Номер 16, страница 12 - гдз по алгебре 9 класс учебник Солтан, Солтан

Авторы: Солтан Г. Н., Солтан А. Е., Жумадилова А. Ж.
Тип: Учебник
Издательство: Кокшетау
Год издания: 2019 - 2025
Цвет обложки:
ISBN: 978-601-317-424-2
Рекомендовано Министерством образования и науки Республики Казахстан
Популярные ГДЗ в 9 классе
Упражнения. Повторение курса алгебры 8 класса - номер 16, страница 12.
№16 (с. 12)
Условие. №16 (с. 12)
скриншот условия

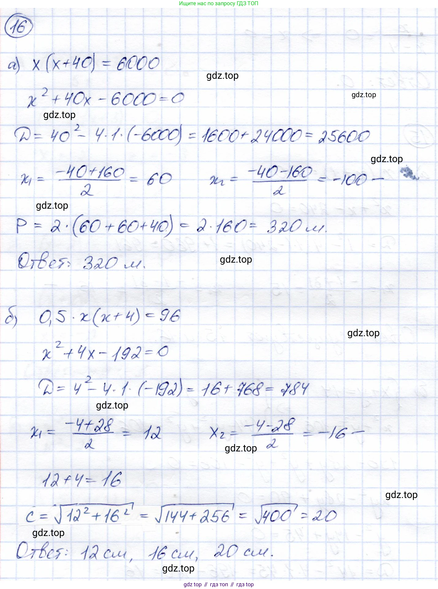
16. a) Площадь футбольного поля равна $6000 \text{ м}^2$. Найдите периметр поля, если его длина на $40 \text{ м}$ больше ширины.
б) Найдите длины сторон прямоугольного треугольника, если его площадь равна $96 \text{ см}^2$ и один катет больше другого на $4 \text{ см}$.
Решение. №16 (с. 12)

Решение 2 (rus). №16 (с. 12)
а) Пусть ширина футбольного поля равна $x$ м. Согласно условию, длина на 40 м больше, значит, длина равна $(x + 40)$ м. Площадь прямоугольника ($S$) вычисляется как произведение его длины ($l$) и ширины ($w$). Составим уравнение, зная, что площадь равна 6000 м²:
$S = w \cdot l$
$x \cdot (x + 40) = 6000$
Раскроем скобки и приведем уравнение к стандартному виду:
$x^2 + 40x - 6000 = 0$
Для решения этого квадратного уравнения найдем дискриминант ($D$):
$D = b^2 - 4ac = 40^2 - 4 \cdot 1 \cdot (-6000) = 1600 + 24000 = 25600$
Теперь найдем корни уравнения:
$x_1 = \frac{-b + \sqrt{D}}{2a} = \frac{-40 + \sqrt{25600}}{2 \cdot 1} = \frac{-40 + 160}{2} = \frac{120}{2} = 60$
$x_2 = \frac{-b - \sqrt{D}}{2a} = \frac{-40 - \sqrt{25600}}{2 \cdot 1} = \frac{-40 - 160}{2} = -100$
Корень $x_2 = -100$ не подходит, так как ширина не может быть отрицательной. Следовательно, ширина поля составляет 60 м.
Тогда длина поля равна $60 + 40 = 100$ м.
Периметр поля ($P$) вычисляется по формуле $P = 2(l + w)$:
$P = 2(100 + 60) = 2 \cdot 160 = 320$ м.
Ответ: 320 м.
б) Пусть меньший катет прямоугольного треугольника равен $a$ см. Тогда, по условию, больший катет $b$ равен $(a + 4)$ см. Площадь прямоугольного треугольника ($S$) равна половине произведения его катетов. Зная, что площадь равна 96 см², составим уравнение:
$S = \frac{1}{2}ab$
$\frac{1}{2} \cdot a \cdot (a + 4) = 96$
Умножим обе части на 2 и приведем уравнение к стандартному виду:
$a(a + 4) = 192$
$a^2 + 4a - 192 = 0$
Решим это квадратное уравнение. Найдем дискриминант ($D$):
$D = b^2 - 4ac = 4^2 - 4 \cdot 1 \cdot (-192) = 16 + 768 = 784$
Найдем корни уравнения:
$a_1 = \frac{-b + \sqrt{D}}{2a} = \frac{-4 + \sqrt{784}}{2 \cdot 1} = \frac{-4 + 28}{2} = \frac{24}{2} = 12$
$a_2 = \frac{-b - \sqrt{D}}{2a} = \frac{-4 - \sqrt{784}}{2 \cdot 1} = \frac{-4 - 28}{2} = -16$
Корень $a_2 = -16$ не имеет физического смысла, так как длина стороны не может быть отрицательной. Значит, меньший катет равен 12 см.
Больший катет равен $12 + 4 = 16$ см.
Для нахождения третьей стороны (гипотенузы $c$) воспользуемся теоремой Пифагора $c^2 = a^2 + b^2$:
$c^2 = 12^2 + 16^2 = 144 + 256 = 400$
$c = \sqrt{400} = 20$ см.
Таким образом, длины сторон треугольника равны 12 см, 16 см и 20 см.
Ответ: 12 см, 16 см, 20 см.
Другие задания:
Помогло решение? Оставьте отзыв в комментариях ниже.
Присоединяйтесь к Телеграм-группе @top_gdz
ПрисоединитьсяМы подготовили для вас ответ c подробным объяснением домашего задания по алгебре за 9 класс, для упражнения номер 16 расположенного на странице 12 к учебнику 2019 года издания для учащихся школ и гимназий.
Теперь на нашем сайте ГДЗ.ТОП вы всегда легко и бесплатно найдёте условие с правильным ответом на вопрос «Как решить ДЗ» и «Как сделать» задание по алгебре к упражнению №16 (с. 12), авторов: Солтан (Генадий Николаевич), Солтан (Алла Евгеньевна), Жумадилова (Аманбала Жумадиловна), учебного пособия издательства Кокшетау.