Номер 41.16, страница 179, часть 2 - гдз по алгебре 7 класс учебник Мордкович, Александрова
 
                                                Авторы: Мордкович А. Г., Александрова Л. А., Мишустина Т. Н., Тульчинская Е. Е.
Тип: Учебник
Издательство: Мнемозина
Год издания: 2019 - 2025
Часть: 2
Цвет обложки:
ISBN: 978-5-346-04640-0
Допущено Министерством просвещения Российской Федерации
Популярные ГДЗ в 7 классе
Часть 2. Глава 7. Разложение многочленов на множители. Параграф 41. Сокращение алгебраических дробей - номер 41.16, страница 179.
№41.16 (с. 179)
Условие. №41.16 (с. 179)
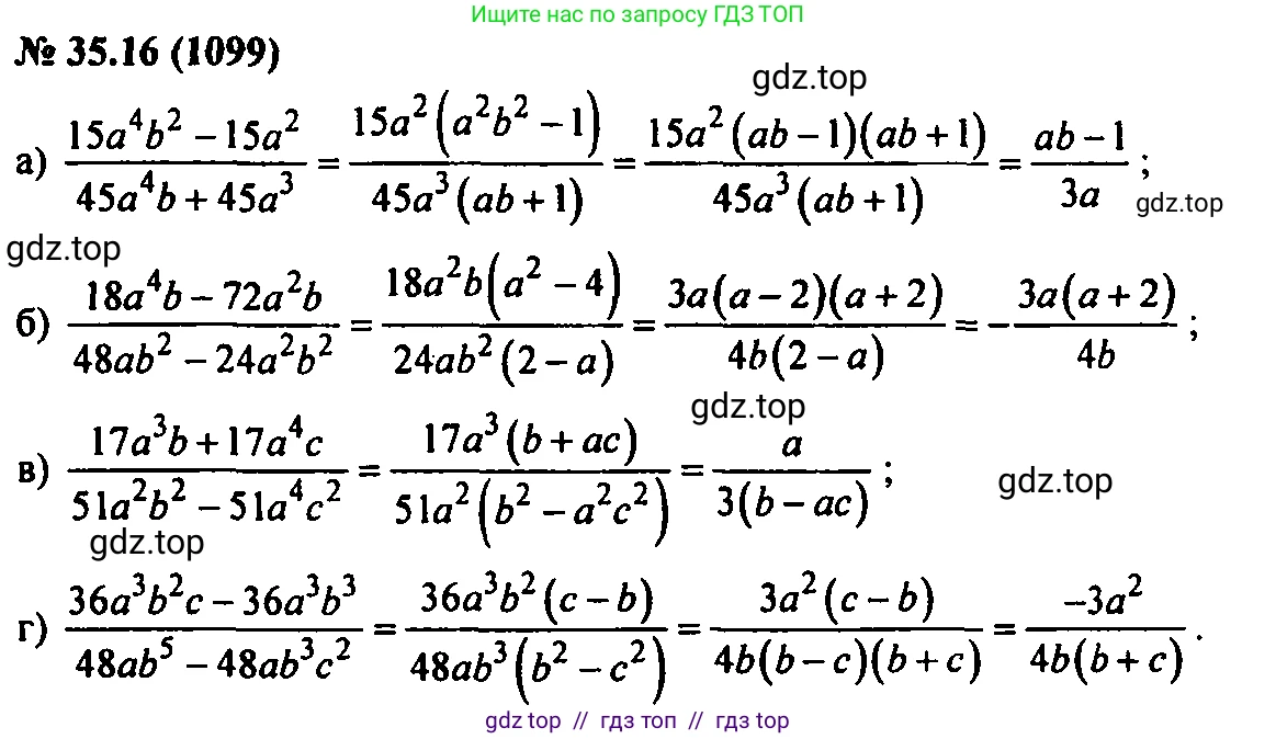
скриншот условия
 
                                41.16 a) $ \frac{15a^4b^2 - 15a^2}{45a^4b + 45a^3} $
B) $ \frac{17a^3b + 17a^4c}{51a^2b^2 - 51a^4c^2} $
б) $ \frac{18a^4b - 72a^2b}{48ab^2 - 24a^2b^2} $
г) $ \frac{36a^3b^2c - 36a^3b^3}{48ab^5 - 48ab^3c^2} $
Решение 1. №41.16 (с. 179)
 
             
             
             
                            Решение 3. №41.16 (с. 179)
 
                            Решение 4. №41.16 (с. 179)
 
                            Решение 5. №41.16 (с. 179)
 
                            Решение 8. №41.16 (с. 179)
а) $\frac{15a^4b^2 - 15a^2}{45a^4b + 45a^3}$
Для упрощения дроби необходимо разложить числитель и знаменатель на множители.
В числителе вынесем общий множитель $15a^2$ за скобки:
$15a^4b^2 - 15a^2 = 15a^2(a^2b^2 - 1)$.
Выражение в скобках $a^2b^2 - 1$ является разностью квадратов, которую можно разложить по формуле $x^2 - y^2 = (x-y)(x+y)$:
$a^2b^2 - 1 = (ab)^2 - 1^2 = (ab-1)(ab+1)$.
Таким образом, числитель равен $15a^2(ab-1)(ab+1)$.
В знаменателе вынесем общий множитель $45a^3$ за скобки:
$45a^4b + 45a^3 = 45a^3(ab+1)$.
Подставим разложенные выражения обратно в дробь:
$\frac{15a^2(ab-1)(ab+1)}{45a^3(ab+1)}$.
Теперь сократим общие множители. Сокращаем числовые коэффициенты $15$ и $45$ на $15$, получаем $\frac{1}{3}$. Сокращаем степени переменной $a$: $\frac{a^2}{a^3} = \frac{1}{a}$. Сокращаем общий множитель в скобках $(ab+1)$.
После сокращения всех общих множителей получаем:
$\frac{1 \cdot (ab-1)}{3 \cdot a} = \frac{ab-1}{3a}$.
Ответ: $\frac{ab-1}{3a}$
б) $\frac{18a^4b - 72a^2b}{48ab^2 - 24a^2b^2}$
Разложим на множители числитель и знаменатель дроби.
В числителе вынесем за скобки общий множитель $18a^2b$:
$18a^4b - 72a^2b = 18a^2b(a^2 - 4)$.
Выражение в скобках $a^2 - 4$ является разностью квадратов: $a^2 - 2^2 = (a-2)(a+2)$.
Итак, числитель равен $18a^2b(a-2)(a+2)$.
В знаменателе вынесем за скобки общий множитель $24ab^2$:
$48ab^2 - 24a^2b^2 = 24ab^2(2 - a)$.
Заметим, что $2 - a = -(a - 2)$. Тогда знаменатель можно записать как $-24ab^2(a-2)$.
Подставим полученные выражения в дробь:
$\frac{18a^2b(a-2)(a+2)}{-24ab^2(a-2)}$.
Сокращаем общие множители: $\frac{18}{-24} = -\frac{3}{4}$, $\frac{a^2}{a}=a$, $\frac{b}{b^2}=\frac{1}{b}$, и $(a-2)$.
В результате получаем:
$-\frac{3 \cdot a \cdot (a+2)}{4 \cdot b} = -\frac{3a(a+2)}{4b}$.
Ответ: $-\frac{3a(a+2)}{4b}$
в) $\frac{17a^3b + 17a^4c}{51a^2b^2 - 51a^4c^2}$
Упростим дробь, разложив ее числитель и знаменатель на множители.
В числителе вынесем общий множитель $17a^3$ за скобки:
$17a^3b + 17a^4c = 17a^3(b + ac)$.
В знаменателе вынесем общий множитель $51a^2$ за скобки:
$51a^2b^2 - 51a^4c^2 = 51a^2(b^2 - a^2c^2)$.
Выражение в скобках является разностью квадратов $b^2 - (ac)^2$, которую можно разложить как $(b-ac)(b+ac)$.
Таким образом, знаменатель равен $51a^2(b-ac)(b+ac)$.
Запишем дробь с разложенными на множители числителем и знаменателем:
$\frac{17a^3(b + ac)}{51a^2(b-ac)(b+ac)}$.
Сократим общие множители: $\frac{17}{51} = \frac{1}{3}$, $\frac{a^3}{a^2}=a$, и $(b+ac)$.
После сокращения получаем:
$\frac{a}{3(b-ac)}$.
Ответ: $\frac{a}{3(b-ac)}$
г) $\frac{36a^3b^2c - 36a^3b^3}{48ab^5 - 48ab^3c^2}$
Для упрощения выражения разложим числитель и знаменатель на множители.
В числителе вынесем общий множитель $36a^3b^2$:
$36a^3b^2c - 36a^3b^3 = 36a^3b^2(c - b)$.
В знаменателе вынесем общий множитель $48ab^3$:
$48ab^5 - 48ab^3c^2 = 48ab^3(b^2 - c^2)$.
Выражение в скобках $b^2 - c^2$ является разностью квадратов и раскладывается как $(b-c)(b+c)$.
Знаменатель равен $48ab^3(b-c)(b+c)$.
Чтобы упростить сокращение, представим множитель в числителе $(c-b)$ как $-(b-c)$.
Дробь примет вид: $\frac{-36a^3b^2(b-c)}{48ab^3(b-c)(b+c)}$.
Сократим общие множители. Коэффициенты: $\frac{-36}{48} = -\frac{3}{4}$. Переменные: $\frac{a^3}{a} = a^2$ и $\frac{b^2}{b^3} = \frac{1}{b}$. Также сокращаем множитель $(b-c)$.
Собирая оставшиеся множители, получаем:
$\frac{-3a^2}{4b(b+c)} = -\frac{3a^2}{4b(b+c)}$.
Ответ: $-\frac{3a^2}{4b(b+c)}$
Другие задания:
Помогло решение? Оставьте отзыв в комментариях ниже.
Присоединяйтесь к Телеграм-группе @top_gdz
ПрисоединитьсяМы подготовили для вас ответ c подробным объяснением домашего задания по алгебре за 7 класс, для упражнения номер 41.16 расположенного на странице 179 для 2-й части к учебнику 2019 года издания для учащихся школ и гимназий.
Теперь на нашем сайте ГДЗ.ТОП вы всегда легко и бесплатно найдёте условие с правильным ответом на вопрос «Как решить ДЗ» и «Как сделать» задание по алгебре к упражнению №41.16 (с. 179), авторов: Мордкович (Александр Григорьевич), Александрова (Лилия Александровна), Мишустина (Татьяна Николаевна), Тульчинская (Елена Ефимовна), 2-й части ФГОС (старый) учебного пособия издательства Мнемозина.
 
                     
                     
                     
                     
                     
                     
                     
                     
                     
                     
                     
                     
                     
                    