Номер 15, страница 12 - гдз по алгебре 9 класс учебник Солтан, Солтан

Авторы: Солтан Г. Н., Солтан А. Е., Жумадилова А. Ж.
Тип: Учебник
Издательство: Кокшетау
Год издания: 2019 - 2025
Цвет обложки:
ISBN: 978-601-317-424-2
Рекомендовано Министерством образования и науки Республики Казахстан
Популярные ГДЗ в 9 классе
Упражнения. Повторение курса алгебры 8 класса - номер 15, страница 12.
№15 (с. 12)
Решение. №15 (с. 12)

Решение 2 (rus). №15 (с. 12)
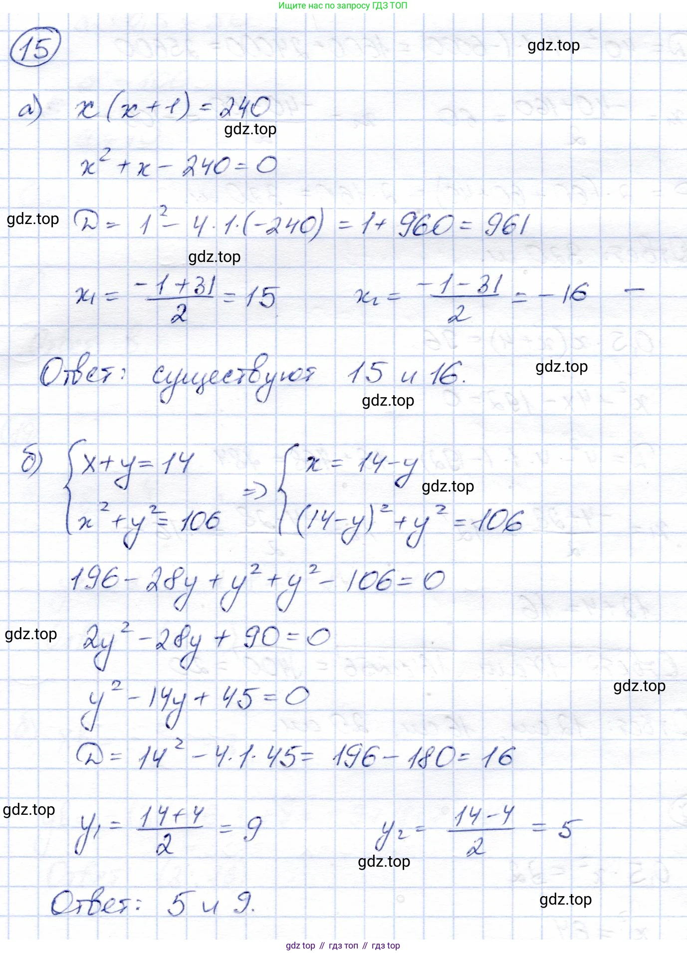
а) Пусть искомые последовательные натуральные числа это $n$ и $n+1$, где $n$ является натуральным числом. Согласно условию, их произведение равно 240. Составим и решим уравнение:
$n(n+1) = 240$
$n^2 + n = 240$
$n^2 + n - 240 = 0$
Это квадратное уравнение. Найдем его корни, вычислив дискриминант:
$D = b^2 - 4ac = 1^2 - 4 \cdot 1 \cdot (-240) = 1 + 960 = 961$
Так как $D > 0$, уравнение имеет два действительных корня. Найдем их:
$\sqrt{D} = \sqrt{961} = 31$
$n_1 = \frac{-b + \sqrt{D}}{2a} = \frac{-1 + 31}{2} = \frac{30}{2} = 15$
$n_2 = \frac{-b - \sqrt{D}}{2a} = \frac{-1 - 31}{2} = \frac{-32}{2} = -16$
По условию задачи, числа должны быть натуральными. Корень $n_2 = -16$ не является натуральным числом, поэтому он не подходит. Корень $n_1 = 15$ является натуральным числом.
Таким образом, первое число равно 15, а второе, следующее за ним, равно $15 + 1 = 16$. Проверим их произведение: $15 \cdot 16 = 240$. Условие выполняется.
Ответ: да, такие числа существуют, это 15 и 16.
б) Пусть искомые числа это $x$ и $y$. Из условия задачи составим систему уравнений:
$\begin{cases} x + y = 14 \\ x^2 + y^2 = 106\end{cases}$
Из первого уравнения выразим $y$ через $x$:
$y = 14 - x$
Подставим это выражение во второе уравнение системы:
$x^2 + (14 - x)^2 = 106$
Раскроем скобки, используя формулу квадрата разности:
$x^2 + (14^2 - 2 \cdot 14 \cdot x + x^2) = 106$
$x^2 + 196 - 28x + x^2 = 106$
Приведем подобные слагаемые и перенесем все члены в левую часть, чтобы получить квадратное уравнение:
$2x^2 - 28x + 196 - 106 = 0$
$2x^2 - 28x + 90 = 0$
Разделим все уравнение на 2 для упрощения:
$x^2 - 14x + 45 = 0$
Решим полученное квадратное уравнение. Можно использовать теорему Виета: сумма корней равна 14, а их произведение равно 45. Легко подобрать числа 5 и 9, так как $5 + 9 = 14$ и $5 \cdot 9 = 45$. Таким образом, корни уравнения $x_1 = 5$ и $x_2 = 9$.
Теперь найдем соответствующие значения $y$:
1. Если $x_1 = 5$, то $y_1 = 14 - 5 = 9$.
2. Если $x_2 = 9$, то $y_2 = 14 - 9 = 5$.
В обоих случаях мы получили пару чисел 5 и 9.
Ответ: 5 и 9.
Другие задания:
Помогло решение? Оставьте отзыв в комментариях ниже.
Присоединяйтесь к Телеграм-группе @top_gdz
ПрисоединитьсяМы подготовили для вас ответ c подробным объяснением домашего задания по алгебре за 9 класс, для упражнения номер 15 расположенного на странице 12 к учебнику 2019 года издания для учащихся школ и гимназий.
Теперь на нашем сайте ГДЗ.ТОП вы всегда легко и бесплатно найдёте условие с правильным ответом на вопрос «Как решить ДЗ» и «Как сделать» задание по алгебре к упражнению №15 (с. 12), авторов: Солтан (Генадий Николаевич), Солтан (Алла Евгеньевна), Жумадилова (Аманбала Жумадиловна), учебного пособия издательства Кокшетау.