Страница 360 - гдз по геометрии 7-9 класс учебник Атанасян, Бутузов

Авторы: Атанасян Л. С., Бутузов В. Ф., Кадомцев С. Б., Позняк Э. Г., Юдина И. И.
Тип: Учебник
Издательство: Просвещение
Год издания: 2023 - 2025
Уровень обучения: базовый
Цвет обложки: синий
ISBN: 978-5-09-102538-5 (2023), 978-5-09-111167-5 (2024)
Допущено Министерством просвещения Российской Федерации
Популярные ГДЗ в 7 классе
Cтраница 360

№1378 (с. 360)
Условие. №1378 (с. 360)
скриншот условия

1378 Из физики известно, что центр тяжести однородной треугольной пластинки находится в точке пересечения медиан. Найдите координаты центра тяжести такой пластинки, если координаты её вершин равны: (х₁; у₁), (x₂; у₂), (х₃; у₃).
Решение 2. №1378 (с. 360)

Решение 3. №1378 (с. 360)

Решение 4. №1378 (с. 360)

Решение 9. №1378 (с. 360)

Решение 11. №1378 (с. 360)
Согласно условию задачи, центр тяжести однородной треугольной пластинки находится в точке пересечения ее медиан. Нам необходимо найти координаты этой точки, зная координаты вершин треугольника: $(x_1; y_1)$, $(x_2; y_2)$, и $(x_3; y_3)$.
Обозначим вершины треугольника как $A(x_1; y_1)$, $B(x_2; y_2)$ и $C(x_3; y_3)$.
Рассмотрим медиану, проведенную из вершины $A$ к середине противолежащей стороны $BC$. Пусть $M_1$ — середина стороны $BC$. Координаты середины отрезка вычисляются как среднее арифметическое координат его концов.
Координаты точки $M_1$ будут:
$x_{M_1} = \frac{x_2 + x_3}{2}$
$y_{M_1} = \frac{y_2 + y_3}{2}$
Таким образом, точка $M_1$ имеет координаты $(\frac{x_2 + x_3}{2}; \frac{y_2 + y_3}{2})$.
Из геометрии известно, что точка пересечения медиан (которую называют центроидом треугольника) делит каждую медиану в отношении 2:1, считая от вершины. Обозначим центр тяжести как точку $O(x_O; y_O)$. Эта точка делит медиану $AM_1$ так, что отношение $AO$ к $OM_1$ равно $2:1$.
Воспользуемся формулой для нахождения координат точки, делящей отрезок в заданном отношении. Если точка $P(x; y)$ делит отрезок с концами в точках $P_1(x_a; y_a)$ и $P_2(x_b; y_b)$ в отношении $m:n$, то ее координаты вычисляются по формулам:
$x = \frac{n \cdot x_a + m \cdot x_b}{m + n}$
$y = \frac{n \cdot y_a + m \cdot y_b}{m + n}$
В нашем случае точка $O$ делит отрезок $AM_1$ в отношении $m:n = 2:1$. Координаты точки $A$ — это $(x_1; y_1)$, а координаты точки $M_1$ — это $(\frac{x_2 + x_3}{2}; \frac{y_2 + y_3}{2})$.
Подставим эти значения в формулы для вычисления координат $x_O$ и $y_O$:
$x_O = \frac{1 \cdot x_1 + 2 \cdot (\frac{x_2 + x_3}{2})}{1 + 2} = \frac{x_1 + (x_2 + x_3)}{3} = \frac{x_1 + x_2 + x_3}{3}$
$y_O = \frac{1 \cdot y_1 + 2 \cdot (\frac{y_2 + y_3}{2})}{1 + 2} = \frac{y_1 + (y_2 + y_3)}{3} = \frac{y_1 + y_2 + y_3}{3}$
Таким образом, мы получили, что координаты центра тяжести треугольной пластинки являются средним арифметическим соответствующих координат ее вершин.
Ответ: $(\frac{x_1 + x_2 + x_3}{3}; \frac{y_1 + y_2 + y_3}{3})$
№1379 (с. 360)
Условие. №1379 (с. 360)
скриншот условия

1379 Вершины треугольника ABC имеют координаты A (−3; 0), B (0; 4), C (3; 0). Биссектриса угла А пересекает сторону ВС в точке D. Найдите координаты точки D.
Решение 2. №1379 (с. 360)

Решение 3. №1379 (с. 360)


Решение 4. №1379 (с. 360)

Решение 9. №1379 (с. 360)

Решение 11. №1379 (с. 360)
Чтобы найти координаты точки D, воспользуемся свойством биссектрисы угла треугольника. Биссектриса угла треугольника делит противолежащую сторону на отрезки, пропорциональные прилежащим сторонам. Для биссектрисы AD угла A в треугольнике ABC справедливо соотношение:
$$ \frac{BD}{DC} = \frac{AB}{AC} $$
Для применения этого свойства нам необходимо сначала найти длины сторон AB и AC.
1. Вычисление длин сторон AB и AC
Длину отрезка между двумя точками с координатами $(x_1, y_1)$ и $(x_2, y_2)$ находим по формуле:
$$ d = \sqrt{(x_2 - x_1)^2 + (y_2 - y_1)^2} $$
Имеем координаты вершин: A(-3; 0), B(0; 4), C(3; 0).
Найдем длину стороны AB:
$$ AB = \sqrt{(0 - (-3))^2 + (4 - 0)^2} = \sqrt{3^2 + 4^2} = \sqrt{9 + 16} = \sqrt{25} = 5 $$
Найдем длину стороны AC:
$$ AC = \sqrt{(3 - (-3))^2 + (0 - 0)^2} = \sqrt{6^2 + 0^2} = \sqrt{36} = 6 $$
2. Определение отношения, в котором точка D делит сторону BC
Теперь мы можем найти отношение, в котором биссектриса AD делит сторону BC:
$$ \frac{BD}{DC} = \frac{AB}{AC} = \frac{5}{6} $$
Таким образом, точка D делит отрезок BC в отношении $5:6$, считая от точки B.
3. Нахождение координат точки D
Координаты точки D, которая делит отрезок BC с концами в точках $B(x_B, y_B)$ и $C(x_C, y_C)$ в отношении $m:n$, вычисляются по формулам деления отрезка в данном отношении:
$$ x_D = \frac{n \cdot x_B + m \cdot x_C}{m + n} $$
$$ y_D = \frac{n \cdot y_B + m \cdot y_C}{m + n} $$
Подставим известные значения: $B(0; 4)$, $C(3; 0)$, $m=5$, $n=6$.
Координата x точки D:
$$ x_D = \frac{6 \cdot 0 + 5 \cdot 3}{5 + 6} = \frac{0 + 15}{11} = \frac{15}{11} $$
Координата y точки D:
$$ y_D = \frac{6 \cdot 4 + 5 \cdot 0}{5 + 6} = \frac{24 + 0}{11} = \frac{24}{11} $$
Следовательно, координаты точки D есть $(\frac{15}{11}; \frac{24}{11})$.
Ответ: $D(\frac{15}{11}; \frac{24}{11})$.
№1380 (с. 360)
Условие. №1380 (с. 360)
скриншот условия

1380 В треугольнике ABC: AC = 9 см, ВС = 12 см. Медианы AM и BN взаимно перпендикулярны. Найдите AB.
Решение 2. №1380 (с. 360)

Решение 3. №1380 (с. 360)


Решение 4. №1380 (с. 360)

Решение 6. №1380 (с. 360)



Решение 9. №1380 (с. 360)


Решение 11. №1380 (с. 360)
Дано:
Треугольник $ABC$.
$AC = 9$ см.
$BC = 12$ см.
$AM$ – медиана.
$BN$ – медиана.
$AM \perp BN$.
Найти:
$AB$.
Решение:
1. Пусть медианы $AM$ и $BN$ пересекаются в точке $O$. По свойству медиан, точка их пересечения делит каждую медиану в отношении 2:1, считая от вершины.
Следовательно, $AO : OM = 2:1$ и $BO : ON = 2:1$.
2. Так как $AM$ и $BN$ – медианы, то $M$ – середина $BC$, а $N$ – середина $AC$. Найдем длины отрезков $MC$ и $NC$:
$MC = \frac{1}{2} BC = \frac{12}{2} = 6$ см.
$NC = \frac{1}{2} AC = \frac{9}{2} = 4,5$ см.
3. По условию, медианы $AM$ и $BN$ взаимно перпендикулярны, значит $\angle AOB = 90^\circ$. Следовательно, треугольники $\triangle AON$, $\triangle BOM$ и $\triangle AOB$ являются прямоугольными.
4. Введем переменные. Пусть $OM = x$ и $ON = y$. Тогда, согласно свойству точки пересечения медиан, $AO = 2x$ и $BO = 2y$.
5. Применим теорему Пифагора для прямоугольных треугольников $\triangle AON$ и $\triangle BOM$:
- В $\triangle AON$ (где $\angle AON = 90^\circ$):
$AN^2 = AO^2 + ON^2$
$(4,5)^2 = (2x)^2 + y^2$
$20,25 = 4x^2 + y^2$ (1) - В $\triangle BOM$ (где $\angle BOM = 90^\circ$):
$BM^2 = BO^2 + OM^2$
$6^2 = (2y)^2 + x^2$
$36 = 4y^2 + x^2$ (2)
6. Мы получили систему из двух уравнений. Сложим их:
$(4x^2 + y^2) + (x^2 + 4y^2) = 20,25 + 36$
$5x^2 + 5y^2 = 56,25$
Разделим обе части уравнения на 5:
$x^2 + y^2 = 11,25$
7. Теперь найдем длину стороны $AB$. Рассмотрим прямоугольный треугольник $\triangle AOB$ (где $\angle AOB = 90^\circ$). По теореме Пифагора:
$AB^2 = AO^2 + BO^2$
Подставим выражения через $x$ и $y$:
$AB^2 = (2x)^2 + (2y)^2 = 4x^2 + 4y^2 = 4(x^2 + y^2)$
Из шага 6 мы знаем, что $x^2 + y^2 = 11,25$. Подставим это значение:
$AB^2 = 4 \cdot 11,25 = 45$
$AB = \sqrt{45} = \sqrt{9 \cdot 5} = 3\sqrt{5}$ см.
Ответ: $3\sqrt{5}$ см.
№1381 (с. 360)
Условие. №1381 (с. 360)
скриншот условия

1381 Найдите координаты центра тяжести системы трёх масс m₁, m₂ и m₃, сосредоточенных соответственно в точках A₁ (x₁; y₁), А₂ (х₂; у₂), А₃ (x₃; у₃).
Решение 2. №1381 (с. 360)

Решение 3. №1381 (с. 360)

Решение 4. №1381 (с. 360)

Решение 9. №1381 (с. 360)

Решение 11. №1381 (с. 360)
Центр тяжести (или центр масс) системы материальных точек определяется как точка, координаты которой являются средневзвешенными значениями координат этих точек. В качестве весов при усреднении используются массы соответствующих точек.
Рассмотрим систему из трёх масс $m_1, m_2, m_3$, которые сосредоточены в точках $A_1(x_1; y_1)$, $A_2(x_2; y_2)$ и $A_3(x_3; y_3)$ соответственно. Пусть $C(x_c; y_c)$ — искомый центр тяжести.
Координаты центра тяжести вычисляются для каждой оси независимо.
Абсцисса центра тяжести $x_c$ равна сумме произведений масс на соответствующие абсциссы, деленной на общую массу системы:
$x_c = \frac{m_1 x_1 + m_2 x_2 + m_3 x_3}{m_1 + m_2 + m_3}$
Аналогично, ордината центра тяжести $y_c$ равна сумме произведений масс на соответствующие ординаты, деленной на общую массу системы:
$y_c = \frac{m_1 y_1 + m_2 y_2 + m_3 y_3}{m_1 + m_2 + m_3}$
В этих формулах числитель представляет собой статический момент системы масс относительно соответствующей оси, а знаменатель $M = m_1 + m_2 + m_3$ — это общая масса системы.
Ответ: $x_c = \frac{m_1 x_1 + m_2 x_2 + m_3 x_3}{m_1 + m_2 + m_3}$, $y_c = \frac{m_1 y_1 + m_2 y_2 + m_3 y_3}{m_1 + m_2 + m_3}$.
№1382 (с. 360)
Условие. №1382 (с. 360)
скриншот условия

1382 В каждом из следующих случаев на оси абсцисс найдите точку M, для которой сумма её расстояний от точек A и B имеет наименьшее значение:
а) A (2; 3), B (4; −5);
б) A (−2; 4), В (3; 1).
Решение 2. №1382 (с. 360)


Решение 3. №1382 (с. 360)


Решение 4. №1382 (с. 360)

Решение 6. №1382 (с. 360)



Решение 9. №1382 (с. 360)



Решение 11. №1382 (с. 360)
а) Даны точки $A(2; 3)$ и $B(4; -5)$. Искомая точка $M$ лежит на оси абсцисс, следовательно, ее координаты имеют вид $M(x; 0)$. Задача состоит в том, чтобы найти такое значение $x$, при котором сумма расстояний $AM + BM$ будет наименьшей.
Обратим внимание, что ординаты точек $A$ ($y_A=3$) и $B$ ($y_B=-5$) имеют разные знаки. Это означает, что точки лежат по разные стороны от оси абсцисс ($Ox$). В этом случае, согласно свойству кратчайшего пути, сумма расстояний $AM + BM$ будет минимальной, если точка $M$ лежит на отрезке прямой, соединяющей точки $A$ и $B$. Таким образом, искомая точка $M$ — это точка пересечения прямой $AB$ с осью абсцисс.
Составим уравнение прямой, проходящей через точки $A(2; 3)$ и $B(4; -5)$, используя каноническое уравнение прямой:$\frac{x - x_A}{x_B - x_A} = \frac{y - y_A}{y_B - y_A}$
Подставим координаты точек $A$ и $B$:$\frac{x - 2}{4 - 2} = \frac{y - 3}{-5 - 3}$
Упростим выражение:$\frac{x - 2}{2} = \frac{y - 3}{-8}$
Так как точка $M$ лежит на оси абсцисс, ее ордината $y=0$. Подставим это значение в уравнение прямой, чтобы найти абсциссу точки $M$:$\frac{x - 2}{2} = \frac{0 - 3}{-8}$
$\frac{x - 2}{2} = \frac{-3}{-8} = \frac{3}{8}$
Теперь решим уравнение относительно $x$:$x - 2 = 2 \cdot \frac{3}{8} = \frac{6}{8} = \frac{3}{4}$
$x = 2 + \frac{3}{4} = \frac{8}{4} + \frac{3}{4} = \frac{11}{4}$
Следовательно, координаты искомой точки $M$ — это $(\frac{11}{4}; 0)$.
Ответ: $M(\frac{11}{4}; 0)$.
б) Даны точки $A(-2; 4)$ и $B(3; 1)$. Точка $M$ лежит на оси абсцисс, поэтому ее координаты $M(x; 0)$.
В этом случае ординаты точек $A$ ($y_A=4$) и $B$ ($y_B=1$) обе положительны. Это означает, что обе точки лежат по одну сторону от оси абсцисс ($Ox$).
Для нахождения точки $M$, которая минимизирует сумму $AM + BM$, используется метод симметричного отражения. Отразим одну из точек, например $B$, симметрично относительно оси абсцисс. Координаты отраженной точки $B'$ будут $(3; -1)$.
Для любой точки $M$ на оси $Ox$ расстояние $BM$ равно расстоянию $B'M$ (так как ось $Ox$ является серединным перпендикуляром к отрезку $BB'$). Следовательно, задача минимизации суммы $AM + BM$ эквивалентна задаче минимизации суммы $AM + B'M$.
Сумма $AM + B'M$ будет наименьшей, когда точки $A$, $M$ и $B'$ лежат на одной прямой (поскольку $A$ и $B'$ находятся по разные стороны от оси $Ox$). Таким образом, искомая точка $M$ — это точка пересечения прямой $AB'$ с осью абсцисс.
Составим уравнение прямой, проходящей через точки $A(-2; 4)$ и $B'(3; -1)$:$\frac{x - x_A}{x_{B'} - x_A} = \frac{y - y_A}{y_{B'} - y_A}$
Подставим координаты:$\frac{x - (-2)}{3 - (-2)} = \frac{y - 4}{-1 - 4}$
$\frac{x + 2}{5} = \frac{y - 4}{-5}$
Поскольку точка $M$ лежит на оси абсцисс, ее ордината $y=0$. Подставим это значение в уравнение:$\frac{x + 2}{5} = \frac{0 - 4}{-5}$
$\frac{x + 2}{5} = \frac{-4}{-5} = \frac{4}{5}$
Решим уравнение относительно $x$:$x + 2 = 4$
$x = 2$
Следовательно, координаты искомой точки $M$ — это $(2; 0)$.
Ответ: $M(2; 0)$.
№1383 (с. 360)
Условие. №1383 (с. 360)
скриншот условия

1383 Докажите, что:
а) уравнение Ax + Ву + С = 0, где A и B одновременно не равны нулю, является уравнением прямой;
б) уравнение x² − xy − 2 = 0 не является уравнением окружности.
Решение 2. №1383 (с. 360)


Решение 3. №1383 (с. 360)

Решение 4. №1383 (с. 360)

Решение 6. №1383 (с. 360)


Решение 9. №1383 (с. 360)

Решение 11. №1383 (с. 360)
а) Доказательство того, что уравнение $Ax + By + C = 0$ (где $A$ и $B$ одновременно не равны нулю) является уравнением прямой, основано на рассмотрении двух возможных случаев.
1. Случай, когда $B \neq 0$. В этом случае мы можем выразить $y$ из уравнения:
$By = -Ax - C$
$y = (-\frac{A}{B})x - \frac{C}{B}$
Полученное уравнение имеет вид $y = kx + m$, где $k = -\frac{A}{B}$ и $m = -\frac{C}{B}$. Это каноническое уравнение прямой с угловым коэффициентом.
2. Случай, когда $B = 0$. Согласно условию, $A$ и $B$ не могут быть равны нулю одновременно, поэтому если $B = 0$, то $A \neq 0$. Уравнение принимает вид:
$Ax + C = 0$
$Ax = -C$
$x = -\frac{C}{A}$
Это уравнение задает вертикальную прямую, параллельную оси ординат ($Oy$) и проходящую через точку с абсциссой $x = -\frac{C}{A}$.
Поскольку в обоих возможных случаях уравнение описывает прямую, утверждение доказано.
Ответ: Уравнение $Ax + By + C = 0$, где $A$ и $B$ не равны нулю одновременно, всегда можно привести к виду $y=kx+m$ (если $B \neq 0$) или к виду $x=c$ (если $B=0$ и $A \neq 0$), которые являются уравнениями прямой, что и требовалось доказать.
б) Общее уравнение окружности с центром в точке $(a; b)$ и радиусом $R$ имеет вид:
$(x-a)^2 + (y-b)^2 = R^2$
Если раскрыть скобки в этом уравнении, мы получим:
$x^2 - 2ax + a^2 + y^2 - 2by + b^2 = R^2$
Приведя его к общему виду, получим:
$x^2 + y^2 - 2ax - 2by + (a^2 + b^2 - R^2) = 0$
Ключевыми особенностями уравнения окружности являются:
1. Коэффициенты при $x^2$ и $y^2$ равны (и не равны нулю).
2. Отсутствует член, содержащий произведение переменных $xy$.
Теперь рассмотрим данное в задаче уравнение: $x^2 - xy - 2 = 0$.
В этом уравнении присутствует член $-xy$. Как было показано выше, в общем уравнении окружности такой член отсутствует. Кроме того, в данном уравнении отсутствует член $y^2$. По этим причинам данное уравнение не может задавать окружность.
Ответ: Уравнение $x^2 - xy - 2 = 0$ не является уравнением окружности, так как общее уравнение окружности не содержит члена с произведением переменных $xy$, а также требует наличия члена $y^2$ с тем же коэффициентом, что и у $x^2$.
№1384 (с. 360)
Условие. №1384 (с. 360)
скриншот условия

1384 Найдите точки пересечения двух окружностей, заданных уравнениями (x − 1)² + (у − 2)² = 4 и x² + у² = 1, и вычислите длину их общей хорды.
Решение 2. №1384 (с. 360)

Решение 3. №1384 (с. 360)

Решение 4. №1384 (с. 360)

Решение 6. №1384 (с. 360)


Решение 9. №1384 (с. 360)

Решение 11. №1384 (с. 360)
Для нахождения точек пересечения двух окружностей необходимо решить систему уравнений, которыми они заданы:
$\begin{cases} (x-1)^2 + (y-2)^2 = 4 \\ x^2 + y^2 = 1 \end{cases}$
Раскроем скобки в первом уравнении:
$x^2 - 2x + 1 + y^2 - 4y + 4 = 4$
Перегруппируем слагаемые:
$(x^2 + y^2) - 2x - 4y + 5 = 4$
Воспользуемся вторым уравнением системы, $x^2 + y^2 = 1$, и подставим это значение в преобразованное первое уравнение:
$1 - 2x - 4y + 5 = 4$
$6 - 2x - 4y = 4$
$-2x - 4y = 4 - 6$
$-2x - 4y = -2$
Разделим обе части уравнения на $-2$:
$x + 2y = 1$
Полученное линейное уравнение является уравнением прямой, проходящей через точки пересечения окружностей (это их радикальная ось). Теперь задача сводится к нахождению точек пересечения этой прямой и одной из окружностей (выберем вторую, так как ее уравнение проще):
$\begin{cases} x + 2y = 1 \\ x^2 + y^2 = 1 \end{cases}$
Из первого уравнения выразим $x$:
$x = 1 - 2y$
Подставим это выражение во второе уравнение:
$(1 - 2y)^2 + y^2 = 1$
$1 - 4y + 4y^2 + y^2 = 1$
$5y^2 - 4y = 0$
Вынесем $y$ за скобку:
$y(5y - 4) = 0$
Это уравнение имеет два корня:
$y_1 = 0$
$5y_2 - 4 = 0 \implies y_2 = \frac{4}{5}$
Теперь найдем соответствующие значения $x$ для каждого из найденных $y$, используя формулу $x = 1 - 2y$:
При $y_1 = 0$, $x_1 = 1 - 2(0) = 1$.
При $y_2 = \frac{4}{5}$, $x_2 = 1 - 2\left(\frac{4}{5}\right) = 1 - \frac{8}{5} = \frac{5-8}{5} = -\frac{3}{5}$.
Таким образом, мы нашли две точки пересечения: $A(1, 0)$ и $B\left(-\frac{3}{5}, \frac{4}{5}\right)$.
Далее, вычислим длину общей хорды. Общая хорда — это отрезок, соединяющий точки пересечения $A$ и $B$. Длину этого отрезка можно найти по формуле расстояния между двумя точками:
$L = \sqrt{(x_2 - x_1)^2 + (y_2 - y_1)^2}$
$L = \sqrt{\left(-\frac{3}{5} - 1\right)^2 + \left(\frac{4}{5} - 0\right)^2} = \sqrt{\left(-\frac{8}{5}\right)^2 + \left(\frac{4}{5}\right)^2}$
$L = \sqrt{\frac{64}{25} + \frac{16}{25}} = \sqrt{\frac{80}{25}} = \sqrt{\frac{16 \cdot 5}{25}} = \frac{\sqrt{16}\sqrt{5}}{\sqrt{25}} = \frac{4\sqrt{5}}{5}$
Ответ: точки пересечения $(1, 0)$ и $(-\frac{3}{5}, \frac{4}{5})$; длина общей хорды $\frac{4\sqrt{5}}{5}$.
№1385 (с. 360)
Условие. №1385 (с. 360)
скриншот условия

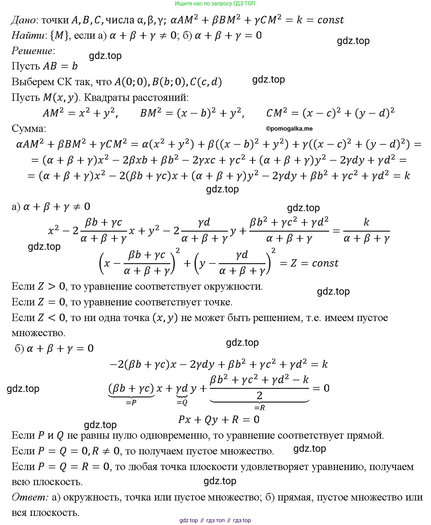
1385 Даны три точки A, B, C и три числа α, β, γ. Найдите множество всех точек M, для каждой из которых сумма αAM² + βВМ² + γСМ² имеет постоянное значение, если:
а) α + β + γ ≠ 0;
б) α + β + γ = 0.
Решение 2. №1385 (с. 360)


Решение 3. №1385 (с. 360)

Решение 4. №1385 (с. 360)

Решение 9. №1385 (с. 360)

Решение 11. №1385 (с. 360)
а) $\alpha + \beta + \gamma \ne 0$
Пусть искомое множество точек $M$ определяется уравнением $\alpha AM^2 + \beta BM^2 + \gamma CM^2 = k$, где $k$ — некоторая константа.
Обозначим сумму коэффициентов $S = \alpha + \beta + \gamma$. По условию этого подпункта, $S \ne 0$. Введем точку $P$ — барицентр (или центр масс) системы точек $A, B, C$ с массами $\alpha, \beta, \gamma$ соответственно. Положение точки $P$ определяется векторным равенством $\alpha \vec{PA} + \beta \vec{PB} + \gamma \vec{PC} = \vec{0}$. Точка $P$ имеет постоянное положение, так как оно зависит только от данных точек $A, B, C$ и чисел $\alpha, \beta, \gamma$.
Воспользуемся обобщенной теоремой Лейбница (формулой для скалярной функции Лежандра), которая связывает данную сумму с расстоянием до барицентра. Для любой точки $M$ справедливо равенство:
$\alpha AM^2 + \beta BM^2 + \gamma CM^2 = (\alpha + \beta + \gamma)PM^2 + (\alpha PA^2 + \beta PB^2 + \gamma PC^2)$
Подставим известные нам значения. Левая часть равна константе $k$. Сумма $\alpha + \beta + \gamma = S$. Выражение $(\alpha PA^2 + \beta PB^2 + \gamma PC^2)$ также является константой, так как точки $A, B, C, P$ и числа $\alpha, \beta, \gamma$ фиксированы. Обозначим эту константу $C_P$.
Получаем уравнение: $k = S \cdot PM^2 + C_P$.
Выразим квадрат расстояния $PM^2$:
$PM^2 = \frac{k - C_P}{S}$
Правая часть этого уравнения — константа. Обозначим ее $R^2$. Уравнение $PM^2 = R^2$ задает множество точек $M$, удаленных от фиксированной точки $P$ на фиксированное расстояние $R = \sqrt{R^2}$. В зависимости от значения константы $k$, величина $R^2$ может быть положительной, нулевой или отрицательной. Соответственно, искомое множество точек является сферой, одной точкой $P$ или пустым множеством. В общем случае это множество является сферой.
Ответ: Множество точек $M$ является сферой (в вырожденных случаях — точкой или пустым множеством), центр которой — барицентр точек $A, B, C$ с массами $\alpha, \beta, \gamma$.
б) $\alpha + \beta + \gamma = 0$
В этом случае подход, использованный в пункте а), неприменим, так как он привел бы к делению на ноль. Используем векторный метод. Пусть $O$ — произвольное начало координат, а $\vec{m}, \vec{a}, \vec{b}, \vec{c}$ — радиус-векторы точек $M, A, B, C$ соответственно. Тогда квадрат расстояния $AM^2$ можно записать как $AM^2 = |\vec{m} - \vec{a}|^2 = |\vec{m}|^2 - 2\vec{m}\cdot\vec{a} + |\vec{a}|^2$.
Запишем исходное условие $\alpha AM^2 + \beta BM^2 + \gamma CM^2 = k$ в векторной форме:
$\alpha (|\vec{m}|^2 - 2\vec{m}\cdot\vec{a} + |\vec{a}|^2) + \beta (|\vec{m}|^2 - 2\vec{m}\cdot\vec{b} + |\vec{b}|^2) + \gamma (|\vec{m}|^2 - 2\vec{m}\cdot\vec{c} + |\vec{c}|^2) = k$
Сгруппируем слагаемые:
$(\alpha+\beta+\gamma)|\vec{m}|^2 - 2\vec{m}\cdot(\alpha\vec{a} + \beta\vec{b} + \gamma\vec{c}) + (\alpha|\vec{a}|^2 + \beta|\vec{b}|^2 + \gamma|\vec{c}|^2) = k$
По условию $\alpha+\beta+\gamma=0$, поэтому первое слагаемое $(\alpha+\beta+\gamma)|\vec{m}|^2$ обращается в ноль. Уравнение упрощается:
$-2\vec{m}\cdot(\alpha\vec{a} + \beta\vec{b} + \gamma\vec{c}) + (\alpha|\vec{a}|^2 + \beta|\vec{b}|^2 + \gamma|\vec{c}|^2) = k$
Обозначим постоянный вектор $\vec{n} = \alpha\vec{a} + \beta\vec{b} + \gamma\vec{c}$ и постоянную скалярную величину $C_0 = \alpha|\vec{a}|^2 + \beta|\vec{b}|^2 + \gamma|\vec{c}|^2$. Тогда уравнение принимает вид:
$-2\vec{m}\cdot\vec{n} + C_0 = k$
или
$\vec{m}\cdot\vec{n} = \frac{C_0 - k}{2}$
Это уравнение задает плоскость, перпендикулярную вектору $\vec{n}$.
В вырожденном случае, когда $\vec{n}=\vec{0}$ (что возможно, если точки $A, B, C$ коллинеарны и коэффициенты $\alpha, \beta, \gamma$ находятся в определенном соотношении), уравнение превращается в $0 = C_0 - k$. Тогда, если константа $k$ такова, что $k = C_0$, решением является все пространство. Если же $k \ne C_0$, — пустое множество. В общем (невырожденном) случае искомое множество точек является плоскостью.
Ответ: Множество точек $M$ является плоскостью (в вырожденных случаях — всем пространством или пустым множеством), перпендикулярной вектору $\vec{n} = \alpha\vec{OA} + \beta\vec{OB} + \gamma\vec{OC}$, где $O$ — произвольная точка (начало координат).
№1386 (с. 360)
Условие. №1386 (с. 360)
скриншот условия

1386 Даны прямая a и точка А, не лежащая на ней. Для каждой точки М₁ прямой а на луче AM₁ взята такая точка M, что AM₁ ⋅ AM = k, где k — данное положительное число. Найдите множество всех точек M.
Решение 2. №1386 (с. 360)

Решение 3. №1386 (с. 360)

Решение 4. №1386 (с. 360)

Решение 6. №1386 (с. 360)




Решение 9. №1386 (с. 360)


Решение 11. №1386 (с. 360)
Пусть $P$ — основание перпендикуляра, опущенного из точки $A$ на прямую $a$. Расстояние от точки $A$ до прямой $a$ обозначим через $h$, то есть $AP = h$.
Рассмотрим точку $D$ на луче $AP$ такую, что $AP \cdot AD = k$. Так как $AP = h$, то $h \cdot AD = k$, откуда $AD = \frac{k}{h}$. Эта точка $D$ является фиксированной, так как $A$, $P$ и $k$ заданы.
Пусть $M_1$ — произвольная точка на прямой $a$, а $M$ — соответствующая точка на луче $AM_1$, для которой выполняется условие $AM_1 \cdot AM = k$.
Мы можем переписать это условие, используя точку $D$:$AM_1 \cdot AM = AP \cdot AD$
Из этого равенства следует пропорция:$\frac{AM}{AP} = \frac{AD}{AM_1}$
Теперь рассмотрим треугольники $\triangle AMD$ и $\triangle APM_1$. У этих треугольников общий угол $\angle DAM = \angle PAM_1$. Кроме того, стороны, образующие этот угол, пропорциональны, как мы показали выше. Следовательно, по второму признаку подобия треугольников (по двум сторонам и углу между ними), $\triangle AMD \sim \triangle APM_1$.
Из подобия треугольников следует равенство соответствующих углов: $\angle AMD = \angle APM_1$.
По построению, $AP$ является перпендикуляром к прямой $a$, на которой лежит отрезок $PM_1$. Значит, угол $\angle APM_1$ — прямой, то есть $\angle APM_1 = 90^\circ$.
Следовательно, $\angle AMD = 90^\circ$. Это означает, что точка $M$ лежит на окружности, построенной на отрезке $AD$ как на диаметре.
Это рассуждение верно для любой точки $M_1$ на прямой $a$. Когда точка $M_1$ пробегает всю прямую $a$, луч $AM_1$ описывает все направления из точки $A$ (кроме направления, противоположного лучу $AP$), и точка $M$ пробегает все точки построенной окружности.
Заметим, что точка $A$ не принадлежит искомому множеству. Если бы $M=A$, то $AM=0$, что противоречит условию $AM \cdot AM_1 = k > 0$. Точка $A$ является предельной для множества точек $M$, когда точка $M_1$ уходит в бесконечность по прямой $a$.
Ответ: Искомое множество точек $M$ — это окружность, проходящая через точку $A$, с центром на прямой, перпендикулярной прямой $a$ и проходящей через $A$. Диаметр этой окружности, исходящий из точки $A$, равен $\frac{k}{h}$, где $h$ — расстояние от точки $A$ до прямой $a$. Сама точка $A$ исключается из этого множества.
№1387 (с. 360)
Условие. №1387 (с. 360)
скриншот условия

1387 Точка О не лежит на данной окружности. Для каждой точки M₁ окружности на луче OM₁ взята такая точка M, что OM = k ⋅ OM₁, где k — данное положительное число. Найдите множество всех точек M.
Решение 2. №1387 (с. 360)

Решение 3. №1387 (с. 360)

Решение 4. №1387 (с. 360)

Решение 6. №1387 (с. 360)


Решение 9. №1387 (с. 360)


Решение 11. №1387 (с. 360)
Пусть данная окружность, назовем её $\omega_1$, имеет центр в точке $C_1$ и радиус $R_1$. Точка $O$ не лежит на этой окружности. Для каждой точки $M_1$, принадлежащей окружности $\omega_1$, на луче $OM_1$ строится точка $M$ такая, что выполняется соотношение $OM = k \cdot OM_1$, где $k$ — данное положительное число.
Данное условие означает, что каждая точка $M$ является образом соответствующей точки $M_1$ при гомотетии с центром в точке $O$ и коэффициентом $k$. Поскольку $k>0$, гомотетия является прямой (то есть сохраняет направление от центра). Искомое множество всех точек $M$ — это образ всей окружности $\omega_1$ при этом преобразовании.
Одним из фундаментальных свойств гомотетии является то, что она преобразует окружность в окружность. Следовательно, искомое множество точек $M$ также является окружностью. Обозначим эту новую окружность как $\omega$. Чтобы полностью определить окружность $\omega$, нам нужно найти её центр $C$ и радиус $R$.
Центр $C$ новой окружности $\omega$ является образом центра $C_1$ исходной окружности $\omega_1$ при той же гомотетии. Это значит, что точка $C$ лежит на луче $OC_1$ и её расстояние от центра гомотетии $O$ равно $OC = k \cdot OC_1$. В векторной форме это записывается как $\vec{OC} = k \cdot \vec{OC_1}$.
Радиус $R$ новой окружности $\omega$ равен произведению радиуса $R_1$ исходной окружности $\omega_1$ на коэффициент гомотетии. Так как $k$ — положительное число, радиус будет $R = k \cdot R_1$.
Таким образом, множество всех точек $M$ есть окружность $\omega$ с центром в точке $C$ и радиусом $R$, где $C$ — точка на луче $OC_1$ такая, что $OC = k \cdot OC_1$, а $R = k \cdot R_1$.
Ответ: Множество всех точек $M$ — это окружность, гомотетичная данной окружности относительно центра $O$ с коэффициентом $k$. Если исходная окружность имеет центр $C_1$ и радиус $R_1$, то искомая окружность имеет центр $C$, лежащий на луче $OC_1$ и удовлетворяющий условию $OC = k \cdot OC_1$, и радиус $R = k \cdot R_1$.
№1388 (с. 360)
Условие. №1388 (с. 360)
скриншот условия

1388 Пусть A и B — данные точки, k — данное положительное число, не равное 1.
а) Докажите, что множество всех точек M, удовлетворяющих условию AM = kBM, есть окружность (окружность Аполлония).
б) Докажите, что эта окружность пересекается с любой окружностью, проходящей через точки A и B, так, что их радиусы, проведённые в точку пересечения, взаимно перпендикулярны.
Решение 2. №1388 (с. 360)


Решение 3. №1388 (с. 360)


Решение 4. №1388 (с. 360)

Решение 6. №1388 (с. 360)


Решение 9. №1388 (с. 360)



Решение 11. №1388 (с. 360)
Пусть $M$ — произвольная точка, удовлетворяющая условию $AM = k \cdot BM$, где $k$ — данное положительное число, не равное 1. Перепишем это условие в виде отношения расстояний: $\frac{AM}{BM} = k$.
Рассмотрим прямую, проходящую через точки $A$ и $B$. Поскольку $k \neq 1$, на этой прямой существуют ровно две точки, $C$ и $D$, которые делят отрезок $AB$ в отношении $k$.
1. Точка $C$ делит отрезок $AB$ внутренним образом так, что $\frac{AC}{CB} = k$.
2. Точка $D$ делит отрезок $AB$ внешним образом так, что $\frac{AD}{DB} = k$.
Рассмотрим треугольник $\triangle AMB$ для любой точки $M$, не лежащей на прямой $AB$. Из условия $\frac{AM}{BM} = \frac{AC}{CB} (=k)$, по теореме, обратной теореме о биссектрисе угла треугольника, следует, что луч $MC$ является биссектрисой внутреннего угла $\angle AMB$.
Аналогично, из условия $\frac{AM}{BM} = \frac{AD}{DB} (=k)$, по теореме, обратной теореме о биссектрисе внешнего угла треугольника, следует, что луч $MD$ является биссектрисой внешнего угла при вершине $M$ треугольника $\triangle AMB$.
Известно, что биссектрисы внутреннего и смежного с ним внешнего углов треугольника взаимно перпендикулярны. Следовательно, $\angle CMD = 90^\circ$.
Геометрическое место точек $M$, из которых отрезок $CD$ виден под прямым углом, есть окружность, построенная на отрезке $CD$ как на диаметре. Точки $C$ и $D$ также принадлежат этому множеству, так как они удовлетворяют исходному условию и лежат на данной окружности (как концы диаметра).
Таким образом, множество всех точек $M$, удовлетворяющих данному условию, является окружностью, которая известна как окружность Аполлония. Что и требовалось доказать.
Ответ: Утверждение доказано.
б)Пусть $\Omega_k$ — это окружность Аполлония из пункта а), с центром $O_k$ и радиусом $R_k$. Как было показано, центр $O_k$ лежит на прямой $AB$.
Пусть $\Omega$ — произвольная окружность, проходящая через точки $A$ и $B$. Её центр $O$ должен лежать на серединном перпендикуляре к отрезку $AB$.
Пусть $M$ — точка пересечения окружностей $\Omega_k$ и $\Omega$. Для доказательства того, что окружности пересекаются под прямым углом, необходимо показать, что их радиусы, проведённые в точку пересечения $M$, взаимно перпендикулярны, то есть $O_kM \perp OM$.
Для удобства вычислений введём систему координат. Поместим начало координат в середину отрезка $AB$. Пусть ось $Ox$ проходит через точки $A$ и $B$. Тогда координаты точек будут $A(-c, 0)$ и $B(c, 0)$ для некоторого $c > 0$.
Центр $O$ окружности $\Omega$ лежит на оси $Oy$ (серединном перпендикуляре к $AB$), поэтому его координаты $O(0, y_0)$. Квадрат радиуса $R$ этой окружности равен квадрату расстояния от $O$ до $A$: $R^2 = OA^2 = (-c - 0)^2 + (0 - y_0)^2 = c^2 + y_0^2$. Уравнение окружности $\Omega$ имеет вид: $x^2 + (y - y_0)^2 = c^2 + y_0^2$, что равносильно $x^2 + y^2 - 2y_0y - c^2 = 0$.
Окружность Аполлония $\Omega_k$ задаётся условием $AM^2 = k^2 \cdot BM^2$. В координатах это выглядит так: $(x+c)^2 + y^2 = k^2((x-c)^2 + y^2)$. Раскроем скобки и сгруппируем члены: $(1-k^2)x^2 + (1-k^2)y^2 + 2c(1+k^2)x + c^2(1-k^2) = 0$. Так как $k \neq 1$, мы можем разделить всё уравнение на $(1-k^2)$, получив: $x^2 + y^2 - \frac{2c(k^2+1)}{k^2-1}x + c^2 = 0$.
Это уравнение окружности с центром на оси $Ox$. Координаты центра $O_k$ равны $(x_k, 0)$, где $x_k = \frac{c(k^2+1)}{k^2-1}$. Квадрат радиуса $R_k^2$ можно найти, выделив полный квадрат: $R_k^2 = x_k^2 - c^2 = \left(\frac{c(k^2+1)}{k^2-1}\right)^2 - c^2 = c^2 \frac{(k^2+1)^2 - (k^2-1)^2}{(k^2-1)^2} = c^2 \frac{4k^2}{(k^2-1)^2} = \left(\frac{2kc}{k^2-1}\right)^2$.
Две окружности пересекаются ортогонально (под прямым углом), если квадрат расстояния между их центрами равен сумме квадратов их радиусов. Проверим это условие для $\Omega_k$ и $\Omega$. Расстояние $d$ между центрами $O_k(x_k, 0)$ и $O(0, y_0)$ вычисляется по формуле: $d^2 = (x_k - 0)^2 + (0 - y_0)^2 = x_k^2 + y_0^2$.
Мы должны доказать, что $d^2 = R_k^2 + R^2$. Подставим найденные выражения:
$R_k^2 + R^2 = (x_k^2 - c^2) + (c^2 + y_0^2) = x_k^2 + y_0^2$.
Мы видим, что $R_k^2 + R^2 = d^2$. Это и есть условие ортогональности двух окружностей.
Поскольку квадрат расстояния между центрами равен сумме квадратов радиусов, то по теореме, обратной теореме Пифагора, для треугольника $\triangle O_kOM$ угол $\angle O_kMO$ является прямым. Это означает, что радиусы $O_kM$ и $OM$ взаимно перпендикулярны. Следовательно, окружности пересекаются под прямым углом. Что и требовалось доказать.
Ответ: Утверждение доказано.
Помогло решение? Оставьте отзыв в комментариях ниже.