Страница 300 - гдз по геометрии 7-9 класс учебник Атанасян, Бутузов

Авторы: Атанасян Л. С., Бутузов В. Ф., Кадомцев С. Б., Позняк Э. Г., Юдина И. И.
Тип: Учебник
Издательство: Просвещение
Год издания: 2023 - 2025
Уровень обучения: базовый
Цвет обложки: синий
ISBN: 978-5-09-102538-5 (2023), 978-5-09-111167-5 (2024)
Допущено Министерством просвещения Российской Федерации
Популярные ГДЗ в 7 классе
Cтраница 300

№1167 (с. 300)
Условие. №1167 (с. 300)
скриншот условия

1167 Верно ли утверждение: а) любой правильный многоугольник является выпуклым; б) любой выпуклый многоугольник является правильным? Ответ обоснуйте.
Решение 2. №1167 (с. 300)


Решение 3. №1167 (с. 300)

Решение 4. №1167 (с. 300)

Решение 6. №1167 (с. 300)

Решение 7. №1167 (с. 300)

Решение 9. №1167 (с. 300)

Решение 11. №1167 (с. 300)
а) Утверждение верно. По определению, правильный многоугольник — это многоугольник, у которого все стороны и все внутренние углы равны. Выпуклый многоугольник — это многоугольник, у которого все внутренние углы меньше $180^\circ$ (или, что эквивалентно, он лежит по одну сторону от любой прямой, проходящей через его сторону).
Сумма внутренних углов любого простого n-угольника составляет $(n-2) \cdot 180^\circ$. В правильном n-угольнике все $n$ углов равны между собой. Следовательно, величина каждого внутреннего угла $\alpha$ может быть найдена по формуле: $ \alpha = \frac{(n-2) \cdot 180^\circ}{n} $
Преобразуем это выражение: $ \alpha = \frac{n \cdot 180^\circ - 2 \cdot 180^\circ}{n} = 180^\circ - \frac{360^\circ}{n} $
Поскольку многоугольник существует при $n \ge 3$, то $\frac{360^\circ}{n}$ всегда является положительной величиной. Таким образом, угол $\alpha$ всегда будет строго меньше $180^\circ$. Так как все внутренние углы правильного многоугольника меньше $180^\circ$, то по определению он является выпуклым.
Ответ: да, утверждение верно.
б) Утверждение неверно. Выпуклый многоугольник — это многоугольник, у которого все углы меньше $180^\circ$. Правильный многоугольник — это выпуклый многоугольник, у которого все стороны равны и все углы равны. Таким образом, "правильность" является более строгим свойством, чем "выпуклость". Не всякий выпуклый многоугольник будет правильным.
Для опровержения утверждения достаточно привести один контрпример.
Рассмотрим прямоугольник, который не является квадратом (например, со сторонами 3 и 5). Все его внутренние углы равны $90^\circ$, что меньше $180^\circ$, следовательно, он является выпуклым. Однако его стороны не равны между собой, поэтому он не является правильным.
Другой контрпример — ромб, не являющийся квадратом. У него все стороны равны, но углы попарно различны (например, $60^\circ$ и $120^\circ$). Он выпуклый, но не равноугольный, а значит, не правильный.
Ответ: нет, утверждение неверно.
№1168 (с. 300)
Условие. №1168 (с. 300)
скриншот условия

1168 Какие из следующих утверждений верны: а) многоугольник является правильным, если он выпуклый и все его стороны равны; б) треугольник является правильным, если все его углы равны; в) любой равносторонний треугольник является правильным; г) любой четырёхугольник с равными сторонами является правильным? Ответ обоснуйте.
Решение 2. №1168 (с. 300)




Решение 3. №1168 (с. 300)

Решение 4. №1168 (с. 300)

Решение 6. №1168 (с. 300)

Решение 7. №1168 (с. 300)

Решение 9. №1168 (с. 300)


Решение 11. №1168 (с. 300)
Для того чтобы определить, какие из утверждений верны, необходимо вспомнить определение правильного многоугольника. Правильным называется выпуклый многоугольник, у которого все стороны равны и все углы равны. Рассмотрим каждое утверждение по отдельности.
а) многоугольник является правильным, если он выпуклый и все его стороны равны;
Это утверждение неверно. Для того чтобы многоугольник был правильным, необходимо, чтобы были равны не только его стороны, но и углы. Например, ромб (не являющийся квадратом) — это выпуклый четырёхугольник, у которого все стороны равны, но углы, как правило, не равны. Следовательно, ромб не является правильным многоугольником.
Ответ: неверно.
б) треугольник является правильным, если все его углы равны;
Это утверждение верно. Если у треугольника все углы равны, то он является равноугольным. Сумма углов треугольника составляет $180^\circ$. Если все три угла равны, то каждый из них равен $180^\circ / 3 = 60^\circ$. В треугольнике против равных углов лежат равные стороны. Следовательно, если все углы треугольника равны, то и все его стороны равны. Такой треугольник является равносторонним и равноугольным, а значит — правильным.
Ответ: верно.
в) любой равносторонний треугольник является правильным;
Это утверждение верно. Если у треугольника все стороны равны (он равносторонний), то и все его углы также равны (каждый по $60^\circ$). Поскольку у равностороннего треугольника равны все стороны и все углы, он по определению является правильным.
Ответ: верно.
г) любой четырёхугольник с равными сторонами является правильным?
Это утверждение неверно. Четырёхугольник с равными сторонами — это ромб. У ромба равны только противолежащие углы, но не обязательно все четыре. Для того чтобы четырёхугольник был правильным, необходимо, чтобы все его углы были равны (по $90^\circ$). Единственным четырёхугольником с равными сторонами и равными углами является квадрат. Ромб, не являющийся квадратом, не будет правильным.
Ответ: неверно.
№1169 (с. 300)
Условие. №1169 (с. 300)
скриншот условия

1169 Докажите, что любой правильный четырёхугольник является квадратом.
Решение 2. №1169 (с. 300)

Решение 3. №1169 (с. 300)

Решение 4. №1169 (с. 300)

Решение 6. №1169 (с. 300)

Решение 7. №1169 (с. 300)

Решение 9. №1169 (с. 300)

Решение 11. №1169 (с. 300)
По определению, правильный многоугольник — это выпуклый многоугольник, у которого все стороны равны и все углы равны.
Рассмотрим произвольный правильный четырёхугольник. Исходя из определения, мы можем утверждать два факта:
1. Все четыре стороны этого четырёхугольника равны между собой.
2. Все четыре внутренних угла этого четырёхугольника равны между собой.
Сумма внутренних углов любого выпуклого четырёхугольника составляет $360^\circ$. Поскольку в правильном четырёхугольнике все четыре угла равны, то величина каждого угла $\alpha$ равна:
$\alpha = \frac{360^\circ}{4} = 90^\circ$
Таким образом, мы установили, что у правильного четырёхугольника все стороны равны и все углы являются прямыми (равны $90^\circ$).
Теперь вспомним определение квадрата. Квадрат — это четырёхугольник, у которого все стороны равны и все углы прямые.
Сравнивая свойства правильного четырёхугольника со свойствами квадрата, мы видим, что они полностью совпадают. Следовательно, любой правильный четырёхугольник является квадратом.
Ответ: Утверждение доказано.
№1170 (с. 300)
Условие. №1170 (с. 300)
скриншот условия

1170 Найдите углы правильного n-угольника, если: а) n = 3; б) n = 5; в) n = 6; г) n = 10; д) n = 18.
Решение 2. №1170 (с. 300)





Решение 3. №1170 (с. 300)

Решение 4. №1170 (с. 300)

Решение 6. №1170 (с. 300)

Решение 7. №1170 (с. 300)

Решение 9. №1170 (с. 300)

Решение 11. №1170 (с. 300)
Для нахождения величины внутреннего угла $\alpha$ правильного n-угольника используется формула, которая выводится из формулы суммы углов многоугольника. Сумма всех внутренних углов выпуклого n-угольника составляет $S_n = (n-2) \cdot 180^\circ$. Так как в правильном многоугольнике все $n$ углов равны, для нахождения одного угла нужно разделить общую сумму на их количество:
$\alpha = \frac{(n-2) \cdot 180^\circ}{n}$
Применим эту формулу для каждого из заданных случаев.
а) n = 3
Для правильного треугольника (равностороннего) подставляем $n = 3$ в формулу:
$\alpha = \frac{(3-2) \cdot 180^\circ}{3} = \frac{1 \cdot 180^\circ}{3} = 60^\circ$
Ответ: $60^\circ$
б) n = 5
Для правильного пятиугольника подставляем $n = 5$ в формулу:
$\alpha = \frac{(5-2) \cdot 180^\circ}{5} = \frac{3 \cdot 180^\circ}{5} = 3 \cdot 36^\circ = 108^\circ$
Ответ: $108^\circ$
в) n = 6
Для правильного шестиугольника подставляем $n = 6$ в формулу:
$\alpha = \frac{(6-2) \cdot 180^\circ}{6} = \frac{4 \cdot 180^\circ}{6} = 4 \cdot 30^\circ = 120^\circ$
Ответ: $120^\circ$
г) n = 10
Для правильного десятиугольника подставляем $n = 10$ в формулу:
$\alpha = \frac{(10-2) \cdot 180^\circ}{10} = \frac{8 \cdot 180^\circ}{10} = 8 \cdot 18^\circ = 144^\circ$
Ответ: $144^\circ$
д) n = 18
Для правильного восемнадцатиугольника подставляем $n = 18$ в формулу:
$\alpha = \frac{(18-2) \cdot 180^\circ}{18} = \frac{16 \cdot 180^\circ}{18} = 16 \cdot 10^\circ = 160^\circ$
Ответ: $160^\circ$
№1171 (с. 300)
Условие. №1171 (с. 300)
скриншот условия

1171 Чему равна сумма внешних углов правильного n-угольника, если при каждой вершине взято по одному внешнему углу?
Решение 2. №1171 (с. 300)

Решение 3. №1171 (с. 300)

Решение 4. №1171 (с. 300)

Решение 7. №1171 (с. 300)

Решение 9. №1171 (с. 300)

Решение 11. №1171 (с. 300)
Сумма внешних углов любого выпуклого многоугольника, взятых по одному при каждой вершине, является постоянной величиной. Докажем это для правильного $n$-угольника.
Внешний угол многоугольника при данной вершине — это угол, смежный с внутренним углом при этой вершине. Сумма внутреннего и внешнего углов при одной вершине всегда равна $180^\circ$.
Способ 1: Через сумму внутренних углов
Сумма всех внутренних углов правильного $n$-угольника вычисляется по формуле:$S_{внутр} = (n - 2) \cdot 180^\circ$
Если мы просуммируем все внутренние и все внешние углы (взятые по одному при каждой из $n$ вершин), мы получим $n$ пар углов, каждая из которых равна $180^\circ$. Таким образом, общая сумма всех углов равна $n \cdot 180^\circ$.
Сумма внешних углов $S_{внешн}$ будет равна разности между общей суммой и суммой внутренних углов:
$S_{внешн} = n \cdot 180^\circ - S_{внутр}$
Подставим формулу для суммы внутренних углов:
$S_{внешн} = n \cdot 180^\circ - (n - 2) \cdot 180^\circ$
Вынесем $180^\circ$ за скобки:
$S_{внешн} = (n - (n - 2)) \cdot 180^\circ$
$S_{внешн} = (n - n + 2) \cdot 180^\circ$
$S_{внешн} = 2 \cdot 180^\circ = 360^\circ$
Способ 2: Через величину одного внешнего угла
Так как $n$-угольник правильный, все его внутренние углы равны, и все его внешние углы также равны между собой. Найдем величину одного внешнего угла.
Величина одного внутреннего угла $\alpha$ правильного $n$-угольника равна:
$\alpha = \frac{(n-2) \cdot 180^\circ}{n}$
Тогда величина смежного с ним внешнего угла $\beta$ равна:
$\beta = 180^\circ - \alpha = 180^\circ - \frac{(n-2) \cdot 180^\circ}{n}$
Приведем к общему знаменателю:
$\beta = \frac{180^\circ \cdot n - (n-2) \cdot 180^\circ}{n} = \frac{180^\circ \cdot (n - (n-2))}{n} = \frac{180^\circ \cdot 2}{n} = \frac{360^\circ}{n}$
Поскольку у правильного $n$-угольника $n$ вершин, и при каждой вершине мы берем по одному внешнему углу, то общая сумма внешних углов $S_{внешн}$ равна:
$S_{внешн} = n \cdot \beta = n \cdot \frac{360^\circ}{n} = 360^\circ$
Оба способа показывают, что сумма внешних углов правильного $n$-угольника, взятых по одному при каждой вершине, не зависит от числа сторон $n$ и всегда равна $360^\circ$.
Ответ: $360^\circ$.
№1172 (с. 300)
Условие. №1172 (с. 300)
скриншот условия

1172 Сколько сторон имеет правильный многоугольник, если каждый его угол равен: а) 60°; б) 90°; в) 135°; г) 150°?
Решение 2. №1172 (с. 300)




Решение 3. №1172 (с. 300)

Решение 4. №1172 (с. 300)

Решение 7. №1172 (с. 300)

Решение 9. №1172 (с. 300)

Решение 11. №1172 (с. 300)
Для определения количества сторон $n$ правильного многоугольника, зная величину его внутреннего угла $?$, можно использовать одну из двух связанных формул.
1. Формула для внутреннего угла правильного n-угольника:$? = \frac{(n-2) \cdot 180^\circ}{n}$
2. Формула через внешний угол. Внешний угол $?$ правильного многоугольника равен $? = 180^\circ - ?$. Сумма всех внешних углов любого выпуклого многоугольника равна $360^\circ$. Так как у правильного n-угольника все $n$ внешних углов равны, то $n \cdot ? = 360^\circ$.
Из второго подхода легче выразить количество сторон $n$:$n = \frac{360^\circ}{?} = \frac{360^\circ}{180^\circ - ?}$
Воспользуемся этой формулой для решения задачи для каждого из заданных углов.
а) Если каждый угол равен $60^\circ$, то $? = 60^\circ$.
Количество сторон $n$ равно:$n = \frac{360^\circ}{180^\circ - 60^\circ} = \frac{360^\circ}{120^\circ} = 3$
Ответ: 3 стороны.
б) Если каждый угол равен $90^\circ$, то $? = 90^\circ$.
Количество сторон $n$ равно:$n = \frac{360^\circ}{180^\circ - 90^\circ} = \frac{360^\circ}{90^\circ} = 4$
Ответ: 4 стороны.
в) Если каждый угол равен $135^\circ$, то $? = 135^\circ$.
Количество сторон $n$ равно:$n = \frac{360^\circ}{180^\circ - 135^\circ} = \frac{360^\circ}{45^\circ} = 8$
Ответ: 8 сторон.
г) Если каждый угол равен $150^\circ$, то $? = 150^\circ$.
Количество сторон $n$ равно:$n = \frac{360^\circ}{180^\circ - 150^\circ} = \frac{360^\circ}{30^\circ} = 12$
Ответ: 12 сторон.
№1173 (с. 300)
Условие. №1173 (с. 300)
скриншот условия

1173 Сколько сторон имеет правильный вписанный многоугольник, если дуга описанной окружности, которую стягивает его сторона, равна: а) 60°; б) 30°; в) 90°; г) 36°; д) 18°; е) 72°?
Решение 2. №1173 (с. 300)






Решение 3. №1173 (с. 300)

Решение 4. №1173 (с. 300)

Решение 6. №1173 (с. 300)

Решение 7. №1173 (с. 300)

Решение 9. №1173 (с. 300)

Решение 11. №1173 (с. 300)
Пусть $n$ — искомое количество сторон правильного вписанного многоугольника, а $\alpha$ — градусная мера дуги описанной окружности, которую стягивает одна его сторона.
Так как многоугольник является правильным, все его $n$ сторон равны. Следовательно, они стягивают $n$ равных дуг на описанной окружности. Сумма градусных мер этих дуг составляет полную окружность, то есть $360^\circ$. Это можно выразить формулой:
$n \cdot \alpha = 360^\circ$
Чтобы найти количество сторон $n$, нужно разделить $360^\circ$ на градусную меру дуги $\alpha$:
$n = \frac{360^\circ}{\alpha}$
Применим эту формулу для каждого случая.
а) При $\alpha = 60^\circ$ количество сторон составляет:
$n = \frac{360^\circ}{60^\circ} = 6$
Ответ: 6.
б) При $\alpha = 30^\circ$ количество сторон составляет:
$n = \frac{360^\circ}{30^\circ} = 12$
Ответ: 12.
в) При $\alpha = 90^\circ$ количество сторон составляет:
$n = \frac{360^\circ}{90^\circ} = 4$
Ответ: 4.
г) При $\alpha = 36^\circ$ количество сторон составляет:
$n = \frac{360^\circ}{36^\circ} = 10$
Ответ: 10.
д) При $\alpha = 18^\circ$ количество сторон составляет:
$n = \frac{360^\circ}{18^\circ} = 20$
Ответ: 20.
е) При $\alpha = 72^\circ$ количество сторон составляет:
$n = \frac{360^\circ}{72^\circ} = 5$
Ответ: 5.
№1174 (с. 300)
Условие. №1174 (с. 300)
скриншот условия

1174 Докажите, что серединные перпендикуляры к любым двум сторонам правильного многоугольника либо пересекаются, либо совпадают.
Решение 2. №1174 (с. 300)

Решение 3. №1174 (с. 300)

Решение 4. №1174 (с. 300)

Решение 7. №1174 (с. 300)

Решение 9. №1174 (с. 300)

Решение 11. №1174 (с. 300)
Рассмотрим правильный $n$-угольник. По определению, у правильного многоугольника все стороны равны и все углы равны. Важным свойством любого правильного многоугольника является наличие центра — точки $O$, которая является центром как вписанной, так и описанной окружности. Это означает, что точка $O$ равноудалена от всех вершин и от всех сторон многоугольника.
Возьмем любую сторону многоугольника, например, сторону $AB$. Соединим её концы с центром $O$, получив треугольник $\triangle OAB$. Так как $O$ — центр описанной окружности, то отрезки $OA$ и $OB$ являются её радиусами, следовательно, $OA = OB$. Это означает, что треугольник $\triangle OAB$ является равнобедренным.
Серединный перпендикуляр к стороне $AB$ — это прямая, которая проходит через середину отрезка $AB$ и перпендикулярна ему. В равнобедренном треугольнике $\triangle OAB$ медиана, проведенная из вершины $O$ к основанию $AB$, является также высотой и биссектрисой. Эта линия по определению и есть серединный перпендикуляр к стороне $AB$. Таким образом, серединный перпендикуляр к любой стороне правильного многоугольника обязательно проходит через его центр $O$.
Теперь рассмотрим два произвольных серединных перпендикуляра, $l_1$ и $l_2$, к двум произвольным сторонам, $S_1$ и $S_2$, нашего многоугольника. Как мы только что доказали, обе прямые $l_1$ и $l_2$ проходят через одну и ту же точку — центр многоугольника $O$.
Две прямые на плоскости, имеющие общую точку, могут находиться в двух соотношениях:
- Они пересекаются в этой единственной общей точке.
- Они совпадают, то есть являются одной и той же прямой.
Рассмотрим эти два случая для наших серединных перпендикуляров:
- Если стороны $S_1$ и $S_2$ не параллельны, то их серединные перпендикуляры $l_1$ и $l_2$ также не будут параллельны. Поскольку они имеют общую точку $O$, они пересекаются в этой точке.
- Если стороны $S_1$ и $S_2$ параллельны (что возможно для правильных многоугольников с четным числом сторон), то прямая, перпендикулярная одной из них, будет перпендикулярна и второй. Так как $l_1 \perp S_1$ и $S_1 \parallel S_2$, то $l_1 \perp S_2$. Таким образом, обе прямые $l_1$ и $l_2$ проходят через точку $O$ и перпендикулярны одной и той же прямой (например, $S_2$). На плоскости через данную точку можно провести только одну прямую, перпендикулярную данной прямой. Следовательно, прямые $l_1$ и $l_2$ должны совпадать.
Таким образом, серединные перпендикуляры к любым двум сторонам правильного многоугольника либо пересекаются в его центре, либо совпадают. Что и требовалось доказать.
Ответ: Утверждение доказано. Все серединные перпендикуляры к сторонам правильного многоугольника проходят через его центр. Если стороны не параллельны, их серединные перпендикуляры пересекаются в центре. Если стороны параллельны, их серединные перпендикуляры совпадают.
№1175 (с. 300)
Условие. №1175 (с. 300)
скриншот условия

1175 Докажите, что прямые, содержащие биссектрисы любых двух углов правильного многоугольника, либо пересекаются, либо совпадают.
Решение 2. №1175 (с. 300)

Решение 3. №1175 (с. 300)

Решение 4. №1175 (с. 300)

Решение 7. №1175 (с. 300)

Решение 9. №1175 (с. 300)

Решение 11. №1175 (с. 300)
Рассмотрим правильный $n$-угольник $A_1A_2...A_n$ с центром в точке $O$. Центр правильного многоугольника является центром его описанной окружности, поэтому он равноудален от всех вершин: $OA_1 = OA_2 = ... = OA_n$.
Сначала докажем, что биссектриса любого внутреннего угла правильного многоугольника проходит через его центр $O$.
Возьмем произвольную вершину, например $A_k$, и соответствующий ей угол $\angle A_{k-1}A_kA_{k+1}$. Рассмотрим два треугольника: $\triangle OA_{k-1}A_k$ и $\triangle OA_kA_{k+1}$.В этих треугольниках:
1. Стороны $OA_{k-1}$ и $OA_k$ в $\triangle OA_{k-1}A_k$ равны сторонам $OA_k$ и $OA_{k+1}$ в $\triangle OA_kA_{k+1}$, так как все они являются радиусами описанной окружности.
2. Сторона $A_{k-1}A_k$ равна стороне $A_kA_{k+1}$, так как все стороны правильного многоугольника равны.
Следовательно, треугольники $\triangle OA_{k-1}A_k$ и $\triangle OA_kA_{k+1}$ равны по третьему признаку равенства треугольников (по трем сторонам).Из равенства треугольников следует равенство их соответствующих углов, а именно $\angle OA_kA_{k-1} = \angle OA_kA_{k+1}$.Это равенство означает, что луч $OA_k$ делит угол $\angle A_{k-1}A_kA_{k+1}$ пополам, то есть является его биссектрисой.
Поскольку вершина $A_k$ была выбрана произвольно, мы можем заключить, что любая прямая, содержащая биссектрису угла правильного многоугольника, проходит через его центр $O$.
Теперь рассмотрим две любые прямые, содержащие биссектрисы двух углов данного многоугольника. Так как мы доказали, что каждая из этих прямых проходит через центр многоугольника $O$, то обе прямые имеют как минимум одну общую точку.
На плоскости две прямые, имеющие общую точку, могут либо пересекаться в этой точке (если они различны), либо совпадать (если они неразличимы). Вариант, когда прямые параллельны и не пересекаются, исключен.
Таким образом, прямые, содержащие биссектрисы любых двух углов правильного многоугольника, либо пересекаются (в центре многоугольника $O$), либо совпадают. Совпадение происходит в случае, когда биссектрисы проведены из диаметрально противоположных вершин (это возможно для многоугольников с четным числом сторон).
Что и требовалось доказать.
Ответ:
Поскольку все биссектрисы углов правильного многоугольника проходят через его центр, то любые две прямые, содержащие эти биссектрисы, имеют общую точку — центр многоугольника. Две прямые на плоскости, имеющие общую точку, либо пересекаются, либо совпадают. Следовательно, и прямые, содержащие биссектрисы, либо пересекаются, либо совпадают.
№1176 (с. 300)
Условие. №1176 (с. 300)
скриншот условия


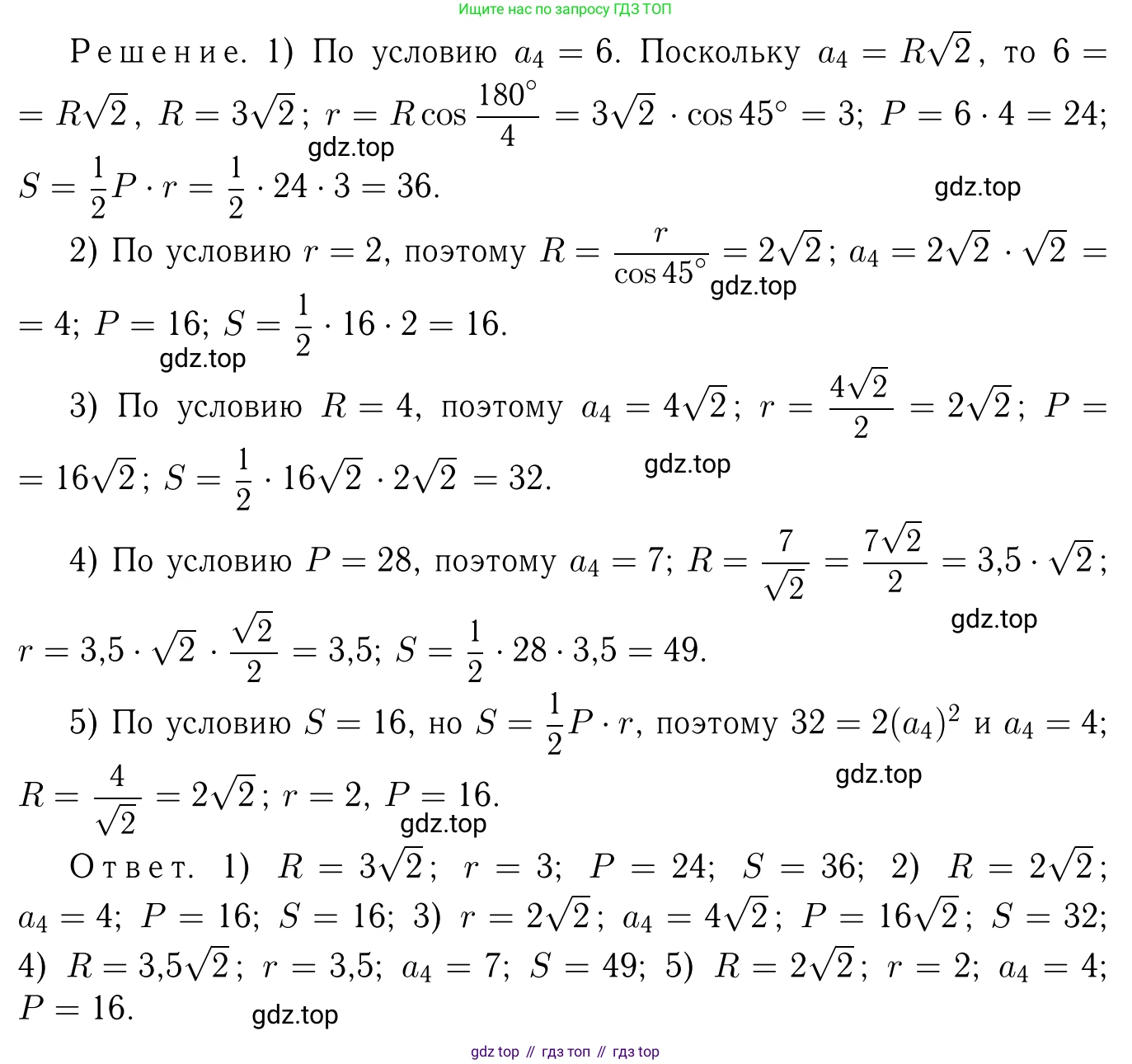
1176 На рисунке 347, а изображён квадрат, вписанный в окружность радиуса R. Перечертите таблицу в тетрадь и заполните пустые клетки (а₄ — сторона квадрата, Р — периметр квадрата, S — его площадь, r — радиус вписанной окружности).

N | R | r | a₄ | P | S |
1 | 6 | ||||
2 | 2 | ||||
3 | 4 | ||||
4 | 28 | ||||
5 | 16 |
Решение 2. №1176 (с. 300)

Решение 3. №1176 (с. 300)

Решение 4. №1176 (с. 300)

Решение 6. №1176 (с. 300)

Решение 7. №1176 (с. 300)

Решение 9. №1176 (с. 300)

Решение 11. №1176 (с. 300)
В условии задачи требуется заполнить таблицу, которая не приведена. Поэтому для решения задачи мы выведем общие формулы, связывающие радиус описанной окружности ($R$), радиус вписанной окружности ($r$), сторону многоугольника ($a_n$), его периметр ($P$) и площадь ($S$) для каждого случая.
a)Рассмотрим квадрат, вписанный в окружность радиуса $R$ (рис. 347, a). Обозначим его сторону $a_4$, периметр $P$, площадь $S$ и радиус вписанной в него окружности $r$.
1. Связь между стороной квадрата $a_4$ и радиусом описанной окружности $R$.
Диагональ квадрата $d$ является диаметром описанной окружности, следовательно, $d = 2R$. По теореме Пифагора для прямоугольного треугольника, образованного двумя сторонами и диагональю квадрата, имеем: $d^2 = a_4^2 + a_4^2 = 2a_4^2$. Отсюда $d = a_4\sqrt{2}$. Приравнивая два выражения для диагонали, получаем: $2R = a_4\sqrt{2}$. Из этого соотношения выражаем сторону квадрата через радиус описанной окружности: $a_4 = \frac{2R}{\sqrt{2}} = R\sqrt{2}$. И наоборот, радиус описанной окружности через сторону квадрата: $R = \frac{a_4\sqrt{2}}{2}$.
2. Связь между стороной квадрата $a_4$ и радиусом вписанной окружности $r$.
Вписанная окружность касается всех сторон квадрата. Её диаметр равен стороне квадрата: $2r = a_4$. Следовательно, $r = \frac{a_4}{2}$.
3. Периметр $P$ и площадь $S$ квадрата.
Периметр квадрата вычисляется по формуле $P = 4a_4$. Площадь квадрата вычисляется по формуле $S = a_4^2$.
Используя выведенные формулы, можно выразить все величины через любую другую. Например, найдем связь между $R$ и $r$: Так как $a_4 = R\sqrt{2}$ и $a_4 = 2r$, то $R\sqrt{2} = 2r$, откуда $R = \frac{2r}{\sqrt{2}} = r\sqrt{2}$.
Ответ:
Основные формулы для квадрата:
- Если известен радиус описанной окружности $R$: $a_4 = R\sqrt{2}$, $r = \frac{R\sqrt{2}}{2}$, $P = 4R\sqrt{2}$, $S = 2R^2$.
- Если известен радиус вписанной окружности $r$: $a_4 = 2r$, $R = r\sqrt{2}$, $P = 8r$, $S = 4r^2$.
- Если известна сторона $a_4$: $R = \frac{a_4\sqrt{2}}{2}$, $r = \frac{a_4}{2}$, $P = 4a_4$, $S = a_4^2$.
- Если известен периметр $P$: $a_4 = \frac{P}{4}$, $R = \frac{P\sqrt{2}}{8}$, $r = \frac{P}{8}$, $S = \frac{P^2}{16}$.
- Если известна площадь $S$: $a_4 = \sqrt{S}$, $R = \frac{\sqrt{2S}}{2}$, $r = \frac{\sqrt{S}}{2}$, $P = 4\sqrt{S}$.
Хотя в тексте задания упоминается только квадрат, на рисунке 347, б) изображен правильный (равносторонний) треугольник, вписанный в окружность. Решим аналогичную задачу и для него.
Обозначим сторону треугольника $a_3$, радиус описанной окружности $R$, радиус вписанной окружности $r$, периметр $P$ и площадь $S$.
1. Связь между стороной $a_3$ и радиусом описанной окружности $R$.
В правильном треугольнике центры вписанной и описанной окружностей совпадают и находятся в точке пересечения высот, медиан и биссектрис. Эта точка делит высоту $h$ в отношении 2:1, считая от вершины. Радиус описанной окружности равен $R = \frac{2}{3}h$. Высота правильного треугольника со стороной $a_3$ равна $h = \frac{a_3\sqrt{3}}{2}$. Подставляем выражение для высоты: $R = \frac{2}{3} \cdot \frac{a_3\sqrt{3}}{2} = \frac{a_3\sqrt{3}}{3}$. Отсюда выражаем сторону: $a_3 = \frac{3R}{\sqrt{3}} = R\sqrt{3}$.
2. Связь между стороной $a_3$ и радиусом вписанной окружности $r$.
Радиус вписанной окружности равен $r = \frac{1}{3}h$. Подставляем выражение для высоты: $r = \frac{1}{3} \cdot \frac{a_3\sqrt{3}}{2} = \frac{a_3\sqrt{3}}{6}$. Отсюда выражаем сторону: $a_3 = \frac{6r}{\sqrt{3}} = 2r\sqrt{3}$. Из соотношений $R = \frac{2}{3}h$ и $r = \frac{1}{3}h$ также следует, что $R = 2r$.
3. Периметр $P$ и площадь $S$ правильного треугольника.
Периметр: $P = 3a_3$. Площадь: $S = \frac{1}{2}a_3 h = \frac{1}{2}a_3 \cdot \frac{a_3\sqrt{3}}{2} = \frac{a_3^2\sqrt{3}}{4}$.
Ответ:
Основные формулы для правильного треугольника:
- Если известен радиус описанной окружности $R$: $a_3 = R\sqrt{3}$, $r = \frac{R}{2}$, $P = 3R\sqrt{3}$, $S = \frac{3R^2\sqrt{3}}{4}$.
- Если известен радиус вписанной окружности $r$: $a_3 = 2r\sqrt{3}$, $R = 2r$, $P = 6r\sqrt{3}$, $S = 3r^2\sqrt{3}$.
- Если известна сторона $a_3$: $R = \frac{a_3\sqrt{3}}{3}$, $r = \frac{a_3\sqrt{3}}{6}$, $P = 3a_3$, $S = \frac{a_3^2\sqrt{3}}{4}$.
Помогло решение? Оставьте отзыв в комментариях ниже.