Номер 51, страница 17 - гдз по алгебре 9 класс учебник Солтан, Солтан

Авторы: Солтан Г. Н., Солтан А. Е., Жумадилова А. Ж.
Тип: Учебник
Издательство: Кокшетау
Год издания: 2019 - 2025
Цвет обложки:
ISBN: 978-601-317-424-2
Рекомендовано Министерством образования и науки Республики Казахстан
Популярные ГДЗ в 9 классе
Упражнения. Повторение курса алгебры 8 класса - номер 51, страница 17.
№51 (с. 17)
Условие. №51 (с. 17)
скриншот условия

51. Решите неравенство:
а) $\frac{x^2 - 3x - 1}{x^2 + x + 1} \le 3;$
б) $\frac{x^2 + 2x - 1}{x^2 - x + 1} > 2;$
в) $\frac{2x^3 - x^4 + 3x^2}{x^2 + x + 6} > 0;$
г) $\frac{2x^2 + 5x + 2}{(3 - x)^2 \cdot (4 - x^2)} \ge 0.$
Решение. №51 (с. 17)




Решение 2 (rus). №51 (с. 17)
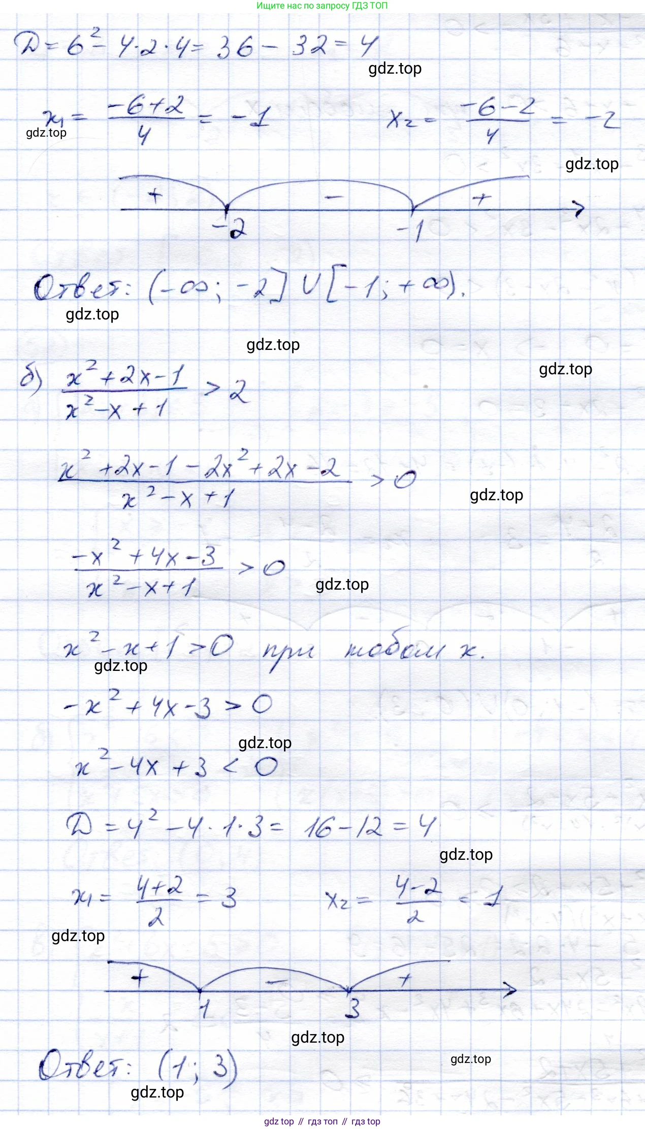
а) Дано неравенство: $ \frac{x^2 - 3x - 1}{x^2 + x + 1} \le 3 $.
Сначала проанализируем знаменатель $ x^2 + x + 1 $. Дискриминант этого квадратного трехчлена равен $ D = 1^2 - 4 \cdot 1 \cdot 1 = 1 - 4 = -3 $. Поскольку $ D < 0 $ и старший коэффициент $ a=1 > 0 $, знаменатель $ x^2 + x + 1 $ положителен при всех действительных значениях $x$.
Так как знаменатель всегда положителен, мы можем умножить на него обе части неравенства, сохранив знак неравенства:
$ x^2 - 3x - 1 \le 3(x^2 + x + 1) $
$ x^2 - 3x - 1 \le 3x^2 + 3x + 3 $
Перенесем все слагаемые в одну сторону:
$ 0 \le 3x^2 - x^2 + 3x + 3x + 3 + 1 $
$ 0 \le 2x^2 + 6x + 4 $
Разделим обе части на 2:
$ 0 \le x^2 + 3x + 2 $
Найдем корни квадратного уравнения $ x^2 + 3x + 2 = 0 $. По теореме Виета, корни $ x_1 = -2 $ и $ x_2 = -1 $.
Неравенство можно записать в виде $ (x + 1)(x + 2) \ge 0 $. Решим его методом интервалов. Отметим корни -2 и -1 на числовой прямой. Они разбивают прямую на три интервала. Так как это парабола с ветвями вверх, она принимает неотрицательные значения вне интервала между корнями.
Решением является объединение промежутков $ (-\infty, -2] $ и $ [-1, \infty) $.
Ответ: $ x \in (-\infty, -2] \cup [-1, \infty) $.
б) Дано неравенство: $ \frac{x^2 + 2x - 1}{x^2 - x + 1} > 2 $.
Рассмотрим знаменатель $ x^2 - x + 1 $. Его дискриминант $ D = (-1)^2 - 4 \cdot 1 \cdot 1 = 1 - 4 = -3 $. Так как $ D < 0 $ и старший коэффициент $ a=1 > 0 $, знаменатель $ x^2 - x + 1 $ положителен при всех $x$.
Умножим обе части неравенства на положительный знаменатель:
$ x^2 + 2x - 1 > 2(x^2 - x + 1) $
$ x^2 + 2x - 1 > 2x^2 - 2x + 2 $
Перенесем все слагаемые в одну сторону:
$ 0 > 2x^2 - x^2 - 2x - 2x + 2 + 1 $
$ 0 > x^2 - 4x + 3 $ или $ x^2 - 4x + 3 < 0 $.
Найдем корни уравнения $ x^2 - 4x + 3 = 0 $. По теореме Виета, корни $ x_1 = 1 $ и $ x_2 = 3 $.
Неравенство можно записать в виде $ (x - 1)(x - 3) < 0 $. Графиком функции $ y = x^2 - 4x + 3 $ является парабола с ветвями вверх, которая принимает отрицательные значения между корнями.
Следовательно, решение неравенства: $ x \in (1, 3) $.
Ответ: $ x \in (1, 3) $.
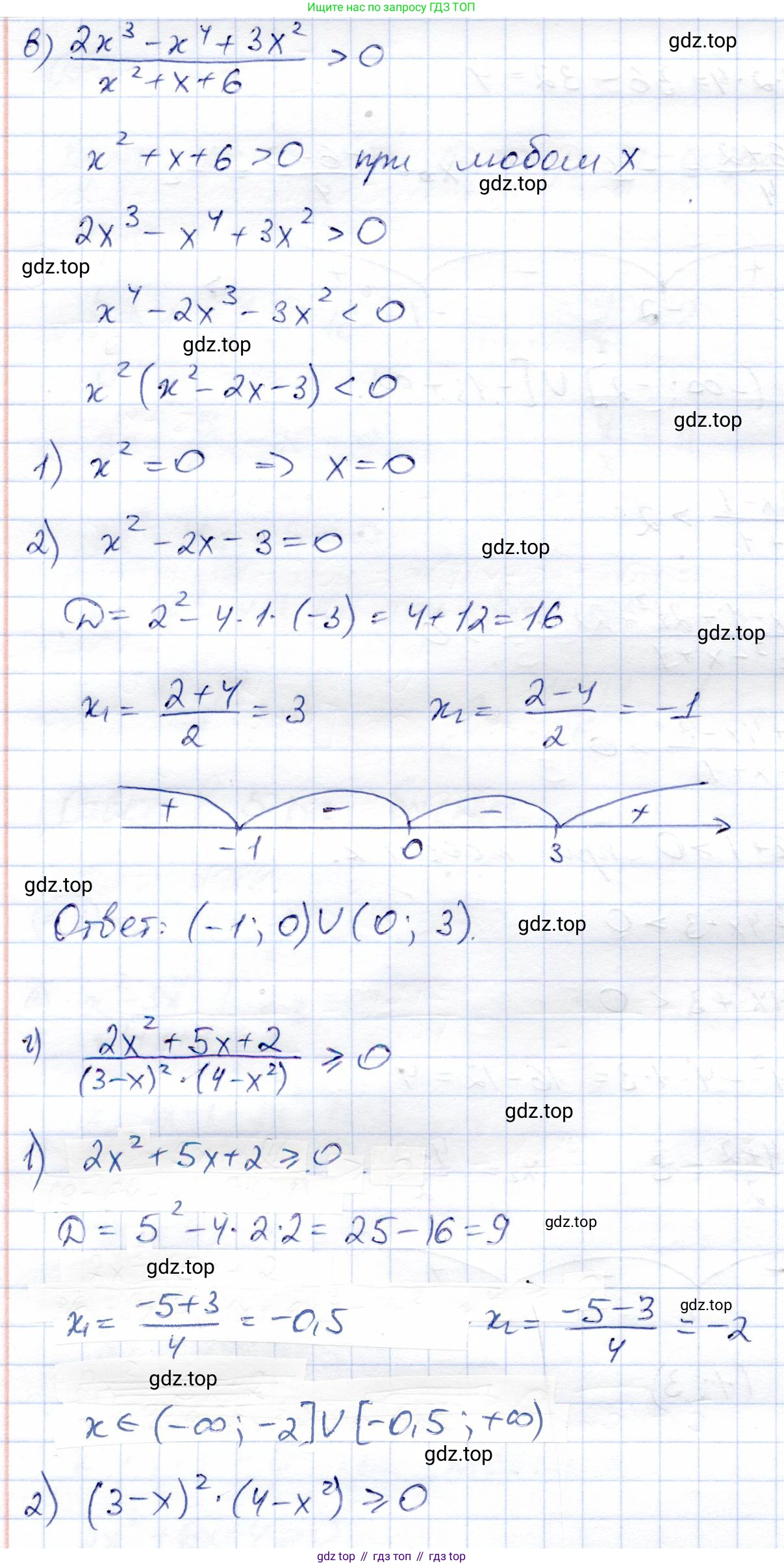
в) Дано неравенство: $ \frac{2x^3 - x^4 + 3x^2}{x^2 + x + 6} > 0 $.
Знаменатель $ x^2 + x + 6 $ имеет дискриминант $ D = 1^2 - 4 \cdot 1 \cdot 6 = 1 - 24 = -23 $. Так как $ D < 0 $ и $ a=1 > 0 $, знаменатель всегда положителен.
Таким образом, знак дроби совпадает со знаком числителя. Неравенство равносильно следующему:
$ 2x^3 - x^4 + 3x^2 > 0 $
$ -x^4 + 2x^3 + 3x^2 > 0 $
Умножим на -1 и сменим знак неравенства:
$ x^4 - 2x^3 - 3x^2 < 0 $
Вынесем $ x^2 $ за скобки:
$ x^2(x^2 - 2x - 3) < 0 $
Множитель $ x^2 \ge 0 $ при всех $x$. Для выполнения неравенства необходимо, чтобы $ x^2 \ne 0 $ (то есть $ x \ne 0 $) и второй множитель был отрицательным: $ x^2 - 2x - 3 < 0 $.
Найдем корни уравнения $ x^2 - 2x - 3 = 0 $. По теореме Виета, корни $ x_1 = 3 $ и $ x_2 = -1 $.
Неравенство $ (x + 1)(x - 3) < 0 $ выполняется для $ x $, лежащих между корнями: $ x \in (-1, 3) $.
Учитывая дополнительное условие $ x \ne 0 $, получаем окончательное решение, исключив точку 0 из интервала $ (-1, 3) $.
Ответ: $ x \in (-1, 0) \cup (0, 3) $.
г) Дано неравенство: $ \frac{2x^2 + 5x + 2}{(3 - x)^2 \cdot (4 - x^2)} \ge 0 $.
Разложим числитель и знаменатель на множители.
Для числителя $ 2x^2 + 5x + 2 = 0 $ найдем корни: $ D = 5^2 - 4 \cdot 2 \cdot 2 = 25 - 16 = 9 = 3^2 $. Корни $ x_{1,2} = \frac{-5 \pm 3}{4} $, то есть $ x_1 = -2 $ и $ x_2 = -1/2 $. Таким образом, $ 2x^2 + 5x + 2 = 2(x+2)(x+1/2) = (x+2)(2x+1) $.
Знаменатель: $ (3 - x)^2 \cdot (4 - x^2) = (3 - x)^2 \cdot (2 - x)(2 + x) $.
Неравенство принимает вид:
$ \frac{(x+2)(2x+1)}{(3-x)^2 (2-x)(x+2)} \ge 0 $
Определим область допустимых значений (ОДЗ): знаменатель не должен быть равен нулю.
$ (3-x)^2 \ne 0 \implies x \ne 3 $.
$ 4-x^2 \ne 0 \implies x^2 \ne 4 \implies x \ne 2 $ и $ x \ne -2 $.
Итак, ОДЗ: $ x \in \mathbb{R} \setminus \{-2, 2, 3\} $.
В ОДЗ ($ x \ne -2 $) можно сократить множитель $ (x+2) $:
$ \frac{2x+1}{(3-x)^2 (2-x)} \ge 0 $
Решим это неравенство методом интервалов. Нули числителя: $ 2x+1=0 \implies x = -1/2 $. Нули знаменателя: $ x=3 $ (корень четной кратности, 2) и $ x=2 $.
Отметим точки $ -1/2, 2, 3 $ на числовой оси и определим знаки выражения в полученных интервалах.
При переходе через точку $ x=3 $ знак не меняется, так как множитель $ (3-x) $ стоит в четной степени.
- Интервал $ (3, \infty) $: пусть $ x=4 $. $ \frac{2(4)+1}{(3-4)^2(2-4)} = \frac{+}{(-)^2(-)} = \frac{+}{(-)} < 0 $.
- Интервал $ (2, 3) $: пусть $ x=2.5 $. $ \frac{2(2.5)+1}{(3-2.5)^2(2-2.5)} = \frac{+}{(+)^2(-)} = \frac{+}{(-)} < 0 $.
- Интервал $ [-1/2, 2) $: пусть $ x=0 $. $ \frac{2(0)+1}{(3-0)^2(2-0)} = \frac{+}{(+)^2(+)} = \frac{+}{(+)} > 0 $. Точка $x=-1/2$ включается, так как неравенство нестрогое.
- Интервал $ (-\infty, -1/2) $: пусть $ x=-1 $. $ \frac{2(-1)+1}{(3-(-1))^2(2-(-1))} = \frac{-}{(+)^2(+)} = \frac{-}{(+)} < 0 $.
Неравенство $ \ge 0 $ выполняется на промежутке $ [-1/2, 2) $.
Сравним полученное решение с ОДЗ: $ x \ne -2, x \ne 2, x \ne 3 $. Интервал $ [-1/2, 2) $ не содержит точек -2 и 3, а точка 2 исключена. Следовательно, найденное решение удовлетворяет ОДЗ.
Ответ: $ x \in [-1/2, 2) $.
Другие задания:
Помогло решение? Оставьте отзыв в комментариях ниже.
Присоединяйтесь к Телеграм-группе @top_gdz
ПрисоединитьсяМы подготовили для вас ответ c подробным объяснением домашего задания по алгебре за 9 класс, для упражнения номер 51 расположенного на странице 17 к учебнику 2019 года издания для учащихся школ и гимназий.
Теперь на нашем сайте ГДЗ.ТОП вы всегда легко и бесплатно найдёте условие с правильным ответом на вопрос «Как решить ДЗ» и «Как сделать» задание по алгебре к упражнению №51 (с. 17), авторов: Солтан (Генадий Николаевич), Солтан (Алла Евгеньевна), Жумадилова (Аманбала Жумадиловна), учебного пособия издательства Кокшетау.