Номер 39.48, страница 173, часть 2 - гдз по алгебре 7 класс учебник Мордкович, Александрова
 
                                                Авторы: Мордкович А. Г., Александрова Л. А., Мишустина Т. Н., Тульчинская Е. Е.
Тип: Учебник
Издательство: Мнемозина
Год издания: 2019 - 2025
Часть: 2
Цвет обложки:
ISBN: 978-5-346-04640-0
Допущено Министерством просвещения Российской Федерации
Популярные ГДЗ в 7 классе
Часть 2. Глава 7. Разложение многочленов на множители. Параграф 39. Разложение многочленов на множители с помощью формул сокращённого умножения - номер 39.48, страница 173.
№39.48 (с. 173)
Условие. №39.48 (с. 173)
скриншот условия
 
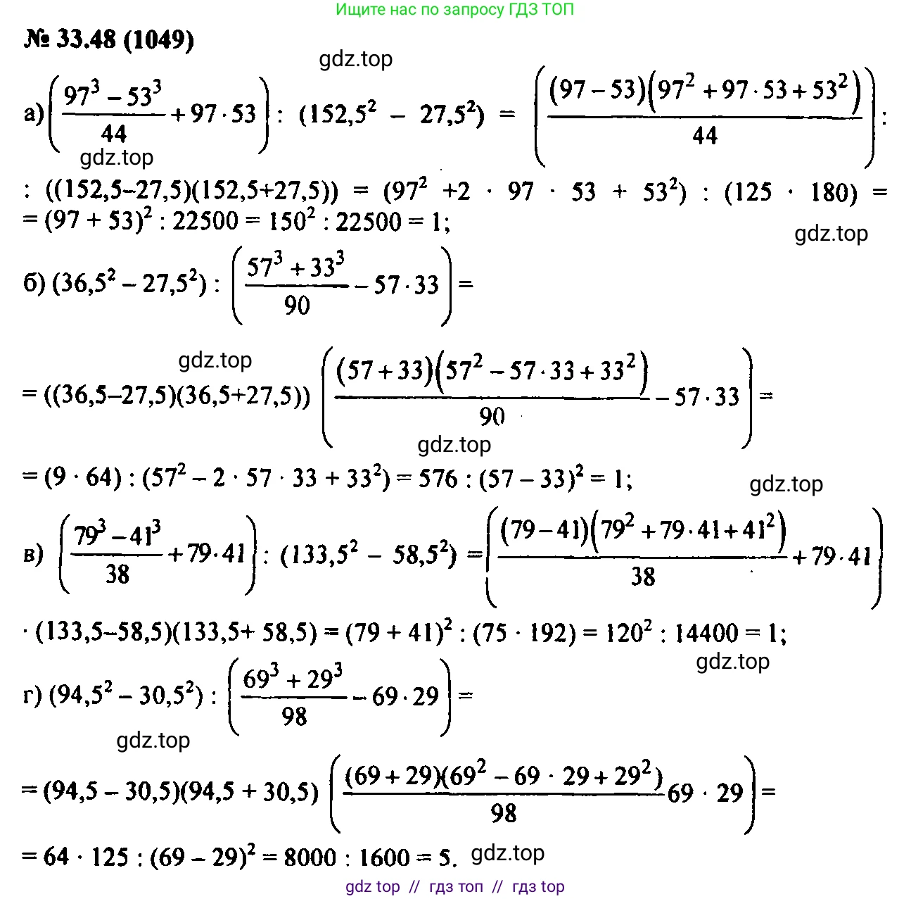
                                39.48 a) $\left(\frac{97^3 - 53^3}{44} + 97 \cdot 53\right) : (152,5^2 - 27,5^2);$
б) $(36,5^2 - 27,5^2) : \left(\frac{57^3 + 33^3}{90} - 57 \cdot 33\right);$
в) $\left(\frac{79^3 - 41^3}{38} + 79 \cdot 41\right) : (133,5^2 - 58,5^2);$
г) $(94,5^2 - 30,5^2) : \left(\frac{69^3 + 29^3}{98} - 69 \cdot 29\right).$
Решение 1. №39.48 (с. 173)
 
             
             
             
                            Решение 3. №39.48 (с. 173)
 
                            Решение 4. №39.48 (с. 173)
 
                            Решение 5. №39.48 (с. 173)
 
                            Решение 8. №39.48 (с. 173)
а) Для решения выражения $(\frac{97^3 - 53^3}{44} + 97 \cdot 53) : (152,5^2 - 27,5^2)$ воспользуемся формулами сокращенного умножения.
Упростим выражение в первых скобках. Применим формулу разности кубов $a^3 - b^3 = (a-b)(a^2 + ab + b^2)$ к числителю дроби: $97^3 - 53^3 = (97-53)(97^2 + 97 \cdot 53 + 53^2) = 44(97^2 + 97 \cdot 53 + 53^2)$.
Тогда вся скобка равна: $\frac{44(97^2 + 97 \cdot 53 + 53^2)}{44} + 97 \cdot 53 = (97^2 + 97 \cdot 53 + 53^2) + 97 \cdot 53 = 97^2 + 2 \cdot 97 \cdot 53 + 53^2$.
Это формула квадрата суммы $(a+b)^2 = a^2 + 2ab + b^2$. Следовательно, выражение равно $(97+53)^2 = 150^2 = 22500$.
Упростим выражение во вторых скобках, используя формулу разности квадратов $a^2 - b^2 = (a-b)(a+b)$:
$152,5^2 - 27,5^2 = (152,5 - 27,5)(152,5 + 27,5) = 125 \cdot 180 = 22500$.
Выполним деление: $22500 : 22500 = 1$.
Ответ: 1
б) Решим выражение $(36,5^2 - 27,5^2) : (\frac{57^3 + 33^3}{90} - 57 \cdot 33)$.
Сначала преобразуем делимое, используя формулу разности квадратов $a^2 - b^2 = (a-b)(a+b)$:
$36,5^2 - 27,5^2 = (36,5 - 27,5)(36,5 + 27,5) = 9 \cdot 64 = 576$.
Теперь преобразуем делитель. Применим формулу суммы кубов $a^3 + b^3 = (a+b)(a^2 - ab + b^2)$ к числителю дроби: $57^3 + 33^3 = (57+33)(57^2 - 57 \cdot 33 + 33^2) = 90(57^2 - 57 \cdot 33 + 33^2)$.
Выражение в скобках равно: $\frac{90(57^2 - 57 \cdot 33 + 33^2)}{90} - 57 \cdot 33 = (57^2 - 57 \cdot 33 + 33^2) - 57 \cdot 33 = 57^2 - 2 \cdot 57 \cdot 33 + 33^2$.
Это формула квадрата разности $(a-b)^2 = a^2 - 2ab + b^2$. Выражение равно $(57-33)^2 = 24^2 = 576$.
Выполним деление: $576 : 576 = 1$.
Ответ: 1
в) Решим выражение $(\frac{79^3 - 41^3}{38} + 79 \cdot 41) : (133,5^2 - 58,5^2)$.
Упростим первую скобку. По формуле разности кубов $a^3 - b^3 = (a-b)(a^2 + ab + b^2)$: $79^3 - 41^3 = (79-41)(79^2 + 79 \cdot 41 + 41^2) = 38(79^2 + 79 \cdot 41 + 41^2)$.
Выражение в скобках равно: $\frac{38(79^2 + 79 \cdot 41 + 41^2)}{38} + 79 \cdot 41 = (79^2 + 79 \cdot 41 + 41^2) + 79 \cdot 41 = 79^2 + 2 \cdot 79 \cdot 41 + 41^2$.
По формуле квадрата суммы $(a+b)^2$: $(79+41)^2 = 120^2 = 14400$.
Упростим вторую скобку по формуле разности квадратов $a^2 - b^2 = (a-b)(a+b)$:
$133,5^2 - 58,5^2 = (133,5 - 58,5)(133,5 + 58,5) = 75 \cdot 192 = 14400$.
Выполним деление: $14400 : 14400 = 1$.
Ответ: 1
г) Решим выражение $(94,5^2 - 30,5^2) : (\frac{69^3 + 29^3}{98} - 69 \cdot 29)$.
Упростим делимое по формуле разности квадратов $a^2 - b^2 = (a-b)(a+b)$:
$94,5^2 - 30,5^2 = (94,5 - 30,5)(94,5 + 30,5) = 64 \cdot 125 = 8000$.
Упростим делитель. По формуле суммы кубов $a^3 + b^3 = (a+b)(a^2 - ab + b^2)$: $69^3 + 29^3 = (69+29)(69^2 - 69 \cdot 29 + 29^2) = 98(69^2 - 69 \cdot 29 + 29^2)$.
Выражение в скобках равно: $\frac{98(69^2 - 69 \cdot 29 + 29^2)}{98} - 69 \cdot 29 = (69^2 - 69 \cdot 29 + 29^2) - 69 \cdot 29 = 69^2 - 2 \cdot 69 \cdot 29 + 29^2$.
По формуле квадрата разности $(a-b)^2$: $(69-29)^2 = 40^2 = 1600$.
Выполним деление: $8000 : 1600 = 5$.
Ответ: 5
Другие задания:
Помогло решение? Оставьте отзыв в комментариях ниже.
Присоединяйтесь к Телеграм-группе @top_gdz
ПрисоединитьсяМы подготовили для вас ответ c подробным объяснением домашего задания по алгебре за 7 класс, для упражнения номер 39.48 расположенного на странице 173 для 2-й части к учебнику 2019 года издания для учащихся школ и гимназий.
Теперь на нашем сайте ГДЗ.ТОП вы всегда легко и бесплатно найдёте условие с правильным ответом на вопрос «Как решить ДЗ» и «Как сделать» задание по алгебре к упражнению №39.48 (с. 173), авторов: Мордкович (Александр Григорьевич), Александрова (Лилия Александровна), Мишустина (Татьяна Николаевна), Тульчинская (Елена Ефимовна), 2-й части ФГОС (старый) учебного пособия издательства Мнемозина.
 
                     
                     
                     
                     
                     
                     
                     
                     
                     
                     
                     
                     
                     
                    