точка пересечения с осью $y$ — $(0, 3)$, поэтому $b = 3$. Вычислим угловой коэффициент:
$k_1 = \frac{3 - (-2)}{0 - (-2)} = \frac{5}{2}$.
Уравнение первой прямой: $y = \frac{5}{2}x + 3$.
Вторая прямая (с более пологим наклоном) проходит через точки $(-2, -2)$ и $(0, -1)$. Точка пересечения с осью $y$ — $(0, -1)$, поэтому $b = -1$. Вычислим угловой коэффициент:
$k_2 = \frac{-1 - (-2)}{0 - (-2)} = \frac{1}{2}$.
Уравнение второй прямой: $y = \frac{1}{2}x - 1$.
Составим систему из этих двух уравнений.
Ответ: $\begin{cases} y = \frac{5}{2}x + 3 \\ y = \frac{1}{2}x - 1 \end{cases}$
Другие задания:
Помогло решение? Оставьте отзыв в комментариях ниже.
Присоединяйтесь к Телеграм-группе @top_gdz
ПрисоединитьсяМы подготовили для вас ответ c подробным объяснением домашего задания по алгебре за 7 класс, для упражнения номер 15.15 расположенного на странице 78 для 2-й части к учебнику 2019 года издания для учащихся школ и гимназий.
Теперь на нашем сайте ГДЗ.ТОП вы всегда легко и бесплатно найдёте условие с правильным ответом на вопрос «Как решить ДЗ» и «Как сделать» задание по алгебре к упражнению №15.15 (с. 78), авторов: Мордкович (Александр Григорьевич), Александрова (Лилия Александровна), Мишустина (Татьяна Николаевна), Тульчинская (Елена Ефимовна), 2-й части ФГОС (старый) учебного пособия издательства Мнемозина.
 
                     
                     
                     
                     
                     
                     
                     
                     
                     
                     
                     
                     
                     
                    