Номер 36, страница 15 - гдз по алгебре 9 класс учебник Солтан, Солтан

Авторы: Солтан Г. Н., Солтан А. Е., Жумадилова А. Ж.
Тип: Учебник
Издательство: Кокшетау
Год издания: 2019 - 2025
Цвет обложки:
ISBN: 978-601-317-424-2
Рекомендовано Министерством образования и науки Республики Казахстан
Популярные ГДЗ в 9 классе
Упражнения. Повторение курса алгебры 8 класса - номер 36, страница 15.
№36 (с. 15)
Решение. №36 (с. 15)


Решение 2 (rus). №36 (с. 15)
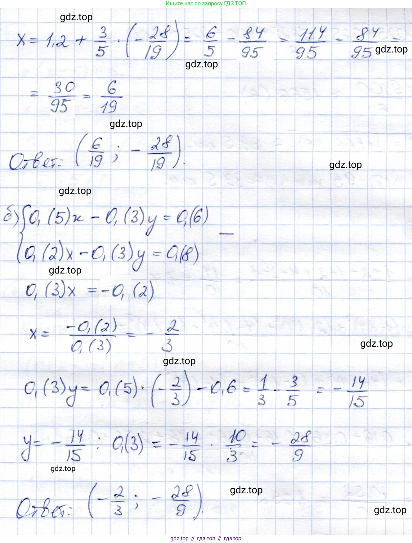
а) Дана система уравнений:$$ \begin{cases} 0,5x - 0,3y = 0,6 \\ 0,2x - 0,5y = 0,8 \end{cases} $$Чтобы избавиться от десятичных дробей, умножим оба уравнения на 10:$$ \begin{cases} 5x - 3y = 6 \\ 2x - 5y = 8 \end{cases} $$Решим систему методом алгебраического сложения. Умножим первое уравнение на 2, а второе на 5, чтобы коэффициенты при переменной $x$ стали равными:$$ \begin{cases} 10x - 6y = 12 \\ 10x - 25y = 40 \end{cases} $$Вычтем из первого уравнения второе:$ (10x - 6y) - (10x - 25y) = 12 - 40 $$ 10x - 6y - 10x + 25y = -28 $$ 19y = -28 $$ y = -\frac{28}{19} $Теперь подставим найденное значение $y$ в уравнение $5x - 3y = 6$:$ 5x - 3 \cdot (-\frac{28}{19}) = 6 $$ 5x + \frac{84}{19} = 6 $$ 5x = 6 - \frac{84}{19} $$ 5x = \frac{114}{19} - \frac{84}{19} $$ 5x = \frac{30}{19} $$ x = \frac{30}{19 \cdot 5} = \frac{6}{19} $
Ответ: $x = \frac{6}{19}, y = -\frac{28}{19}$.
б) Дана система уравнений:$$ \begin{cases} 0,(5)x - 0,(3)y = 0,(6) \\ 0,(2)x - 0,(3)y = 0,(8) \end{cases} $$Сначала преобразуем периодические десятичные дроби в обыкновенные. Используем правило: $0,(a) = \frac{a}{9}$.
$ 0,(5) = \frac{5}{9} $
$ 0,(3) = \frac{3}{9} = \frac{1}{3} $
$ 0,(6) = \frac{6}{9} = \frac{2}{3} $
$ 0,(2) = \frac{2}{9} $
$ 0,(8) = \frac{8}{9} $
Подставим полученные дроби в систему:$$ \begin{cases} \frac{5}{9}x - \frac{1}{3}y = \frac{2}{3} \\ \frac{2}{9}x - \frac{1}{3}y = \frac{8}{9} \end{cases} $$Решим систему методом вычитания. Вычтем второе уравнение из первого:$ (\frac{5}{9}x - \frac{1}{3}y) - (\frac{2}{9}x - \frac{1}{3}y) = \frac{2}{3} - \frac{8}{9} $$ \frac{5}{9}x - \frac{2}{9}x = \frac{6}{9} - \frac{8}{9} $$ \frac{3}{9}x = -\frac{2}{9} $$ \frac{1}{3}x = -\frac{2}{9} $$ x = -\frac{2}{9} \cdot 3 = -\frac{2}{3} $
Теперь подставим найденное значение $x$ в первое уравнение $(\frac{5}{9}x - \frac{1}{3}y = \frac{2}{3})$:$ \frac{5}{9} \cdot (-\frac{2}{3}) - \frac{1}{3}y = \frac{2}{3} $$ -\frac{10}{27} - \frac{1}{3}y = \frac{2}{3} $$ -\frac{1}{3}y = \frac{2}{3} + \frac{10}{27} $$ -\frac{1}{3}y = \frac{18}{27} + \frac{10}{27} $$ -\frac{1}{3}y = \frac{28}{27} $$ y = -\frac{28}{27} \cdot 3 = -\frac{28}{9} $
Ответ: $x = -\frac{2}{3}, y = -\frac{28}{9}$.
Другие задания:
Помогло решение? Оставьте отзыв в комментариях ниже.
Присоединяйтесь к Телеграм-группе @top_gdz
ПрисоединитьсяМы подготовили для вас ответ c подробным объяснением домашего задания по алгебре за 9 класс, для упражнения номер 36 расположенного на странице 15 к учебнику 2019 года издания для учащихся школ и гимназий.
Теперь на нашем сайте ГДЗ.ТОП вы всегда легко и бесплатно найдёте условие с правильным ответом на вопрос «Как решить ДЗ» и «Как сделать» задание по алгебре к упражнению №36 (с. 15), авторов: Солтан (Генадий Николаевич), Солтан (Алла Евгеньевна), Жумадилова (Аманбала Жумадиловна), учебного пособия издательства Кокшетау.