Номер 48, страница 16 - гдз по алгебре 9 класс учебник Солтан, Солтан

Авторы: Солтан Г. Н., Солтан А. Е., Жумадилова А. Ж.
Тип: Учебник
Издательство: Кокшетау
Год издания: 2019 - 2025
Цвет обложки:
ISBN: 978-601-317-424-2
Рекомендовано Министерством образования и науки Республики Казахстан
Популярные ГДЗ в 9 классе
Упражнения. Повторение курса алгебры 8 класса - номер 48, страница 16.
№48 (с. 16)
Условие. №48 (с. 16)
скриншот условия

48. Решите уравнение:
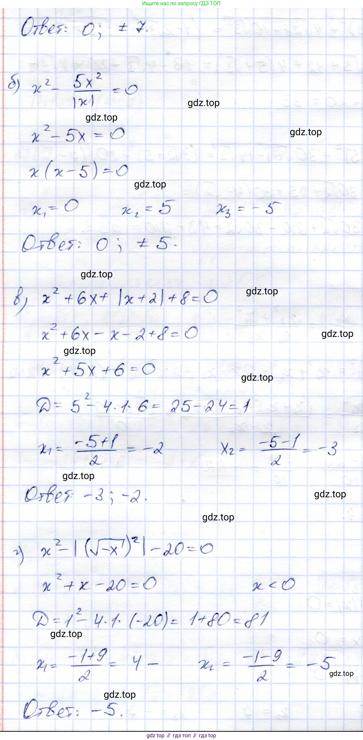
a) $x^2 - 7|x| = 0$;
б) $x^2 - \frac{5x^2}{|x|} = 0$;
в) $x^2 + 6x + |x + 2| + 8 = 0$;
г) $x^2 - |(\sqrt{-x})^2| - 20 = 0$.
Решение. №48 (с. 16)


Решение 2 (rus). №48 (с. 16)
а) $x^2 - 7|x| = 0$
Воспользуемся свойством $x^2 = |x|^2$. Заменим $x^2$ на $|x|^2$ в исходном уравнении:
$|x|^2 - 7|x| = 0$
Вынесем $|x|$ за скобки:
$|x|(|x| - 7) = 0$
Произведение равно нулю, когда хотя бы один из множителей равен нулю. Получаем два случая:
1) $|x| = 0$, откуда $x = 0$.
2) $|x| - 7 = 0$, откуда $|x| = 7$. Это уравнение имеет два корня: $x = 7$ и $x = -7$.
Таким образом, уравнение имеет три корня.
Ответ: $x_1 = 0$, $x_2 = 7$, $x_3 = -7$.
б) $x^2 - \frac{5x^2}{|x|} = 0$
Область допустимых значений (ОДЗ): знаменатель не может быть равен нулю, поэтому $|x| \neq 0$, что означает $x \neq 0$.
Используем свойство $x^2 = |x|^2$:
$|x|^2 - \frac{5|x|^2}{|x|} = 0$
Так как $x \neq 0$, то $|x| \neq 0$, и мы можем сократить дробь:
$|x|^2 - 5|x| = 0$
Вынесем $|x|$ за скобки:
$|x|(|x| - 5) = 0$
Получаем два случая:
1) $|x| = 0$, откуда $x = 0$. Этот корень не удовлетворяет ОДЗ ($x \neq 0$), поэтому он является посторонним.
2) $|x| - 5 = 0$, откуда $|x| = 5$. Это уравнение имеет два корня: $x = 5$ и $x = -5$. Оба корня удовлетворяют ОДЗ.
Ответ: $x_1 = 5$, $x_2 = -5$.
в) $x^2 + 6x + |x + 2| + 8 = 0$
Раскроем модуль, рассмотрев два случая.
Случай 1: Подмодульное выражение неотрицательно. $x + 2 \ge 0$, то есть $x \ge -2$.
В этом случае $|x + 2| = x + 2$. Уравнение принимает вид:
$x^2 + 6x + (x + 2) + 8 = 0$
$x^2 + 7x + 10 = 0$
Решим квадратное уравнение. По теореме Виета, корни $x_1 = -2$, $x_2 = -5$.
Проверим, удовлетворяют ли корни условию $x \ge -2$:
$x_1 = -2$ удовлетворяет условию (так как $-2 \ge -2$).
$x_2 = -5$ не удовлетворяет условию (так как $-5 < -2$).
Итак, в первом случае получаем один корень $x = -2$.
Случай 2: Подмодульное выражение отрицательно. $x + 2 < 0$, то есть $x < -2$.
В этом случае $|x + 2| = -(x + 2) = -x - 2$. Уравнение принимает вид:
$x^2 + 6x - (x + 2) + 8 = 0$
$x^2 + 5x + 6 = 0$
Решим квадратное уравнение. По теореме Виета, корни $x_3 = -2$, $x_4 = -3$.
Проверим, удовлетворяют ли корни условию $x < -2$:
$x_3 = -2$ не удовлетворяет условию (так как $-2$ не меньше $-2$).
$x_4 = -3$ удовлетворяет условию (так как $-3 < -2$).
Итак, во втором случае получаем один корень $x = -3$.
Объединяя решения из обоих случаев, получаем два корня.
Ответ: $x_1 = -2$, $x_2 = -3$.
г) $x^2 - |(\sqrt{-x})^2| - 20 = 0$
ОДЗ: выражение под корнем должно быть неотрицательным: $-x \ge 0$, откуда $x \le 0$.
Упростим выражение в модуле. По определению арифметического квадратного корня, $(\sqrt{a})^2 = a$ для $a \ge 0$. Так как по ОДЗ $-x \ge 0$, то $(\sqrt{-x})^2 = -x$.
Уравнение принимает вид:
$x^2 - |-x| - 20 = 0$
Используем свойство модуля $|-a| = |a|$:
$x^2 - |x| - 20 = 0$
Так как по ОДЗ $x \le 0$, то $|x| = -x$. Подставим это в уравнение:
$x^2 - (-x) - 20 = 0$
$x^2 + x - 20 = 0$
Решим квадратное уравнение. По теореме Виета, корни $x_1 = -5$, $x_2 = 4$.
Проверим, удовлетворяют ли корни ОДЗ ($x \le 0$):
$x_1 = -5$ удовлетворяет условию (так как $-5 \le 0$).
$x_2 = 4$ не удовлетворяет условию (так как $4 > 0$).
Таким образом, уравнение имеет единственный корень.
Ответ: $x = -5$.
Другие задания:
Помогло решение? Оставьте отзыв в комментариях ниже.
Присоединяйтесь к Телеграм-группе @top_gdz
ПрисоединитьсяМы подготовили для вас ответ c подробным объяснением домашего задания по алгебре за 9 класс, для упражнения номер 48 расположенного на странице 16 к учебнику 2019 года издания для учащихся школ и гимназий.
Теперь на нашем сайте ГДЗ.ТОП вы всегда легко и бесплатно найдёте условие с правильным ответом на вопрос «Как решить ДЗ» и «Как сделать» задание по алгебре к упражнению №48 (с. 16), авторов: Солтан (Генадий Николаевич), Солтан (Алла Евгеньевна), Жумадилова (Аманбала Жумадиловна), учебного пособия издательства Кокшетау.