Номер 20, страница 13 - гдз по алгебре 9 класс учебник Солтан, Солтан

Авторы: Солтан Г. Н., Солтан А. Е., Жумадилова А. Ж.
Тип: Учебник
Издательство: Кокшетау
Год издания: 2019 - 2025
Цвет обложки:
ISBN: 978-601-317-424-2
Рекомендовано Министерством образования и науки Республики Казахстан
Популярные ГДЗ в 9 классе
Упражнения. Повторение курса алгебры 8 класса - номер 20, страница 13.
№20 (с. 13)
Решение. №20 (с. 13)

Решение 2 (rus). №20 (с. 13)
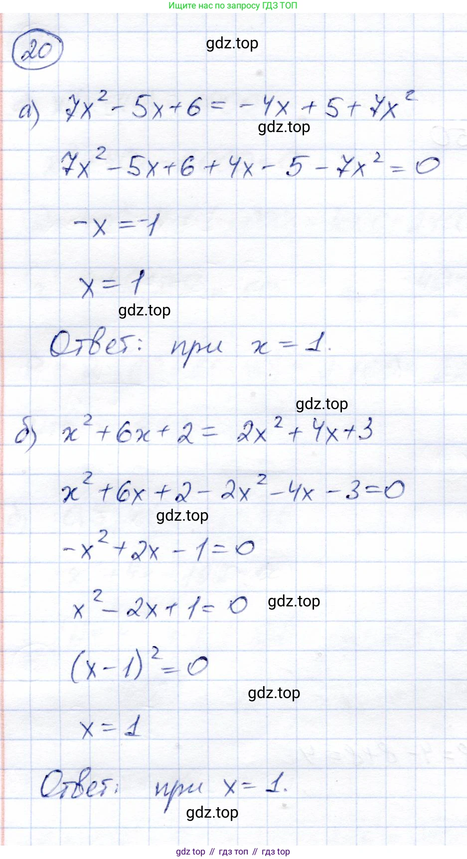
Чтобы найти значение аргумента, при котором значения функций равны, необходимо приравнять выражения для $y$ и решить полученное уравнение относительно $x$.
а) Даны функции $y = 7x^2 - 5x + 6$ и $y = -4x + 5 + 7x^2$.
Приравниваем их правые части:
$7x^2 - 5x + 6 = -4x + 5 + 7x^2$
Переносим все члены уравнения в одну сторону. Удобнее всего перенести всё в левую часть:
$7x^2 - 5x + 6 - (-4x + 5 + 7x^2) = 0$
$7x^2 - 5x + 6 + 4x - 5 - 7x^2 = 0$
Приводим подобные слагаемые:
$(7x^2 - 7x^2) + (-5x + 4x) + (6 - 5) = 0$
$0 - x + 1 = 0$
$-x + 1 = 0$
Переносим 1 в правую часть:
$-x = -1$
Умножаем обе части на -1, чтобы найти $x$:
$x = 1$
Ответ: $1$
б) Даны функции $y = x^2 + 6x + 2$ и $y = 2x^2 + 4x + 3$.
Приравниваем их правые части:
$x^2 + 6x + 2 = 2x^2 + 4x + 3$
Переносим все члены в одну сторону, чтобы получить стандартное квадратное уравнение $ax^2+bx+c=0$. Перенесем всё в правую часть:
$0 = 2x^2 + 4x + 3 - (x^2 + 6x + 2)$
$0 = 2x^2 + 4x + 3 - x^2 - 6x - 2$
Приводим подобные слагаемые:
$0 = (2x^2 - x^2) + (4x - 6x) + (3 - 2)$
$x^2 - 2x + 1 = 0$
Полученное выражение является полным квадратом разности $(a-b)^2 = a^2 - 2ab + b^2$.
Свернем выражение по формуле:
$(x - 1)^2 = 0$
Уравнение имеет единственный корень:
$x - 1 = 0$
$x = 1$
Ответ: $1$
Другие задания:
Помогло решение? Оставьте отзыв в комментариях ниже.
Присоединяйтесь к Телеграм-группе @top_gdz
ПрисоединитьсяМы подготовили для вас ответ c подробным объяснением домашего задания по алгебре за 9 класс, для упражнения номер 20 расположенного на странице 13 к учебнику 2019 года издания для учащихся школ и гимназий.
Теперь на нашем сайте ГДЗ.ТОП вы всегда легко и бесплатно найдёте условие с правильным ответом на вопрос «Как решить ДЗ» и «Как сделать» задание по алгебре к упражнению №20 (с. 13), авторов: Солтан (Генадий Николаевич), Солтан (Алла Евгеньевна), Жумадилова (Аманбала Жумадиловна), учебного пособия издательства Кокшетау.