Номер 42, страница 16 - гдз по алгебре 9 класс учебник Солтан, Солтан

Авторы: Солтан Г. Н., Солтан А. Е., Жумадилова А. Ж.
Тип: Учебник
Издательство: Кокшетау
Год издания: 2019 - 2025
Цвет обложки:
ISBN: 978-601-317-424-2
Рекомендовано Министерством образования и науки Республики Казахстан
Популярные ГДЗ в 9 классе
Упражнения. Повторение курса алгебры 8 класса - номер 42, страница 16.
№42 (с. 16)
Условие. №42 (с. 16)
скриншот условия

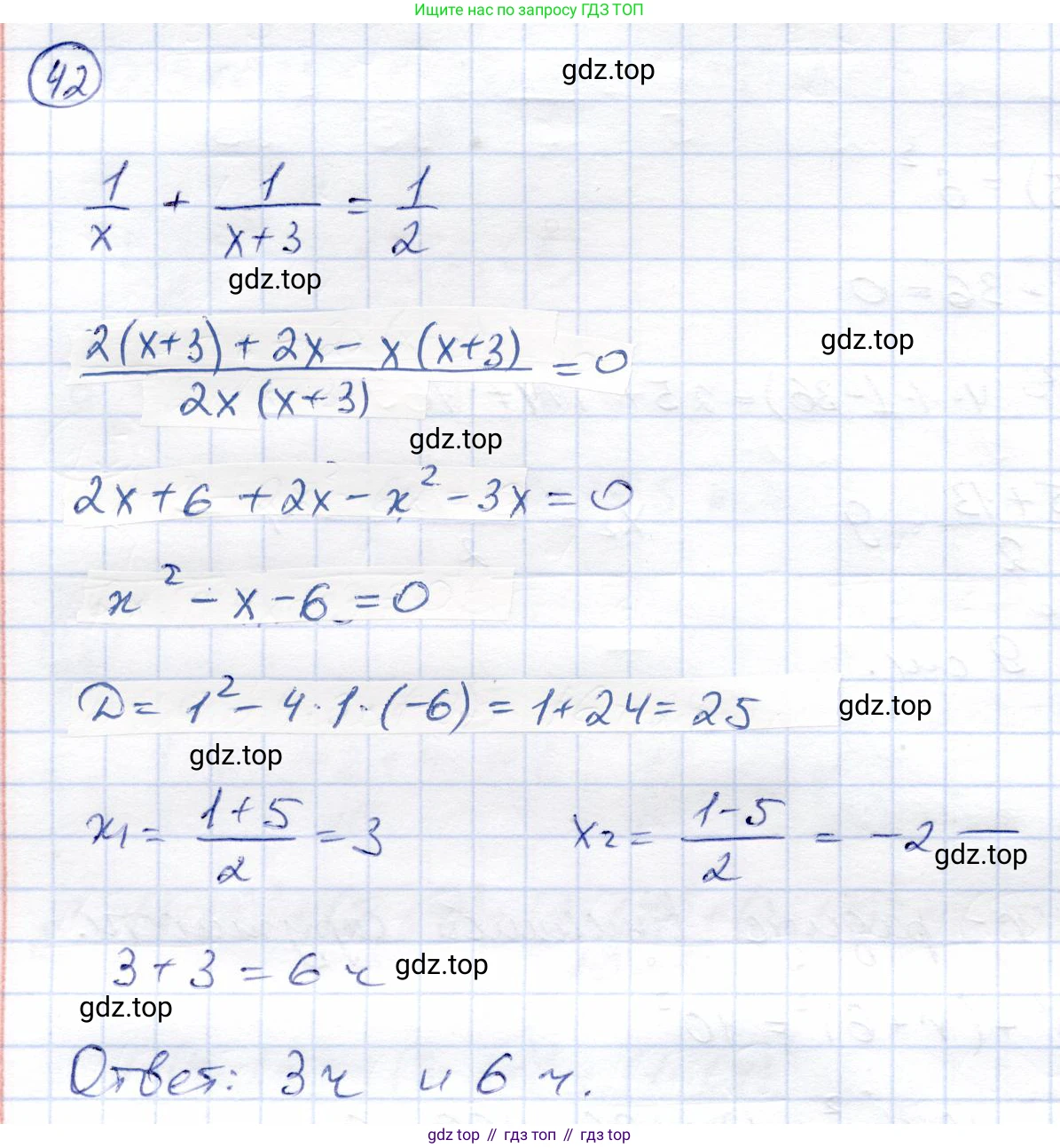
42. Два крана, работая вместе, загрузили баржу за 2 часа. За сколько часов мог бы выполнить эту работу каждый кран отдельно, если известно, что одному из них понадобится для этого на 3 часа больше, чем второму?
Решение. №42 (с. 16)

Решение 2 (rus). №42 (с. 16)
Пусть всю работу по загрузке баржи примем за единицу (1).
Обозначим через $t$ (в часах) время, за которое второй, более быстрый кран, может выполнить всю работу, работая отдельно.
Согласно условию, первому крану для выполнения этой же работы требуется на 3 часа больше, то есть его время работы составит $(t + 3)$ часов.
Производительность (скорость выполнения работы) — это объем работы, выполняемый за единицу времени. Таким образом:
Производительность первого крана равна $P_1 = 1 / (t+3)$ (часть работы в час).
Производительность второго крана равна $P_2 = 1 / t$ (часть работы в час).
Когда краны работают вместе, их производительности складываются. Их общая производительность $P_{общ} = P_1 + P_2 = 1/(t+3) + 1/t$.
По условию, работая вместе, они загружают баржу за 2 часа. Это означает, что их общая производительность также равна $1/2$ (часть работы в час).
Приравняем два выражения для общей производительности и составим уравнение:
$1/t + 1/(t+3) = 1/2$
Чтобы решить это уравнение, приведем дроби в левой части к общему знаменателю $t(t+3)$:
$(t+3 + t) / (t(t+3)) = 1/2$
$(2t + 3) / (t^2 + 3t) = 1/2$
Воспользуемся свойством пропорции (перекрестное умножение):
$2 \cdot (2t + 3) = 1 \cdot (t^2 + 3t)$
$4t + 6 = t^2 + 3t$
Перенесем все слагаемые в одну сторону, чтобы получить стандартное квадратное уравнение:
$t^2 + 3t - 4t - 6 = 0$
$t^2 - t - 6 = 0$
Решим полученное квадратное уравнение. Найдем дискриминант $D = b^2 - 4ac$:
$D = (-1)^2 - 4 \cdot 1 \cdot (-6) = 1 + 24 = 25$
Так как $D > 0$, уравнение имеет два корня:
$t_1 = (-b + \sqrt{D})/(2a) = (1 + \sqrt{25}) / 2 = (1 + 5) / 2 = 6/2 = 3$
$t_2 = (-b - \sqrt{D})/(2a) = (1 - \sqrt{25}) / 2 = (1 - 5) / 2 = -4/2 = -2$
По смыслу задачи время $t$ не может быть отрицательным, поэтому корень $t_2 = -2$ не является решением.
Следовательно, время работы второго (быстрого) крана равно 3 часам.
Тогда время работы первого (медленного) крана равно:
$t + 3 = 3 + 3 = 6$ часов.
Ответ: один кран мог бы выполнить работу за 3 часа, а другой — за 6 часов.
Другие задания:
Помогло решение? Оставьте отзыв в комментариях ниже.
Присоединяйтесь к Телеграм-группе @top_gdz
ПрисоединитьсяМы подготовили для вас ответ c подробным объяснением домашего задания по алгебре за 9 класс, для упражнения номер 42 расположенного на странице 16 к учебнику 2019 года издания для учащихся школ и гимназий.
Теперь на нашем сайте ГДЗ.ТОП вы всегда легко и бесплатно найдёте условие с правильным ответом на вопрос «Как решить ДЗ» и «Как сделать» задание по алгебре к упражнению №42 (с. 16), авторов: Солтан (Генадий Николаевич), Солтан (Алла Евгеньевна), Жумадилова (Аманбала Жумадиловна), учебного пособия издательства Кокшетау.