Номер 52, страница 17 - гдз по алгебре 9 класс учебник Солтан, Солтан

Авторы: Солтан Г. Н., Солтан А. Е., Жумадилова А. Ж.
Тип: Учебник
Издательство: Кокшетау
Год издания: 2019 - 2025
Цвет обложки:
ISBN: 978-601-317-424-2
Рекомендовано Министерством образования и науки Республики Казахстан
Популярные ГДЗ в 9 классе
Упражнения. Повторение курса алгебры 8 класса - номер 52, страница 17.
№52 (с. 17)
Условие. №52 (с. 17)
скриншот условия

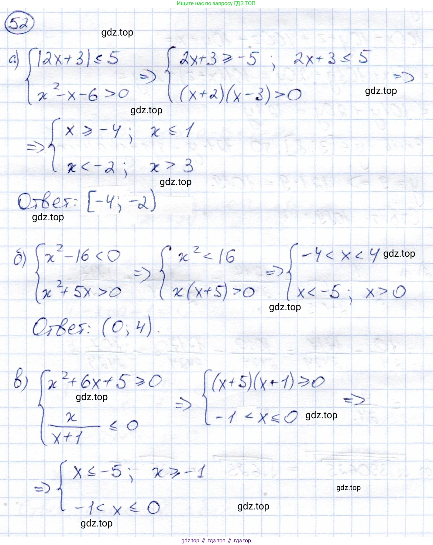
52. Решите систему неравенств:
a) $ \begin{cases} |2x + 3| \le 5, \\ x^2 - x - 6 > 0; \end{cases} $
б) $ \begin{cases} x^2 - 16 < 0, \\ x^2 + 5x > 0; \end{cases} $
в) $ \begin{cases} x^2 + 6x + 5 \ge 0, \\ \frac{x}{x+1} \le 0. \end{cases} $
Решение. №52 (с. 17)


Решение 2 (rus). №52 (с. 17)
а)
Решим систему неравенств:$$\begin{cases} |2x + 3| \le 5, \\x^2 - x - 6 > 0.\end{cases}$$
1. Решим первое неравенство $|2x + 3| \le 5$.
Это неравенство с модулем равносильно двойному неравенству:$$-5 \le 2x + 3 \le 5$$Вычтем 3 из всех частей неравенства:$$-5 - 3 \le 2x \le 5 - 3$$$$-8 \le 2x \le 2$$Разделим все части на 2:$$-4 \le x \le 1$$Решением первого неравенства является промежуток $x \in [-4, 1]$.
2. Решим второе неравенство $x^2 - x - 6 > 0$.
Сначала найдем корни квадратного уравнения $x^2 - x - 6 = 0$. Используя теорему Виета, находим корни $x_1 = 3$ и $x_2 = -2$.
Графиком функции $y = x^2 - x - 6$ является парабола, ветви которой направлены вверх. Следовательно, значения функции положительны при $x$ вне корней.
Решением второго неравенства является объединение промежутков $x \in (-\infty, -2) \cup (3, \infty)$.
3. Найдем пересечение решений обоих неравенств.
Нам нужно найти пересечение множеств $[-4, 1]$ и $(-\infty, -2) \cup (3, \infty)$.
Пересекая $[-4, 1]$ с $(-\infty, -2)$, получаем $[-4, -2)$.
Пересечение $[-4, 1]$ с $(3, \infty)$ является пустым множеством.
Таким образом, решение системы — это $x \in [-4, -2)$.
Ответ: $x \in [-4, -2)$.
б)
Решим систему неравенств:$$\begin{cases} x^2 - 16 < 0, \\x^2 + 5x > 0.\end{cases}$$
1. Решим первое неравенство $x^2 - 16 < 0$.
Разложим левую часть на множители по формуле разности квадратов: $(x - 4)(x + 4) < 0$.
Корни уравнения $(x - 4)(x + 4) = 0$ — это $x_1 = 4$ и $x_2 = -4$.
Так как это парабола с ветвями вверх, неравенство выполняется между корнями.
Решением первого неравенства является интервал $x \in (-4, 4)$.
2. Решим второе неравенство $x^2 + 5x > 0$.
Вынесем $x$ за скобки: $x(x + 5) > 0$.
Корни уравнения $x(x + 5) = 0$ — это $x_1 = 0$ и $x_2 = -5$.
Это также парабола с ветвями вверх, поэтому неравенство выполняется вне корней.
Решением второго неравенства является объединение интервалов $x \in (-\infty, -5) \cup (0, \infty)$.
3. Найдем пересечение решений: $x \in (-4, 4) \cap ((-\infty, -5) \cup (0, \infty))$.
Пересечение интервала $(-4, 4)$ с $(-\infty, -5)$ пусто.
Пересечение интервала $(-4, 4)$ с $(0, \infty)$ дает интервал $(0, 4)$.
Таким образом, решение системы — это $x \in (0, 4)$.
Ответ: $x \in (0, 4)$.
в)
Решим систему неравенств:$$\begin{cases} x^2 + 6x + 5 \ge 0, \\\frac{x}{x+1} \le 0.\end{cases}$$
1. Решим первое неравенство $x^2 + 6x + 5 \ge 0$.
Найдем корни уравнения $x^2 + 6x + 5 = 0$. По теореме Виета, корни $x_1 = -1$ и $x_2 = -5$.
Это парабола с ветвями вверх, поэтому неравенство выполняется на корнях и вне них.
Решением первого неравенства является $x \in (-\infty, -5] \cup [-1, \infty)$.
2. Решим второе неравенство $\frac{x}{x+1} \le 0$.
Используем метод интервалов. Найдем нули числителя и знаменателя.
Нуль числителя: $x = 0$.
Нуль знаменателя: $x + 1 = 0 \implies x = -1$.
Отметим эти точки на числовой прямой. Точка $x=0$ будет закрашенной (включена в решение), так как неравенство нестрогое. Точка $x=-1$ будет выколотой (не включена), так как знаменатель не может быть равен нулю.
Определим знаки выражения на интервалах:
- При $x < -1$ (например, $x=-2$): $\frac{-2}{-1} > 0$.
- При $-1 < x \le 0$ (например, $x=-0.5$): $\frac{-0.5}{0.5} < 0$. Этот интервал подходит.
- При $x > 0$ (например, $x=1$): $\frac{1}{2} > 0$.
3. Найдем пересечение решений: $x \in ((-\infty, -5] \cup [-1, \infty)) \cap (-1, 0]$.
Пересечение множества $(-\infty, -5] \cup [-1, \infty)$ с полуинтервалом $(-1, 0]$ дает в результате полуинтервал $(-1, 0]$.
Ответ: $x \in (-1, 0]$.
Другие задания:
Помогло решение? Оставьте отзыв в комментариях ниже.
Присоединяйтесь к Телеграм-группе @top_gdz
ПрисоединитьсяМы подготовили для вас ответ c подробным объяснением домашего задания по алгебре за 9 класс, для упражнения номер 52 расположенного на странице 17 к учебнику 2019 года издания для учащихся школ и гимназий.
Теперь на нашем сайте ГДЗ.ТОП вы всегда легко и бесплатно найдёте условие с правильным ответом на вопрос «Как решить ДЗ» и «Как сделать» задание по алгебре к упражнению №52 (с. 17), авторов: Солтан (Генадий Николаевич), Солтан (Алла Евгеньевна), Жумадилова (Аманбала Жумадиловна), учебного пособия издательства Кокшетау.