Номер 1183, страница 301 - гдз по геометрии 7-9 класс учебник Атанасян, Бутузов

Авторы: Атанасян Л. С., Бутузов В. Ф., Кадомцев С. Б., Позняк Э. Г., Юдина И. И.
Тип: Учебник
Издательство: Просвещение
Год издания: 2023 - 2025
Уровень обучения: базовый
Цвет обложки: синий
ISBN: 978-5-09-102538-5 (2023), 978-5-09-111167-5 (2024)
Допущено Министерством просвещения Российской Федерации
Популярные ГДЗ в 7 классе
§ 1. Правильные многоугольники. 117. Построение правильных многоугольников. Глава 13. Длина окружности и площадь круга - номер 1183, страница 301.
№1183 (с. 301)
Условие. №1183 (с. 301)
скриншот условия

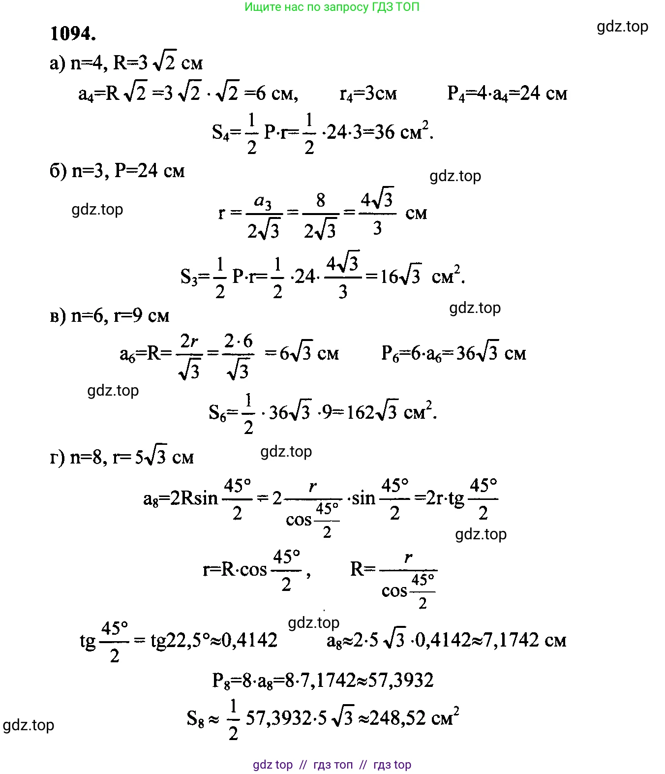
1183 Найдите площадь S правильного n-угольника, если: а) n = 4, R = 32 см; б) n = 3, Р = 24 см; в) n = 6, r = 9 см; г) n = 8, r = 53 см.
Решение 2. №1183 (с. 301)




Решение 3. №1183 (с. 301)


Решение 4. №1183 (с. 301)

Решение 7. №1183 (с. 301)

Решение 9. №1183 (с. 301)

Решение 11. №1183 (с. 301)
а)
Дан правильный четырехугольник (квадрат), у которого число сторон $n=4$, а радиус описанной окружности $R = 3\sqrt{2}$ см.
Для нахождения площади $S$ правильного n-угольника можно воспользоваться формулой, выражающей площадь через радиус описанной окружности $R$:
$S = \frac{1}{2} n R^2 \sin\left(\frac{360^\circ}{n}\right)$
Подставим в эту формулу известные значения $n=4$ и $R=3\sqrt{2}$:
$S = \frac{1}{2} \cdot 4 \cdot (3\sqrt{2})^2 \cdot \sin\left(\frac{360^\circ}{4}\right)$
Проведем вычисления:
$S = 2 \cdot (9 \cdot 2) \cdot \sin(90^\circ) = 2 \cdot 18 \cdot 1 = 36$ см$^2$.
Ответ: $36$ см$^2$.
б)
Дан правильный треугольник, у которого число сторон $n=3$, а периметр $P=24$ см.
В первую очередь найдем длину стороны треугольника $a_3$. Для этого разделим периметр на число сторон:
$a_3 = \frac{P}{n} = \frac{24}{3} = 8$ см.
Площадь правильного треугольника (равностороннего) со стороной $a$ вычисляется по известной формуле:
$S = \frac{a^2 \sqrt{3}}{4}$
Подставим в формулу найденное значение стороны $a_3 = 8$ см:
$S = \frac{8^2 \sqrt{3}}{4} = \frac{64\sqrt{3}}{4} = 16\sqrt{3}$ см$^2$.
Ответ: $16\sqrt{3}$ см$^2$.
в)
Дан правильный шестиугольник, у которого число сторон $n=6$, а радиус вписанной окружности $r=9$ см.
Площадь $S$ правильного n-угольника можно вычислить по формуле через радиус вписанной окружности $r$:
$S = n r^2 \tan\left(\frac{180^\circ}{n}\right)$
Подставим в формулу заданные значения $n=6$ и $r=9$:
$S = 6 \cdot 9^2 \cdot \tan\left(\frac{180^\circ}{6}\right) = 6 \cdot 81 \cdot \tan(30^\circ)$
Мы знаем, что $\tan(30^\circ) = \frac{\sqrt{3}}{3}$ или $\frac{1}{\sqrt{3}}$. Используем это значение:
$S = 486 \cdot \frac{1}{\sqrt{3}} = \frac{486}{\sqrt{3}} = \frac{486\sqrt{3}}{3} = 162\sqrt{3}$ см$^2$.
Ответ: $162\sqrt{3}$ см$^2$.
г)
Дан правильный восьмиугольник, у которого число сторон $n=8$, а радиус вписанной окружности $r=5\sqrt{3}$ см.
Воспользуемся той же формулой, что и в предыдущем пункте:
$S = n r^2 \tan\left(\frac{180^\circ}{n}\right)$
Подставим значения $n=8$ и $r=5\sqrt{3}$:
$S = 8 \cdot (5\sqrt{3})^2 \cdot \tan\left(\frac{180^\circ}{8}\right) = 8 \cdot (25 \cdot 3) \cdot \tan(22.5^\circ) = 8 \cdot 75 \cdot \tan(22.5^\circ) = 600 \tan(22.5^\circ)$
Чтобы продолжить, найдем значение $\tan(22.5^\circ)$. Для этого можно использовать формулу тангенса половинного угла: $\tan\left(\frac{\alpha}{2}\right) = \frac{1-\cos\alpha}{\sin\alpha}$. Положим $\alpha = 45^\circ$:
$\tan(22.5^\circ) = \tan\left(\frac{45^\circ}{2}\right) = \frac{1-\cos(45^\circ)}{\sin(45^\circ)} = \frac{1-\frac{\sqrt{2}}{2}}{\frac{\sqrt{2}}{2}} = \frac{\frac{2-\sqrt{2}}{2}}{\frac{\sqrt{2}}{2}} = \frac{2-\sqrt{2}}{\sqrt{2}} = \frac{2\sqrt{2}-2}{2} = \sqrt{2}-1$.
Теперь подставим полученное значение тангенса в выражение для площади:
$S = 600(\sqrt{2}-1)$ см$^2$.
Ответ: $600(\sqrt{2}-1)$ см$^2$.
Другие задания:
Помогло решение? Оставьте отзыв в комментариях ниже.
Мы подготовили для вас ответ c подробным объяснением домашего задания по геометрии за 7-9 класс, для упражнения номер 1183 расположенного на странице 301 к учебнику 2023 года издания для учащихся школ и гимназий.
Теперь на нашем сайте ГДЗ.ТОП вы всегда легко и бесплатно найдёте условие с правильным ответом на вопрос «Как решить ДЗ» и «Как сделать» задание по геометрии к упражнению №1183 (с. 301), авторов: Атанасян (Левон Сергеевич), Бутузов (Валентин Фёдорович), Кадомцев (Сергей Борисович), Позняк (Эдуард Генрихович), Юдина (Ирина Игоревна), ФГОС (новый, красный) базовый уровень обучения учебного пособия издательства Просвещение.