Страница 361 - гдз по геометрии 7-9 класс учебник Атанасян, Бутузов

Авторы: Атанасян Л. С., Бутузов В. Ф., Кадомцев С. Б., Позняк Э. Г., Юдина И. И.
Тип: Учебник
Издательство: Просвещение
Год издания: 2023 - 2025
Уровень обучения: базовый
Цвет обложки: синий
ISBN: 978-5-09-102538-5 (2023), 978-5-09-111167-5 (2024)
Допущено Министерством просвещения Российской Федерации
Популярные ГДЗ в 7 классе
Cтраница 361

№1389 (с. 361)
Условие. №1389 (с. 361)
скриншот условия


1389 На сторонах квадрата MNPQ взяты точки A и B так, что (рис. 421). Докажите, что ∠AMВ=45°.

Решение 2. №1389 (с. 361)

Решение 3. №1389 (с. 361)

Решение 4. №1389 (с. 361)

Решение 6. №1389 (с. 361)



Решение 9. №1389 (с. 361)


Решение 11. №1389 (с. 361)
Доказательство
Пусть сторона квадрата $MNPQ$ равна $a$. Тогда $MN = NP = PQ = QM = a$.
Согласно условию задачи, точка $A$ лежит на стороне $NP$, а точка $B$ — на стороне $PQ$. Из этого следует, что треугольники $\triangle MNA$ и $\triangle MQB$ являются прямоугольными, поскольку углы $\angle MNA$ и $\angle MQB$ — это углы квадрата, равные $90^\circ$.
По условию даны длины отрезков $NA$ и $QB$:
$NA = \frac{1}{2}MN = \frac{1}{2}a$
$QB = \frac{1}{3}MN = \frac{1}{3}a$
Рассмотрим прямоугольный треугольник $\triangle MNA$. Найдем тангенс угла $\angle NMA$:
$\tan(\angle NMA) = \frac{NA}{MN} = \frac{\frac{1}{2}a}{a} = \frac{1}{2}$
Рассмотрим прямоугольный треугольник $\triangle MQB$. Найдем тангенс угла $\angle QMB$:
$\tan(\angle QMB) = \frac{QB}{MQ} = \frac{\frac{1}{3}a}{a} = \frac{1}{3}$
Угол квадрата при вершине $M$ равен $\angle NMQ = 90^\circ$. Из рисунка видно, что искомый угол $\angle AMB$ можно найти как разность:
$\angle AMB = \angle NMQ - \angle NMA - \angle QMB = 90^\circ - (\angle NMA + \angle QMB)$
Чтобы найти сумму углов $\angle NMA + \angle QMB$, воспользуемся формулой тангенса суммы двух углов: $\tan(\alpha + \beta) = \frac{\tan\alpha + \tan\beta}{1 - \tan\alpha \tan\beta}$.
$\tan(\angle NMA + \angle QMB) = \frac{\tan(\angle NMA) + \tan(\angle QMB)}{1 - \tan(\angle NMA) \cdot \tan(\angle QMB)} = \frac{\frac{1}{2} + \frac{1}{3}}{1 - \frac{1}{2} \cdot \frac{1}{3}} = \frac{\frac{3+2}{6}}{1 - \frac{1}{6}} = \frac{\frac{5}{6}}{\frac{5}{6}} = 1$
Поскольку тангенс суммы углов $\angle NMA$ и $\angle QMB$ равен 1, а каждый из этих углов острый (как острые углы в прямоугольных треугольниках), то их сумма равна $45^\circ$.
$\angle NMA + \angle QMB = 45^\circ$
Теперь найдем искомый угол $\angle AMB$:
$\angle AMB = 90^\circ - (\angle NMA + \angle QMB) = 90^\circ - 45^\circ = 45^\circ$
Что и требовалось доказать.
Ответ: Угол $\angle AMB$ равен $45^\circ$.
№1390 (с. 361)
Условие. №1390 (с. 361)
скриншот условия

1390 Диагонали AC и BD четырёхугольника ABCD пересекаются в точке О. Площадь треугольника ОDC есть среднее пропорциональное между площадями треугольников ОВС и ОАD. Докажите, что ABCD — трапеция с основаниями AD и ВС или параллелограмм.
Решение 2. №1390 (с. 361)

Решение 3. №1390 (с. 361)

Решение 4. №1390 (с. 361)

Решение 6. №1390 (с. 361)



Решение 9. №1390 (с. 361)


Решение 11. №1390 (с. 361)
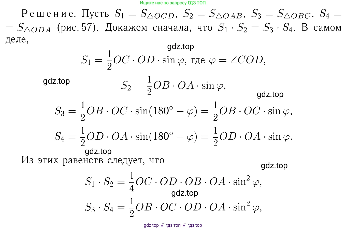
Пусть $S_{OBC}$, $S_{OAD}$ и $S_{ODC}$ — это площади треугольников $\triangle OBC$, $\triangle OAD$ и $\triangle ODC$ соответственно. По условию задачи, площадь треугольника $ODC$ является средним пропорциональным (средним геометрическим) между площадями треугольников $OBC$ и $OAD$. Это можно записать в виде формулы:
$S_{ODC} = \sqrt{S_{OBC} \cdot S_{OAD}}$
Возведя обе части равенства в квадрат, получим:
$S_{ODC}^2 = S_{OBC} \cdot S_{OAD}$
Выразим площади треугольников через длины отрезков диагоналей и угол между ними. Пусть диагонали $AC$ и $BD$ пересекаются под углом $\angle BOC = \alpha$. Тогда вертикальный ему угол $\angle AOD = \alpha$, а смежные с ними углы $\angle COD = \angle AOB = 180^\circ - \alpha$.
Площадь треугольника равна половине произведения двух его сторон на синус угла между ними. Таким образом:
- $S_{OBC} = \frac{1}{2} OB \cdot OC \cdot \sin(\angle BOC) = \frac{1}{2} OB \cdot OC \cdot \sin\alpha$
- $S_{OAD} = \frac{1}{2} OA \cdot OD \cdot \sin(\angle AOD) = \frac{1}{2} OA \cdot OD \cdot \sin\alpha$
- $S_{ODC} = \frac{1}{2} OD \cdot OC \cdot \sin(\angle COD) = \frac{1}{2} OD \cdot OC \cdot \sin(180^\circ - \alpha) = \frac{1}{2} OD \cdot OC \cdot \sin\alpha$
Подставим эти выражения в исходное равенство:
$(\frac{1}{2} OD \cdot OC \cdot \sin\alpha)^2 = (\frac{1}{2} OB \cdot OC \cdot \sin\alpha) \cdot (\frac{1}{2} OA \cdot OD \cdot \sin\alpha)$
$\frac{1}{4} OD^2 \cdot OC^2 \cdot \sin^2\alpha = \frac{1}{4} \cdot OB \cdot OC \cdot OA \cdot OD \cdot \sin^2\alpha$
Поскольку диагонали пересекаются, угол $\alpha$ не равен $0^\circ$ или $180^\circ$, следовательно, $\sin\alpha \neq 0$. Также длины отрезков диагоналей являются положительными величинами. Поэтому мы можем сократить обе части уравнения на $\frac{1}{4} \sin^2\alpha \cdot OD \cdot OC$:
$OD \cdot OC = OA \cdot OB$
Перегруппируем это равенство, чтобы получить пропорцию:
$\frac{OA}{OC} = \frac{OD}{OB}$
Рассмотрим треугольники $\triangle OAD$ и $\triangle OCB$.
- Отношения их сторон пропорциональны: $\frac{OA}{OC} = \frac{OD}{OB}$.
- Углы, заключенные между этими сторонами, равны, так как являются вертикальными: $\angle AOD = \angle COB$.
По второму признаку подобия треугольников (по двум пропорциональным сторонам и углу между ними), следует, что $\triangle OAD \sim \triangle OCB$.
Из подобия треугольников следует равенство соответствующих углов:
$\angle OAD = \angle OCB$, то есть $\angle CAD = \angle BCA$.
Углы $\angle CAD$ и $\angle BCA$ являются накрест лежащими углами при прямых $AD$ и $BC$ и секущей $AC$. Поскольку эти углы равны, прямые $AD$ и $BC$ параллельны: $AD \parallel BC$.
Четырёхугольник, у которого две противоположные стороны параллельны, является трапецией. Следовательно, $ABCD$ — трапеция с основаниями $AD$ и $BC$.
Если четырёхугольник $ABCD$ является параллелограммом, то его диагонали точкой пересечения делятся пополам, то есть $OA = OC$ и $OB = OD$. В этом случае полученное нами соотношение $\frac{OA}{OC} = \frac{OD}{OB}$ превращается в верное равенство $1 = 1$. Так как у параллелограмма противоположные стороны параллельны ($AD \parallel BC$), он является частным случаем трапеции. Таким образом, утверждение задачи полностью доказано.
Ответ: Условие, что площадь треугольника $ODC$ есть среднее пропорциональное между площадями треугольников $OBC$ и $OAD$, приводит к равенству $\frac{OA}{OC} = \frac{OD}{OB}$. Это, в свою очередь, доказывает подобие треугольников $\triangle OAD$ и $\triangle OCB$, из которого следует параллельность прямых $AD$ и $BC$. Следовательно, четырёхугольник $ABCD$ является трапецией с основаниями $AD$ и $BC$. Параллелограмм является частным случаем такой трапеции, поэтому утверждение полностью доказано.
№1391 (с. 361)
Условие. №1391 (с. 361)
скриншот условия

1391 Докажите, что площадь S произвольного четырёхугольника со сторонами а, b, с, d (последовательно) удовлетворяет неравенству S ≤ 12(ac + bd).
Решение 2. №1391 (с. 361)

Решение 3. №1391 (с. 361)

Решение 4. №1391 (с. 361)

Решение 6. №1391 (с. 361)


Решение 9. №1391 (с. 361)

Решение 11. №1391 (с. 361)
Рассмотрим произвольный выпуклый четырёхугольник. Обозначим его вершины как A, B, C, D, а длины его сторон последовательно: $AB = a$, $BC = b$, $CD = c$, $DA = d$.Площадь любого выпуклого четырёхугольника можно вычислить через длины его диагоналей $d_1 = AC$ и $d_2 = BD$ и угол $\varphi$ между ними. Формула площади имеет вид:
$S = \frac{1}{2} d_1 d_2 \sin\varphi$
Поскольку синус любого угла не превосходит единицы, то есть $\sin\varphi \le 1$, мы можем записать следующее неравенство для площади:
$S = \frac{1}{2} d_1 d_2 \sin\varphi \le \frac{1}{2} d_1 d_2$
Теперь воспользуемся неравенством Птолемея для произвольного четырёхугольника. Оно утверждает, что произведение длин диагоналей не превышает суммы произведений длин противолежащих сторон:
$d_1 d_2 \le ac + bd$
Объединим полученные неравенства. Мы установили, что $S \le \frac{1}{2} d_1 d_2$, и, в свою очередь, $d_1 d_2 \le ac + bd$.Из этого следует:
$S \le \frac{1}{2} d_1 d_2 \le \frac{1}{2} (ac + bd)$
Таким образом, мы доказали, что площадь $S$ произвольного четырёхугольника со сторонами $a, b, c, d$ удовлетворяет неравенству:
$S \le \frac{1}{2} (ac + bd)$
Это неравенство справедливо и для невыпуклых четырёхугольников, так как их площадь, равная разности площадей двух треугольников, не превышает суммы площадей этих треугольников, что возвращает нас к случаю выпуклого четырёхугольника с теми же сторонами.
Равенство в данном неравенстве достигается, если выполняются два условия одновременно:
1. Четырёхугольник является вписанным в окружность (условие равенства в неравенстве Птолемея: $d_1 d_2 = ac + bd$).
2. Его диагонали перпендикулярны (условие равенства $S = \frac{1}{2} d_1 d_2$: $\sin\varphi = 1$).
Ответ: Неравенство $S \le \frac{1}{2}(ac + bd)$ доказано путём использования формулы площади четырёхугольника через диагонали $S = \frac{1}{2} d_1 d_2 \sin\varphi$ и неравенства Птолемея $d_1 d_2 \le ac + bd$.
№1392 (с. 361)
Условие. №1392 (с. 361)
скриншот условия

1392 Докажите, что в треугольнике ABC биссектриса АА₁ вычисляется по формуле AA₁ = 2bc cosA2b + c, где b = AC, с = AB.
Решение 2. №1392 (с. 361)

Решение 3. №1392 (с. 361)

Решение 4. №1392 (с. 361)

Решение 9. №1392 (с. 361)


Решение 11. №1392 (с. 361)
Для доказательства данной формулы воспользуемся методом, основанным на площади треугольника.
Рассмотрим треугольник $ABC$. Пусть $AA_1$ — биссектриса угла $A$, ее длина равна $l_a$. По условию, $b = AC$ и $c = AB$. Биссектриса $AA_1$ делит угол $A$ на два равных угла: $\angle BAA_1 = \angle CAA_1 = \frac{A}{2}$.
Площадь треугольника $ABC$ равна сумме площадей треугольников $ABA_1$ и $ACA_1$, на которые его разделяет биссектриса $AA_1$: $S_{ABC} = S_{ABA_1} + S_{ACA_1}$
Площадь треугольника можно вычислить по формуле $S = \frac{1}{2}xy \sin\gamma$, где $x$ и $y$ — две стороны треугольника, а $\gamma$ — угол между ними.
Выразим площади всех трех треугольников через эту формулу:
Площадь всего треугольника $ABC$: $S_{ABC} = \frac{1}{2} \cdot AB \cdot AC \cdot \sin A = \frac{1}{2}bc \sin A$
Площадь треугольника $ABA_1$: $S_{ABA_1} = \frac{1}{2} \cdot AB \cdot AA_1 \cdot \sin(\angle BAA_1) = \frac{1}{2}c \cdot l_a \cdot \sin\frac{A}{2}$
Площадь треугольника $ACA_1$: $S_{ACA_1} = \frac{1}{2} \cdot AC \cdot AA_1 \cdot \sin(\angle CAA_1) = \frac{1}{2}b \cdot l_a \cdot \sin\frac{A}{2}$
Теперь подставим эти выражения в равенство площадей: $\frac{1}{2}bc \sin A = \frac{1}{2}c l_a \sin\frac{A}{2} + \frac{1}{2}b l_a \sin\frac{A}{2}$
Умножим обе части уравнения на 2 и вынесем общий множитель $l_a \sin\frac{A}{2}$ за скобки в правой части: $bc \sin A = l_a \sin\frac{A}{2} (b+c)$
Воспользуемся формулой синуса двойного угла: $\sin A = 2 \sin\frac{A}{2} \cos\frac{A}{2}$. Подставим это выражение в левую часть уравнения: $bc \left(2 \sin\frac{A}{2} \cos\frac{A}{2}\right) = l_a (b+c) \sin\frac{A}{2}$
Так как $A$ — угол треугольника, то $0 < A < 180^\circ$, а значит $0 < \frac{A}{2} < 90^\circ$. В этом диапазоне $\sin\frac{A}{2} \neq 0$, поэтому мы можем сократить обе части уравнения на $\sin\frac{A}{2}$: $2bc \cos\frac{A}{2} = l_a (b+c)$
Наконец, выразим длину биссектрисы $l_a = AA_1$: $AA_1 = \frac{2bc \cos\frac{A}{2}}{b+c}$
Что и требовалось доказать.
Ответ: Формула $AA_1 = \frac{2bc \cos\frac{A}{2}}{b+c}$ доказана.
№1393 (с. 361)
Условие. №1393 (с. 361)
скриншот условия

1393 Выразите диагонали вписанного в окружность четырёхугольника через его стороны.
Решение 2. №1393 (с. 361)

Решение 3. №1393 (с. 361)


Решение 4. №1393 (с. 361)

Решение 6. №1393 (с. 361)



Решение 9. №1393 (с. 361)


Решение 11. №1393 (с. 361)
Пусть в окружность вписан четырёхугольник $ABCD$ со сторонами $AB=a$, $BC=b$, $CD=c$ и $DA=d$. Обозначим его диагонали $AC=p$ и $BD=q$. Задача состоит в том, чтобы выразить длины диагоналей $p$ и $q$ через длины сторон $a, b, c, d$.
Для нахождения длины диагонали $p=AC$, рассмотрим треугольники $\triangle ABC$ и $\triangle ADC$, на которые эта диагональ делит четырёхугольник. Основное свойство вписанного четырёхугольника — сумма противоположных углов равна $180^\circ$. Таким образом, если $\angle B = \beta$, то $\angle D = 180^\circ - \beta$, и, следовательно, $\cos D = \cos(180^\circ - \beta) = -\cos \beta$.
Применим теорему косинусов к обоим треугольникам, выразив через их стороны квадрат общей стороны $AC = p$:
В $\triangle ABC$: $p^2 = a^2 + b^2 - 2ab \cos \beta$.
В $\triangle ADC$: $p^2 = c^2 + d^2 - 2cd \cos D = c^2 + d^2 - 2cd(-\cos\beta) = c^2 + d^2 + 2cd \cos \beta$.
Теперь у нас есть два выражения для $p^2$. Приравняем их правые части, чтобы найти $\cos \beta$:
$a^2 + b^2 - 2ab \cos \beta = c^2 + d^2 + 2cd \cos \beta$
$a^2 + b^2 - c^2 - d^2 = 2ab \cos \beta + 2cd \cos \beta$
$a^2 + b^2 - c^2 - d^2 = (2ab + 2cd) \cos \beta$
Отсюда $\cos \beta = \frac{a^2 + b^2 - c^2 - d^2}{2(ab + cd)}$.
Подставим полученное выражение для $\cos \beta$ в первое уравнение для $p^2$:
$p^2 = a^2 + b^2 - 2ab \left(\frac{a^2 + b^2 - c^2 - d^2}{2(ab + cd)}\right)$
$p^2 = a^2 + b^2 - \frac{ab(a^2 + b^2 - c^2 - d^2)}{ab + cd}$
Приводя к общему знаменателю, получаем:
$p^2 = \frac{(a^2+b^2)(ab+cd) - ab(a^2+b^2-c^2-d^2)}{ab+cd}$
Раскрывая скобки и упрощая числитель:
$p^2 = \frac{a^3b+a^2cd+ab^3+b^2cd - a^3b-ab^3+abc^2+abd^2}{ab+cd}$
$p^2 = \frac{a^2cd + b^2cd + abc^2 + abd^2}{ab+cd}$
Числитель этой дроби можно разложить на множители: $a^2cd + b^2cd + abc^2 + abd^2 = (ac+bd)(ad+bc)$.
Таким образом, для квадрата диагонали $p$ имеем:
$p^2 = \frac{(ac+bd)(ad+bc)}{ab+cd}$
Извлекая квадратный корень, получаем искомую формулу для диагонали $p=AC$:
$p = \sqrt{\frac{(ac+bd)(ad+bc)}{ab+cd}}$
Формула для второй диагонали $q=BD$ выводится аналогично, рассматривая треугольники $\triangle ABD$ и $\triangle CBD$. Результат имеет симметричный вид:
$q = \sqrt{\frac{(ab+cd)(ac+bd)}{ad+bc}}$
Эти формулы известны как теорема Брахмагупты.
Ответ:
Для вписанного четырёхугольника со сторонами $a, b, c, d$ (взятыми последовательно), длины диагоналей $p$ и $q$ выражаются следующими формулами:
$p = \sqrt{\frac{(ac+bd)(ad+bc)}{ab+cd}}$
$q = \sqrt{\frac{(ab+cd)(ac+bd)}{ad+bc}}$
где $p$ — диагональ, соединяющая вершины между сторонами $d,a$ и $b,c$, а $q$ — диагональ, соединяющая вершины между сторонами $a,b$ и $c,d$.
№1394 (с. 361)
Условие. №1394 (с. 361)
скриншот условия

1394 Докажите, что площадь четырёхугольника, вписанного в окружность, может быть вычислена по формуле
где p — полупериметр, а, b, с, d — стороны четырёхугольника.
Решение 2. №1394 (с. 361)

Решение 3. №1394 (с. 361)


Решение 4. №1394 (с. 361)

Решение 9. №1394 (с. 361)


Решение 11. №1394 (с. 361)
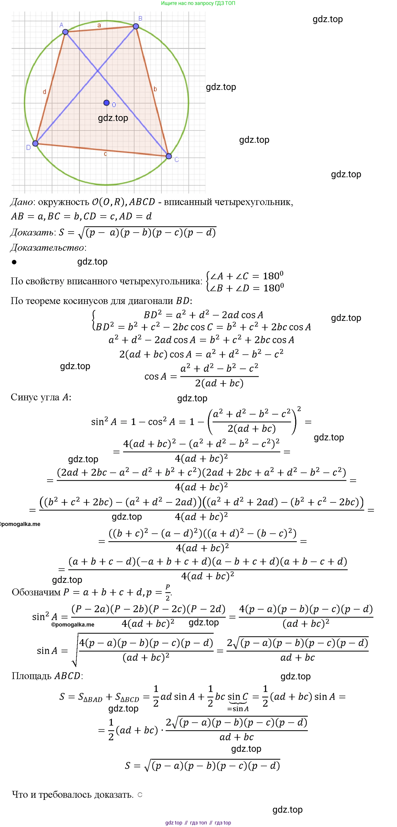
Для доказательства формулы площади вписанного четырехугольника, известной как формула Брахмагупты, рассмотрим четырехугольник со сторонами $a, b, c, d$.
Площадь $S$ этого четырехугольника можно найти, разбив его диагональю на два треугольника. Пусть диагональ разделяет четырехугольник на два треугольника со сторонами $(a, b, l)$ и $(c, d, l)$, где $l$ — длина диагонали. Пусть $\beta$ — угол между сторонами $a$ и $b$, а $\delta$ — угол между сторонами $c$ и $d$.
Площадь четырехугольника равна сумме площадей этих двух треугольников:
$S = \frac{1}{2}ab\sin\beta + \frac{1}{2}cd\sin\delta$
Ключевым свойством вписанного четырехугольника является то, что сумма его противоположных углов равна $180^\circ$. Следовательно, $\beta + \delta = 180^\circ$. Из этого следует, что $\sin\delta = \sin(180^\circ - \beta) = \sin\beta$.
Подставив это в формулу площади, мы получаем:
$S = \frac{1}{2}ab\sin\beta + \frac{1}{2}cd\sin\beta = \frac{1}{2}(ab+cd)\sin\beta$
Теперь выразим диагональ $l$ с помощью теоремы косинусов для каждого из треугольников:
$l^2 = a^2+b^2-2ab\cos\beta$
$l^2 = c^2+d^2-2cd\cos\delta$
Используя свойство углов $\beta + \delta = 180^\circ$, имеем $\cos\delta = \cos(180^\circ - \beta) = -\cos\beta$. Подставим это во второе уравнение:
$l^2 = c^2+d^2+2cd\cos\beta$
Приравняем оба выражения для $l^2$:
$a^2+b^2-2ab\cos\beta = c^2+d^2+2cd\cos\beta$
Сгруппируем члены, чтобы выразить $\cos\beta$:
$a^2+b^2-c^2-d^2 = 2ab\cos\beta + 2cd\cos\beta = 2(ab+cd)\cos\beta$
Отсюда:
$\cos\beta = \frac{a^2+b^2-c^2-d^2}{2(ab+cd)}$
Теперь вернемся к формуле для площади $S = \frac{1}{2}(ab+cd)\sin\beta$. Мы можем записать $\sin^2\beta = 1 - \cos^2\beta$. Тогда:
$S^2 = \frac{1}{4}(ab+cd)^2\sin^2\beta = \frac{1}{4}(ab+cd)^2(1-\cos^2\beta)$
Подставим найденное выражение для $\cos\beta$:
$S^2 = \frac{1}{4}(ab+cd)^2 \left(1 - \left(\frac{a^2+b^2-c^2-d^2}{2(ab+cd)}\right)^2\right)$
$4S^2 = (ab+cd)^2 \left(1 - \frac{(a^2+b^2-c^2-d^2)^2}{4(ab+cd)^2}\right)$
$4S^2 = \frac{(ab+cd)^2}{1} \cdot \frac{4(ab+cd)^2 - (a^2+b^2-c^2-d^2)^2}{4(ab+cd)^2}$
$16S^2 = 4(ab+cd)^2 - (a^2+b^2-c^2-d^2)^2$
Правая часть этого уравнения представляет собой разность квадратов $X^2-Y^2=(X-Y)(X+Y)$, где $X=2(ab+cd)$ и $Y=a^2+b^2-c^2-d^2$.
$16S^2 = [2(ab+cd) - (a^2+b^2-c^2-d^2)][2(ab+cd) + (a^2+b^2-c^2-d^2)]$
Рассмотрим каждый множитель отдельно, раскрывая скобки и перегруппировывая слагаемые:
$2ab+2cd-a^2-b^2+c^2+d^2 = (c^2+2cd+d^2) - (a^2-2ab+b^2) = (c+d)^2-(a-b)^2 = (c+d-a+b)(c+d+a-b)$
$2ab+2cd+a^2+b^2-c^2-d^2 = (a^2+2ab+b^2) - (c^2-2cd+d^2) = (a+b)^2-(c-d)^2 = (a+b-c+d)(a+b+c-d)$
Итак, мы получили:
$16S^2 = (b+c+d-a)(a+c+d-b)(a+b+d-c)(a+b+c-d)$
Введем полупериметр $p = \frac{a+b+c+d}{2}$. Тогда $2p=a+b+c+d$. Выразим каждый из четырех множителей через $p$:
$b+c+d-a = (a+b+c+d) - 2a = 2p - 2a = 2(p-a)$
$a+c+d-b = (a+b+c+d) - 2b = 2p - 2b = 2(p-b)$
$a+b+d-c = (a+b+c+d) - 2c = 2p - 2c = 2(p-c)$
$a+b+c-d = (a+b+c+d) - 2d = 2p - 2d = 2(p-d)$
Подставим эти выражения в формулу для $16S^2$:
$16S^2 = 2(p-a) \cdot 2(p-b) \cdot 2(p-c) \cdot 2(p-d) = 16(p-a)(p-b)(p-c)(p-d)$
Разделив обе части на 16, получаем:
$S^2 = (p-a)(p-b)(p-c)(p-d)$
Так как площадь $S$ — неотрицательная величина, извлекаем квадратный корень:
$S = \sqrt{(p-a)(p-b)(p-c)(p-d)}$
Таким образом, формула доказана.
Ответ: Утверждение доказано.
№1395 (с. 361)
Условие. №1395 (с. 361)
скриншот условия

1395 Докажите, что стороны треугольника образуют арифметическую прогрессию тогда и только тогда, когда прямая, проходящая через центры вписанной и описанной окружностей, перпендикулярна к одной из биссектрис треугольника.
Решение 2. №1395 (с. 361)

Решение 3. №1395 (с. 361)



Решение 4. №1395 (с. 361)

Решение 6. №1395 (с. 361)


Решение 9. №1395 (с. 361)



Решение 11. №1395 (с. 361)
Это утверждение типа «тогда и только тогда», поэтому нам нужно доказать эквивалентность двух условий:
1. Стороны треугольника образуют арифметическую прогрессию.
2. Прямая, проходящая через центры вписанной ($I$) и описанной ($O$) окружностей, перпендикулярна одной из биссектрис треугольника.
Пусть дан треугольник $ABC$ со сторонами $a, b, c$ напротив вершин $A, B, C$ и углами $\alpha, \beta, \gamma$ соответственно. Пусть $R$ — радиус описанной окружности, $r$ — радиус вписанной окружности.
Условие (1) означает, что для сторон треугольника выполняется одно из соотношений: $a+c=2b$, или $b+c=2a$, или $a+b=2c$.
Условие (2) означает, что прямая $OI$ перпендикулярна одной из биссектрис $AI$, $BI$ или $CI$.
Докажем, что условие $a+c=2b$ эквивалентно условию $OI \perp BI$. Остальные случаи доказываются аналогично в силу симметрии.
1. Преобразование условия $a+c=2b$
Используя теорему синусов $a = 2R\sin\alpha$, $b = 2R\sin\beta$, $c = 2R\sin\gamma$, перепишем условие $a+c=2b$:
$2R\sin\alpha + 2R\sin\gamma = 2(2R\sin\beta)$
$\sin\alpha + \sin\gamma = 2\sin\beta$
Применим формулу суммы синусов для левой части и формулу двойного угла для правой:
$2\sin\frac{\alpha+\gamma}{2}\cos\frac{\alpha-\gamma}{2} = 2\left(2\sin\frac{\beta}{2}\cos\frac{\beta}{2}\right)$
Поскольку $\alpha+\beta+\gamma=\pi$, то $\frac{\alpha+\gamma}{2} = \frac{\pi-\beta}{2} = \frac{\pi}{2} - \frac{\beta}{2}$. Отсюда $\sin\frac{\alpha+\gamma}{2} = \sin\left(\frac{\pi}{2} - \frac{\beta}{2}\right) = \cos\frac{\beta}{2}$.
Подставим это в равенство:
$2\cos\frac{\beta}{2}\cos\frac{\alpha-\gamma}{2} = 4\sin\frac{\beta}{2}\cos\frac{\beta}{2}$
Поскольку угол $\beta$ в треугольнике лежит в интервале $(0, \pi)$, то $\frac{\beta}{2} \in (0, \pi/2)$, и значит $\cos\frac{\beta}{2} \neq 0$. Мы можем разделить обе части на $2\cos\frac{\beta}{2}$:
$\cos\frac{\alpha-\gamma}{2} = 2\sin\frac{\beta}{2}$
Таким образом, условие $a+c=2b$ эквивалентно тригонометрическому соотношению $\cos\frac{\alpha-\gamma}{2} = 2\sin\frac{\beta}{2}$.
2. Преобразование условия $OI \perp BI$
Условие $OI \perp BI$ означает, что треугольник $OBI$ является прямоугольным с прямым углом при вершине $I$. По теореме Пифагора для $\triangle OBI$:
$OB^2 = OI^2 + BI^2$
Нам известны длины отрезков в этом равенстве:
• $OB = R$ (радиус описанной окружности).
• $OI^2 = R(R-2r)$ (формула Эйлера для расстояния между центрами).
• $BI = \frac{r}{\sin(\beta/2)}$ (длина отрезка от вершины до инцентра).
Подставим эти значения в уравнение:
$R^2 = R(R-2r) + \left(\frac{r}{\sin(\beta/2)}\right)^2$
$R^2 = R^2 - 2Rr + \frac{r^2}{\sin^2(\beta/2)}$
$2Rr = \frac{r^2}{\sin^2(\beta/2)}$
Поскольку $r>0$, разделим обе части на $r$:
$2R = \frac{r}{\sin^2(\beta/2)}$, откуда $r = 2R\sin^2\frac{\beta}{2}$.
Теперь используем известную формулу для радиуса вписанной окружности: $r = 4R\sin\frac{\alpha}{2}\sin\frac{\beta}{2}\sin\frac{\gamma}{2}$.
Приравняем два выражения для $r$:
$2R\sin^2\frac{\beta}{2} = 4R\sin\frac{\alpha}{2}\sin\frac{\beta}{2}\sin\frac{\gamma}{2}$
Так как $R>0$ и $\sin(\beta/2) > 0$, разделим обе части на $2R\sin\frac{\beta}{2}$:
$\sin\frac{\beta}{2} = 2\sin\frac{\alpha}{2}\sin\frac{\gamma}{2}$
Применим формулу преобразования произведения синусов в разность косинусов $2\sin X \sin Y = \cos(X-Y) - \cos(X+Y)$:
$\sin\frac{\beta}{2} = \cos\frac{\alpha-\gamma}{2} - \cos\frac{\alpha+\gamma}{2}$
Как мы уже использовали, $\frac{\alpha+\gamma}{2} = \frac{\pi}{2} - \frac{\beta}{2}$, поэтому $\cos\frac{\alpha+\gamma}{2} = \sin\frac{\beta}{2}$.
Подставим это в равенство:
$\sin\frac{\beta}{2} = \cos\frac{\alpha-\gamma}{2} - \sin\frac{\beta}{2}$
$2\sin\frac{\beta}{2} = \cos\frac{\alpha-\gamma}{2}$
Таким образом, условие $OI \perp BI$ эквивалентно тому же самому тригонометрическому соотношению $\cos\frac{\alpha-\gamma}{2} = 2\sin\frac{\beta}{2}$.
Заключение
Мы показали, что оба условия — «стороны $a, b, c$ образуют арифметическую прогрессию с средним членом $b$ ($a+c=2b$)» и «прямая $OI$ перпендикулярна биссектрисе $BI$» — эквивалентны одному и тому же соотношению между углами треугольника: $\cos\frac{\alpha-\gamma}{2} = 2\sin\frac{\beta}{2}$.
Аналогичные рассуждения можно провести для двух других случаев:
• $b+c=2a \iff OI \perp AI \iff \cos\frac{\beta-\gamma}{2} = 2\sin\frac{\alpha}{2}$.
• $a+b=2c \iff OI \perp CI \iff \cos\frac{\alpha-\beta}{2} = 2\sin\frac{\gamma}{2}$.
Следовательно, стороны треугольника образуют арифметическую прогрессию тогда и только тогда, когда прямая, проходящая через центры вписанной и описанной окружностей, перпендикулярна одной из биссектрис треугольника.
Ответ: Утверждение доказано.
№1396 (с. 361)
Условие. №1396 (с. 361)
скриншот условия

1396 В прямоугольной трапеции ABCD меньшее основание AD равно 3, а боковая сторона CD, не перпендикулярная к основаниям, равна 6. Точка Е — середина отрезка CD, угол СBE равен α. Найдите площадь трапеции ABCD.
Решение 2. №1396 (с. 361)

Решение 3. №1396 (с. 361)

Решение 4. №1396 (с. 361)

Решение 6. №1396 (с. 361)



Решение 9. №1396 (с. 361)



Решение 11. №1396 (с. 361)
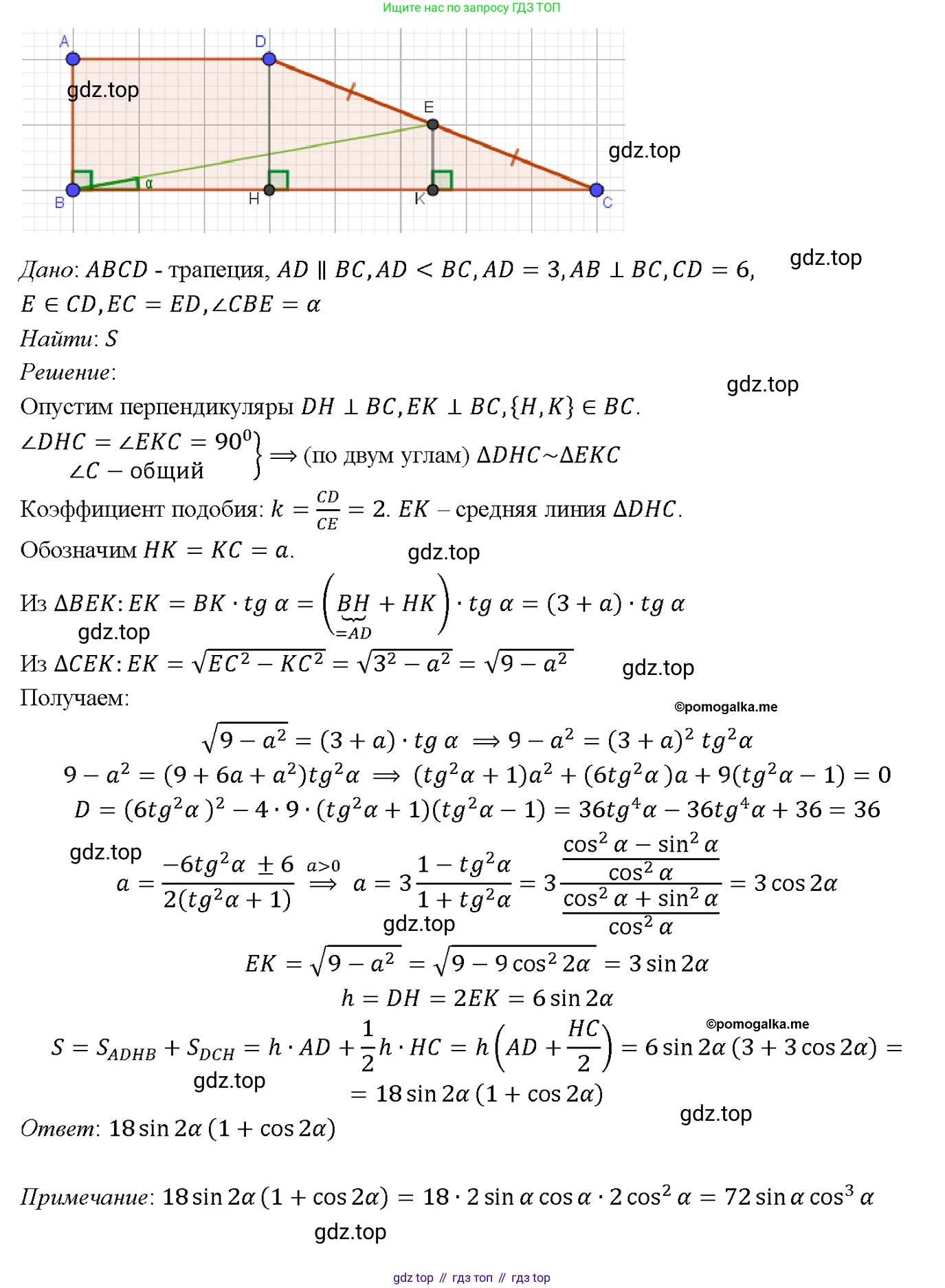
Пусть $ABCD$ — прямоугольная трапеция, у которой основания $AD$ и $BC$ параллельны, а боковая сторона $AB$ перпендикулярна основаниям. Таким образом, $\angle A = \angle B = 90^\circ$.По условию задачи имеем:
- Меньшее основание $AD = 3$.
- Боковая сторона $CD = 6$.
- Точка $E$ — середина отрезка $CD$, следовательно, $CE = ED = CD/2 = 3$.
- Угол $\angle CBE = \alpha$.
Площадь трапеции вычисляется по формуле $S = \frac{AD+BC}{2} \cdot AB$. Нам необходимо найти длины основания $BC$ и высоты $AB$. Обозначим $BC = b$ и $AB = h$.
Проведем высоту $DH$ из точки $D$ к основанию $BC$. Так как $AB$ перпендикулярна $BC$, то $DH$ параллельна $AB$ и равна ей по длине. Четырехугольник $ABHD$ является прямоугольником.Следовательно, $DH = AB = h$ и $BH = AD = 3$.
Рассмотрим прямоугольный треугольник $DHC$ ($\angle DHC = 90^\circ$).Катет $HC = BC - BH = b - 3$.По теореме Пифагора: $DH^2 + HC^2 = CD^2$.Подставив известные значения, получим:$h^2 + (b-3)^2 = 6^2 = 36$. (1)
Также из треугольника $DHC$ можно выразить косинус угла $C$ трапеции (обозначим $\angle C = \gamma$):$\cos \gamma = \frac{HC}{CD} = \frac{b-3}{6}$.
Теперь рассмотрим треугольник $CBE$. Нам известны две стороны $BC = b$, $CE = 3$ и угол между ними $\angle BCE = \gamma$. Применим теорему косинусов для нахождения стороны $BE$:$BE^2 = BC^2 + CE^2 - 2 \cdot BC \cdot CE \cdot \cos\gamma$$BE^2 = b^2 + 3^2 - 2 \cdot b \cdot 3 \cdot \frac{b-3}{6}$$BE^2 = b^2 + 9 - b(b-3)$$BE^2 = b^2 + 9 - b^2 + 3b$$BE^2 = 3b + 9$. (2)
В том же треугольнике $CBE$ нам известен угол $\angle CBE = \alpha$. Применим теорему косинусов еще раз, теперь для нахождения стороны $CE$:$CE^2 = BC^2 + BE^2 - 2 \cdot BC \cdot BE \cdot \cos\alpha$$3^2 = b^2 + (3b+9) - 2 \cdot b \cdot \sqrt{3b+9} \cdot \cos\alpha$$9 = b^2 + 3b + 9 - 2b\sqrt{3b+9} \cos\alpha$$0 = b^2 + 3b - 2b\sqrt{3b+9} \cos\alpha$
Так как $b$ — это длина основания, $b > 0$. Мы можем разделить уравнение на $b$:$0 = b+3 - 2\sqrt{3b+9} \cos\alpha$$b+3 = 2\sqrt{3(b+3)} \cos\alpha$
Возведем обе части уравнения в квадрат:$(b+3)^2 = 4 \cdot 3(b+3) \cdot \cos^2\alpha$$(b+3)^2 = 12(b+3)\cos^2\alpha$
Так как $b > 0$, то $b+3 \neq 0$, и мы можем разделить обе части на $(b+3)$:$b+3 = 12\cos^2\alpha$$b = 12\cos^2\alpha - 3$.
Теперь найдем высоту $h$ из уравнения (1): $h^2 = 36 - (b-3)^2$.Выразим $b-3$:$b-3 = (12\cos^2\alpha - 3) - 3 = 12\cos^2\alpha - 6 = 6(2\cos^2\alpha - 1)$.Используя формулу косинуса двойного угла $\cos(2\alpha) = 2\cos^2\alpha - 1$, получаем:$b-3 = 6\cos(2\alpha)$.
Подставим это в выражение для $h^2$:$h^2 = 36 - (6\cos(2\alpha))^2 = 36 - 36\cos^2(2\alpha) = 36(1-\cos^2(2\alpha)) = 36\sin^2(2\alpha)$.Так как $h$ — это высота, $h > 0$. Для существования трапеции угол $\alpha$ должен быть острым, поэтому $0 < 2\alpha < \pi$, и $\sin(2\alpha) > 0$.Следовательно, $h = 6\sin(2\alpha)$.
Наконец, вычислим площадь трапеции $ABCD$:$S = \frac{AD+BC}{2} \cdot h = \frac{3+b}{2} \cdot h$$S = \frac{3+(12\cos^2\alpha - 3)}{2} \cdot 6\sin(2\alpha)$$S = \frac{12\cos^2\alpha}{2} \cdot 6\sin(2\alpha)$$S = 6\cos^2\alpha \cdot 6\sin(2\alpha)$$S = 36\cos^2\alpha\sin(2\alpha)$.
Эту формулу можно также представить в виде $S = 72\sin\alpha\cos^3\alpha$.
Ответ: $36\cos^2\alpha\sin(2\alpha)$.
№1397 (с. 361)
Условие. №1397 (с. 361)
скриншот условия

1397 В остроугольном треугольнике ABC сторона AB больше стороны ВС, отрезки AM и CN — высоты треугольника, точка О — центр описанной окружности. Угол ABC равен β, а площадь четырёхугольника NOMB равна S. Найдите сторону AC.
Решение 2. №1397 (с. 361)

Решение 3. №1397 (с. 361)


Решение 4. №1397 (с. 361)

Решение 6. №1397 (с. 361)



Решение 9. №1397 (с. 361)


Решение 11. №1397 (с. 361)
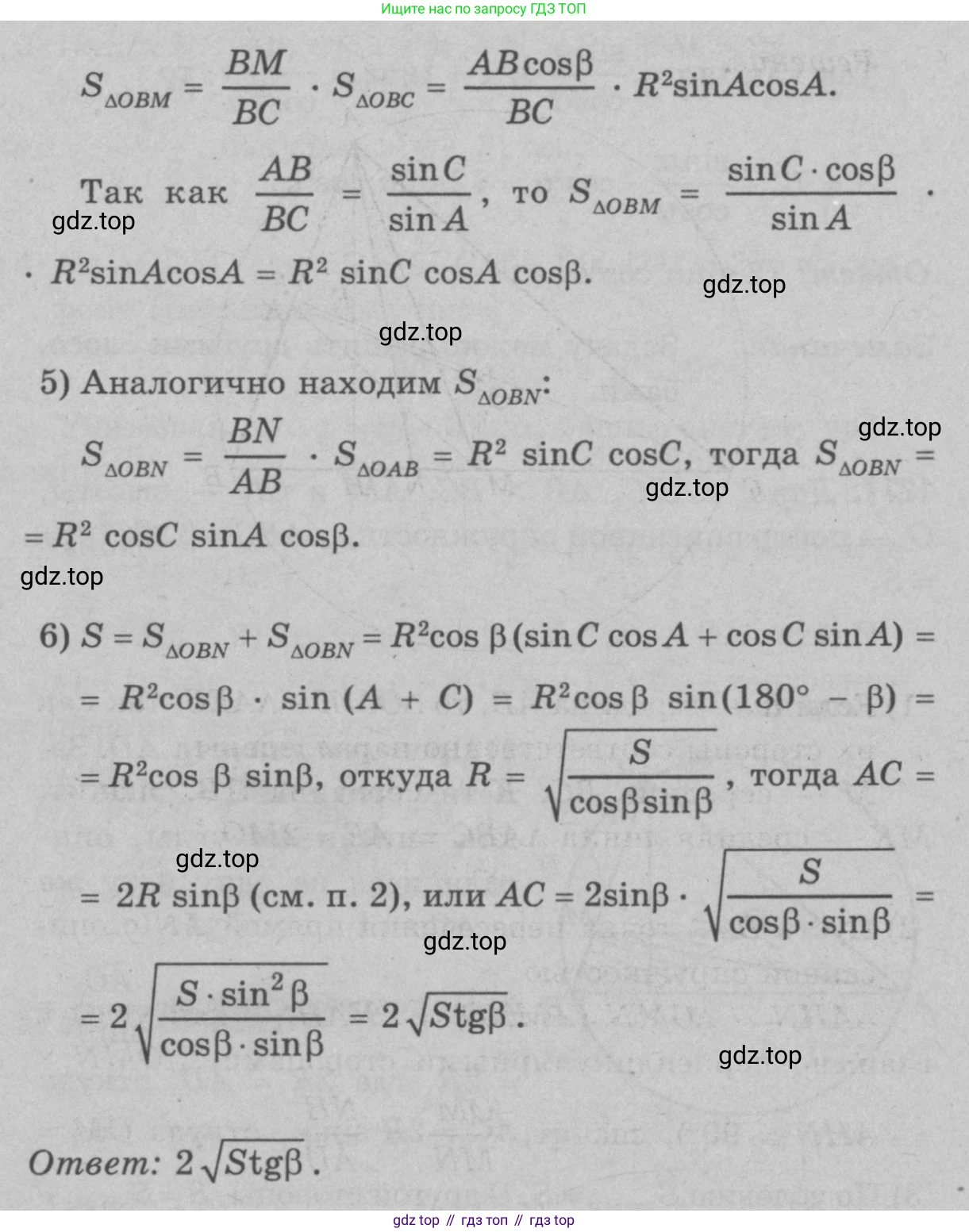
Пусть $R$ — радиус описанной окружности треугольника $ABC$. Согласно обобщенной теореме синусов, сторону $AC$ можно выразить через радиус описанной окружности и противолежащий угол $\angle ABC = \beta$:$$ AC = 2R \sin\beta $$Таким образом, задача сводится к нахождению радиуса $R$.
Площадь четырехугольника $NOMB$ равна сумме площадей треугольников $OMB$ и $ONB$:$$ S = S_{NOMB} = S_{\triangle OMB} + S_{\triangle ONB} $$Выразим площади этих треугольников, используя формулу $S = \frac{1}{2}ab\sin\gamma$. Сторона $OB$ в обоих треугольниках является радиусом описанной окружности, т.е. $OB = R$.
Рассмотрим отрезки $BM$ и $BN$.Поскольку $AM$ — высота, треугольник $AMB$ является прямоугольным с $\angle AMB = 90^\circ$. Из него находим:$$ BM = AB \cos(\angle ABM) = AB \cos\beta $$Поскольку $CN$ — высота, треугольник $CNB$ является прямоугольным с $\angle CNB = 90^\circ$. Из него находим:$$ BN = BC \cos(\angle CBN) = BC \cos\beta $$
Теперь найдем углы $\angle OBM$ и $\angle OBN$.Точка $O$ — центр описанной окружности. Треугольники $AOB$ и $BOC$ равнобедренные, так как $OA=OB=OC=R$.В равнобедренном треугольнике $BOC$ угол при вершине $\angle BOC$ является центральным и опирается на дугу $BC$. Его величина в два раза больше вписанного угла $\angle BAC$, т.е. $\angle BOC = 2\angle A$. Тогда углы при основании равны:$$ \angle OBC = \angle OCB = \frac{180^\circ - 2\angle A}{2} = 90^\circ - \angle A $$Так как точка $M$ лежит на стороне $BC$, то $\angle OBM = \angle OBC = 90^\circ - \angle A$.
Аналогично, в равнобедренном треугольнике $AOB$ центральный угол $\angle AOB = 2\angle C$. Углы при основании равны:$$ \angle OBA = \angle OAB = \frac{180^\circ - 2\angle C}{2} = 90^\circ - \angle C $$Так как точка $N$ лежит на стороне $AB$, то $\angle OBN = \angle OBA = 90^\circ - \angle C$.
Теперь можем вычислить площади треугольников $OMB$ и $ONB$:$$ S_{\triangle OMB} = \frac{1}{2} OB \cdot BM \cdot \sin(\angle OBM) = \frac{1}{2} R \cdot (AB \cos\beta) \cdot \sin(90^\circ - \angle A) = \frac{1}{2} R \cdot AB \cos\beta \cos A $$$$ S_{\triangle ONB} = \frac{1}{2} OB \cdot BN \cdot \sin(\angle OBN) = \frac{1}{2} R \cdot (BC \cos\beta) \cdot \sin(90^\circ - \angle C) = \frac{1}{2} R \cdot BC \cos\beta \cos C $$
Складывая эти площади, получаем площадь четырехугольника $NOMB$:$$ S = S_{\triangle OMB} + S_{\triangle ONB} = \frac{1}{2} R \cos\beta (AB \cos A + BC \cos C) $$Применим теорему синусов для сторон $AB$ и $BC$: $AB = 2R\sin C$ и $BC = 2R\sin A$. Подставим их в выражение для площади:$$ S = \frac{1}{2} R \cos\beta ( (2R\sin C) \cos A + (2R\sin A) \cos C ) $$$$ S = R^2 \cos\beta (\sin C \cos A + \sin A \cos C) $$Используя формулу синуса суммы углов $\sin(A+C) = \sin A \cos C + \cos A \sin C$, получаем:$$ S = R^2 \cos\beta \sin(A+C) $$В треугольнике $ABC$ сумма углов $A+B+C=180^\circ$, поэтому $A+C = 180^\circ - B = 180^\circ - \beta$.Следовательно, $\sin(A+C) = \sin(180^\circ - \beta) = \sin\beta$.Подставляем это в формулу для площади:$$ S = R^2 \cos\beta \sin\beta $$
Из этого выражения найдем $R^2$:$$ R^2 = \frac{S}{\sin\beta \cos\beta} $$Теперь вернемся к формуле для стороны $AC$:$$ AC = 2R \sin\beta $$Возведем обе части в квадрат:$$ AC^2 = 4R^2 \sin^2\beta $$Подставим найденное выражение для $R^2$:$$ AC^2 = 4 \left( \frac{S}{\sin\beta \cos\beta} \right) \sin^2\beta = 4S \frac{\sin\beta}{\cos\beta} = 4S \tan\beta $$Отсюда находим $AC$:$$ AC = \sqrt{4S \tan\beta} = 2\sqrt{S \tan\beta} $$
Ответ: $AC = 2\sqrt{S \tan\beta}$.
Помогло решение? Оставьте отзыв в комментариях ниже.