Номер 31, страница 14 - гдз по алгебре 9 класс учебник Солтан, Солтан

Авторы: Солтан Г. Н., Солтан А. Е., Жумадилова А. Ж.
Тип: Учебник
Издательство: Кокшетау
Год издания: 2019 - 2025
Цвет обложки:
ISBN: 978-601-317-424-2
Рекомендовано Министерством образования и науки Республики Казахстан
Популярные ГДЗ в 9 классе
Упражнения. Повторение курса алгебры 8 класса - номер 31, страница 14.
№31 (с. 14)
Решение. №31 (с. 14)


Решение 2 (rus). №31 (с. 14)
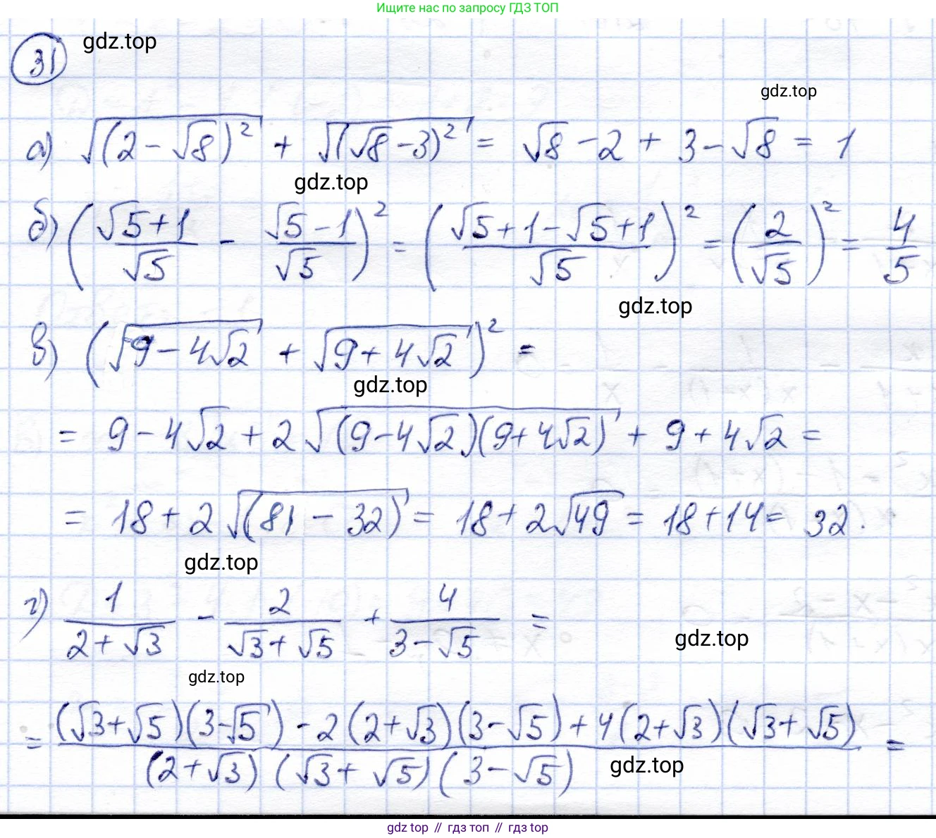
а) Используем свойство $\sqrt{a^2} = |a|$. Тогда исходное выражение преобразуется к виду $|2-\sqrt{8}| + |\sqrt{8}-3|$. Чтобы раскрыть модули, оценим знаки подмодульных выражений. Так как $2=\sqrt{4}$ и $3=\sqrt{9}$, а $\sqrt{4} < \sqrt{8} < \sqrt{9}$, то $2 < \sqrt{8} < 3$. Отсюда следует, что разность $2-\sqrt{8}$ отрицательна, и разность $\sqrt{8}-3$ также отрицательна. Раскрываем модули с противоположным знаком: $|2-\sqrt{8}| = -(2-\sqrt{8}) = \sqrt{8}-2$ и $|\sqrt{8}-3| = -(\sqrt{8}-3) = 3-\sqrt{8}$. Суммируем полученные выражения: $(\sqrt{8}-2) + (3-\sqrt{8}) = \sqrt{8}-2+3-\sqrt{8} = 1$.
Ответ: 1
б) Сначала выполним действие в скобках. Приведем дроби к общему знаменателю $\sqrt{5}$: $\frac{\sqrt{5}+1}{\sqrt{5}} - \frac{\sqrt{5}-1}{\sqrt{5}} = \frac{(\sqrt{5}+1) - (\sqrt{5}-1)}{\sqrt{5}} = \frac{\sqrt{5}+1 - \sqrt{5}+1}{\sqrt{5}} = \frac{2}{\sqrt{5}}$. Теперь возведем полученный результат в квадрат: $(\frac{2}{\sqrt{5}})^2 = \frac{2^2}{(\sqrt{5})^2} = \frac{4}{5}$.
Ответ: $\frac{4}{5}$
в) Воспользуемся формулой квадрата суммы $(a+b)^2=a^2+2ab+b^2$, где $a = \sqrt{9-4\sqrt{2}}$ и $b = \sqrt{9+4\sqrt{2}}$. Тогда исходное выражение равно $(\sqrt{9-4\sqrt{2}})^2 + 2 \cdot \sqrt{9-4\sqrt{2}} \cdot \sqrt{9+4\sqrt{2}} + (\sqrt{9+4\sqrt{2}})^2$. Упростим его: $a^2+b^2 = (9-4\sqrt{2}) + (9+4\sqrt{2}) = 18$. Произведение $2ab = 2\sqrt{(9-4\sqrt{2})(9+4\sqrt{2})}$. Подкоренное выражение является разностью квадратов: $9^2-(4\sqrt{2})^2 = 81 - 16 \cdot 2 = 81-32=49$. Значит, $2ab = 2\sqrt{49} = 2 \cdot 7 = 14$. Суммируем все части: $18 + 14 = 32$.
Ответ: 32
г) Упростим каждую дробь, избавившись от иррациональности в знаменателе путем умножения на сопряженное выражение.
Первая дробь: $\frac{1}{2+\sqrt{3}} = \frac{1 \cdot (2-\sqrt{3})}{(2+\sqrt{3})(2-\sqrt{3})} = \frac{2-\sqrt{3}}{2^2 - (\sqrt{3})^2} = \frac{2-\sqrt{3}}{4-3} = 2-\sqrt{3}$.
Вторая дробь: $\frac{2}{\sqrt{3}+\sqrt{5}} = \frac{2 \cdot (\sqrt{5}-\sqrt{3})}{(\sqrt{5}+\sqrt{3})(\sqrt{5}-\sqrt{3})} = \frac{2(\sqrt{5}-\sqrt{3})}{5-3} = \frac{2(\sqrt{5}-\sqrt{3})}{2} = \sqrt{5}-\sqrt{3}$.
Третья дробь: $\frac{4}{3-\sqrt{5}} = \frac{4 \cdot (3+\sqrt{5})}{(3-\sqrt{5})(3+\sqrt{5})} = \frac{4(3+\sqrt{5})}{3^2 - (\sqrt{5})^2} = \frac{4(3+\sqrt{5})}{9-5} = 3+\sqrt{5}$.
Теперь подставим упрощенные значения в исходное выражение: $(2-\sqrt{3}) - (\sqrt{5}-\sqrt{3}) + (3+\sqrt{5}) = 2-\sqrt{3}-\sqrt{5}+\sqrt{3}+3+\sqrt{5}$. После приведения подобных слагаемых получаем $2+3=5$.
Ответ: 5
Другие задания:
Помогло решение? Оставьте отзыв в комментариях ниже.
Присоединяйтесь к Телеграм-группе @top_gdz
ПрисоединитьсяМы подготовили для вас ответ c подробным объяснением домашего задания по алгебре за 9 класс, для упражнения номер 31 расположенного на странице 14 к учебнику 2019 года издания для учащихся школ и гимназий.
Теперь на нашем сайте ГДЗ.ТОП вы всегда легко и бесплатно найдёте условие с правильным ответом на вопрос «Как решить ДЗ» и «Как сделать» задание по алгебре к упражнению №31 (с. 14), авторов: Солтан (Генадий Николаевич), Солтан (Алла Евгеньевна), Жумадилова (Аманбала Жумадиловна), учебного пособия издательства Кокшетау.