Номер 26, страница 13 - гдз по алгебре 9 класс учебник Солтан, Солтан

Авторы: Солтан Г. Н., Солтан А. Е., Жумадилова А. Ж.
Тип: Учебник
Издательство: Кокшетау
Год издания: 2019 - 2025
Цвет обложки:
ISBN: 978-601-317-424-2
Рекомендовано Министерством образования и науки Республики Казахстан
Популярные ГДЗ в 9 классе
Упражнения. Повторение курса алгебры 8 класса - номер 26, страница 13.
№26 (с. 13)
Условие. №26 (с. 13)
скриншот условия

26. Решите неравенство:
а) $x^2 - 3x - 4 < 0;$
б) $x^2 + x - 6 \ge 0;$
в) $x^2 + 6x + 9 > 0;$
г) $x^2 - 4x + 4 \le 0.$
Решение. №26 (с. 13)


Решение 2 (rus). №26 (с. 13)
а) $x^2 - 3x - 4 < 0$
Для решения квадратного неравенства сначала найдем корни соответствующего квадратного уравнения $x^2 - 3x - 4 = 0$.
Вычислим дискриминант: $D = b^2 - 4ac = (-3)^2 - 4 \cdot 1 \cdot (-4) = 9 + 16 = 25$.
Так как $D > 0$, уравнение имеет два различных корня:
$x_1 = \frac{-b - \sqrt{D}}{2a} = \frac{3 - \sqrt{25}}{2 \cdot 1} = \frac{3 - 5}{2} = -1$
$x_2 = \frac{-b + \sqrt{D}}{2a} = \frac{3 + \sqrt{25}}{2 \cdot 1} = \frac{3 + 5}{2} = 4$
Графиком функции $y = x^2 - 3x - 4$ является парабола, ветви которой направлены вверх, поскольку коэффициент при $x^2$ положителен ($a=1>0$). Неравенство $y < 0$ выполняется на интервале между корнями.
Таким образом, решение неравенства — это интервал, на котором парабола находится ниже оси Ox.
Ответ: $x \in (-1, 4)$.
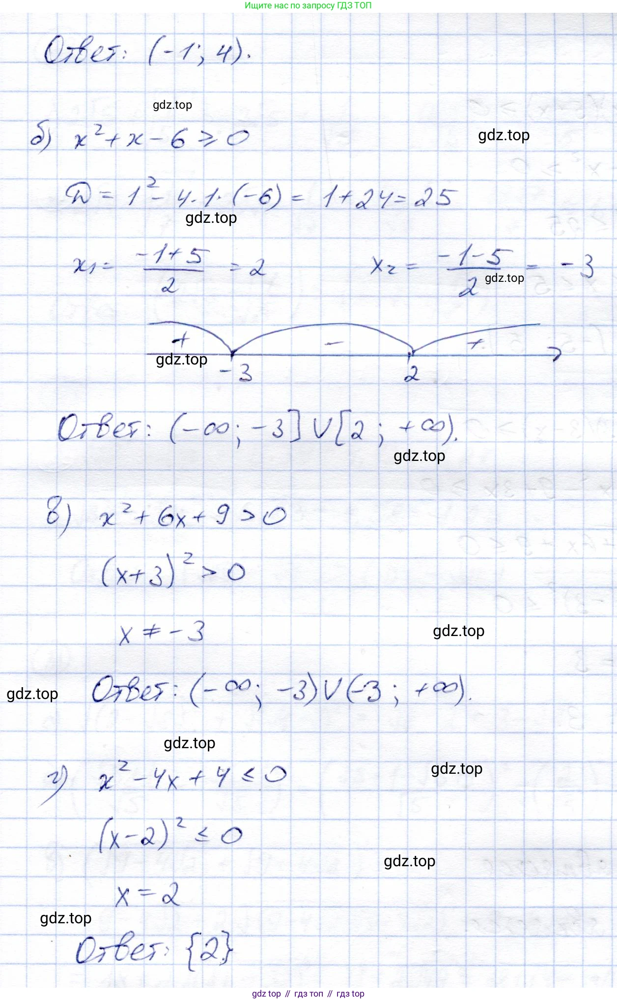
б) $x^2 + x - 6 \geq 0$
Найдем корни квадратного уравнения $x^2 + x - 6 = 0$.
Вычислим дискриминант: $D = b^2 - 4ac = 1^2 - 4 \cdot 1 \cdot (-6) = 1 + 24 = 25$.
Корни уравнения:
$x_1 = \frac{-1 - \sqrt{25}}{2 \cdot 1} = \frac{-1 - 5}{2} = -3$
$x_2 = \frac{-1 + \sqrt{25}}{2 \cdot 1} = \frac{-1 + 5}{2} = 2$
Графиком функции $y = x^2 + x - 6$ является парабола с ветвями, направленными вверх ($a=1>0$). Неравенство $y \geq 0$ выполняется, когда парабола находится на оси Ox или выше нее. Это происходит на лучах левее меньшего корня и правее большего корня, включая сами корни.
Ответ: $x \in (-\infty, -3] \cup [2, +\infty)$.
в) $x^2 + 6x + 9 > 0$
Заметим, что левая часть неравенства представляет собой полный квадрат суммы: $x^2 + 2 \cdot x \cdot 3 + 3^2 = (x+3)^2$.
Неравенство принимает вид $(x+3)^2 > 0$.
Квадрат любого действительного числа всегда неотрицателен, то есть $(x+3)^2 \geq 0$ для любого $x$.
Равенство нулю достигается при $x+3=0$, то есть при $x=-3$.
Следовательно, строгое неравенство $(x+3)^2 > 0$ выполняется для всех действительных значений $x$, кроме $x=-3$.
Ответ: $x \in (-\infty, -3) \cup (-3, +\infty)$.
г) $x^2 - 4x + 4 \leq 0$
Левая часть неравенства является полным квадратом разности: $x^2 - 2 \cdot x \cdot 2 + 2^2 = (x-2)^2$.
Неравенство можно переписать в виде $(x-2)^2 \leq 0$.
Квадрат любого действительного числа не может быть отрицательным, то есть $(x-2)^2 \geq 0$ для всех $x$.
Таким образом, неравенство $(x-2)^2 \leq 0$ может выполняться только в одном случае: когда $(x-2)^2 = 0$.
Это равенство истинно, если $x-2=0$, то есть $x=2$.
Ответ: $\{2\}$.
Другие задания:
Помогло решение? Оставьте отзыв в комментариях ниже.
Присоединяйтесь к Телеграм-группе @top_gdz
ПрисоединитьсяМы подготовили для вас ответ c подробным объяснением домашего задания по алгебре за 9 класс, для упражнения номер 26 расположенного на странице 13 к учебнику 2019 года издания для учащихся школ и гимназий.
Теперь на нашем сайте ГДЗ.ТОП вы всегда легко и бесплатно найдёте условие с правильным ответом на вопрос «Как решить ДЗ» и «Как сделать» задание по алгебре к упражнению №26 (с. 13), авторов: Солтан (Генадий Николаевич), Солтан (Алла Евгеньевна), Жумадилова (Аманбала Жумадиловна), учебного пособия издательства Кокшетау.