Номер 49, страница 16 - гдз по алгебре 9 класс учебник Солтан, Солтан

Авторы: Солтан Г. Н., Солтан А. Е., Жумадилова А. Ж.
Тип: Учебник
Издательство: Кокшетау
Год издания: 2019 - 2025
Цвет обложки:
ISBN: 978-601-317-424-2
Рекомендовано Министерством образования и науки Республики Казахстан
Популярные ГДЗ в 9 классе
Упражнения. Повторение курса алгебры 8 класса - номер 49, страница 16.
№49 (с. 16)
Условие. №49 (с. 16)
скриншот условия

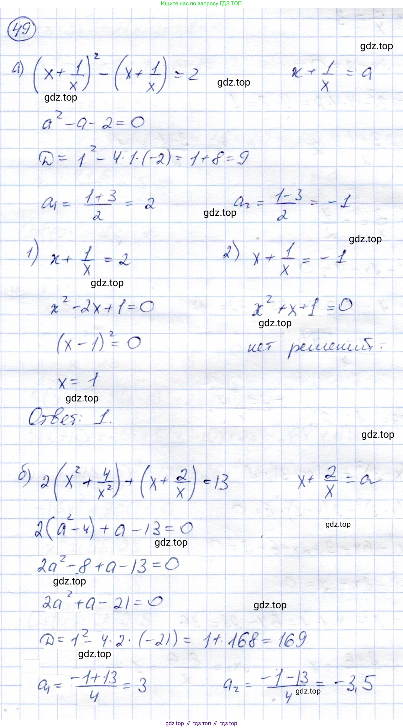
49. Найдите все корни уравнения:
а) $(x + \frac{1}{x})^2 - (x + \frac{1}{x}) = 2;$
б) $2(x^2 + \frac{4}{x^2}) + (x + \frac{2}{x}) = 13;$
в) $(x - 3)^2 - 2|x - 3| = 8;$
г) $\frac{x+5}{x-5} + \frac{x-5}{x+5} = 5\frac{1}{5}.$
Решение. №49 (с. 16)



Решение 2 (rus). №49 (с. 16)
а)Исходное уравнение: $(x + \frac{1}{x})^2 - (x + \frac{1}{x}) = 2$.Область допустимых значений (ОДЗ): $x \neq 0$.Сделаем замену переменной. Пусть $y = x + \frac{1}{x}$. Тогда уравнение примет вид:$y^2 - y = 2$Перенесем все члены в левую часть, чтобы получить стандартное квадратное уравнение:$y^2 - y - 2 = 0$Найдем корни этого уравнения. Можно использовать теорему Виета или формулу для корней квадратного уравнения. По теореме Виета: $y_1 + y_2 = 1$ и $y_1 \cdot y_2 = -2$. Подбором находим корни: $y_1 = 2$ и $y_2 = -1$.Теперь выполним обратную замену.Случай 1: $y = 2$.$x + \frac{1}{x} = 2$Умножим обе части на $x$ (это возможно, так как $x \neq 0$):$x^2 + 1 = 2x$$x^2 - 2x + 1 = 0$Это полный квадрат разности:$(x-1)^2 = 0$Отсюда $x = 1$. Этот корень удовлетворяет ОДЗ.Случай 2: $y = -1$.$x + \frac{1}{x} = -1$Умножим обе части на $x$:$x^2 + 1 = -x$$x^2 + x + 1 = 0$Найдем дискриминант этого квадратного уравнения:$D = b^2 - 4ac = 1^2 - 4 \cdot 1 \cdot 1 = 1 - 4 = -3$Так как дискриминант $D < 0$, данное уравнение не имеет действительных корней.Таким образом, единственным решением исходного уравнения является $x=1$.
Ответ: $1$.
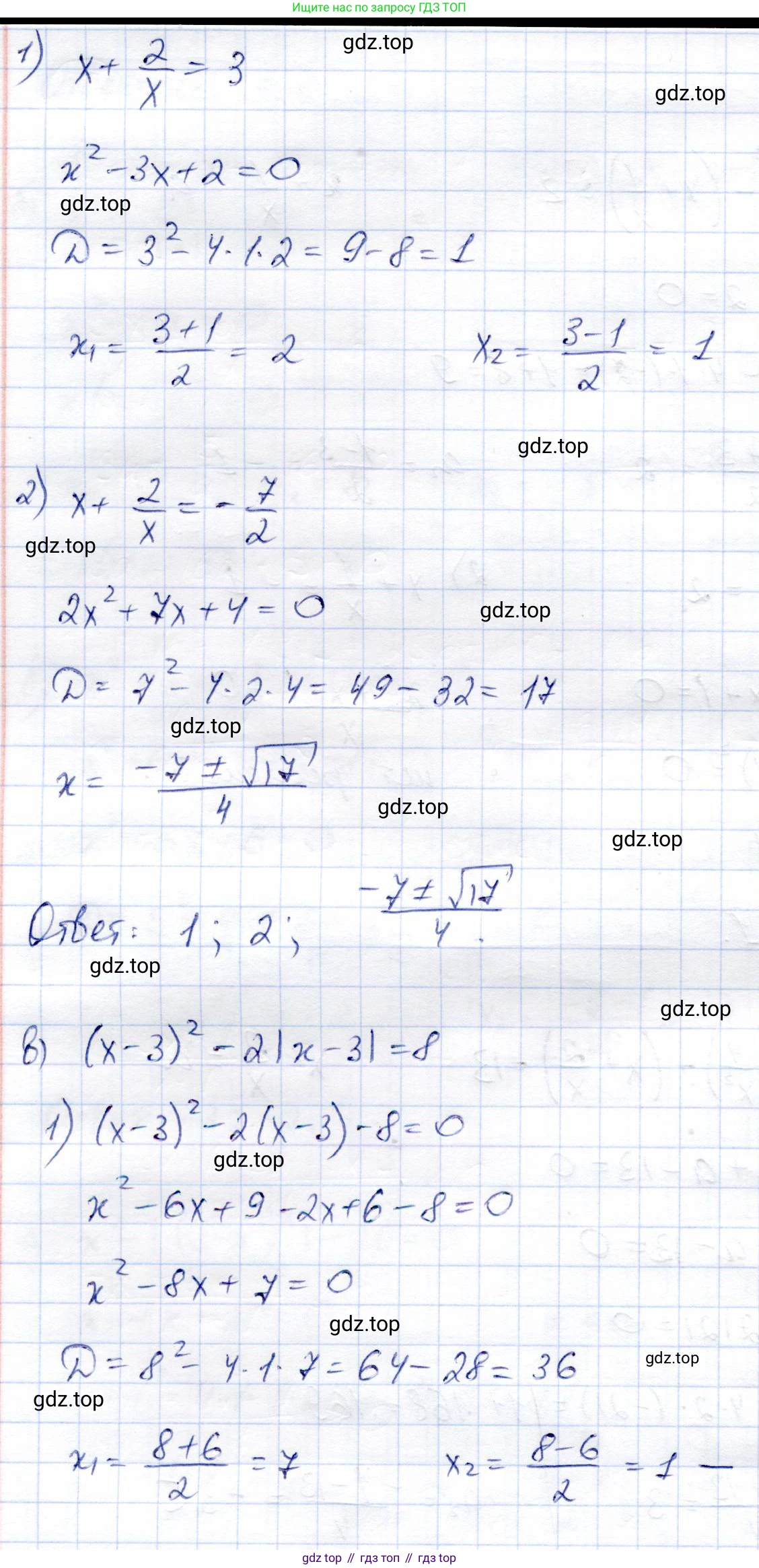
б)Исходное уравнение: $2(x^2 + \frac{4}{x^2}) + (x + \frac{2}{x}) = 13$.ОДЗ: $x \neq 0$.Сделаем замену переменной. Пусть $y = x + \frac{2}{x}$.Возведем обе части этого равенства в квадрат, чтобы выразить $x^2 + \frac{4}{x^2}$ через $y$:$y^2 = (x + \frac{2}{x})^2 = x^2 + 2 \cdot x \cdot \frac{2}{x} + (\frac{2}{x})^2 = x^2 + 4 + \frac{4}{x^2}$Отсюда $x^2 + \frac{4}{x^2} = y^2 - 4$.Подставим полученные выражения в исходное уравнение:$2(y^2 - 4) + y = 13$$2y^2 - 8 + y = 13$$2y^2 + y - 21 = 0$Решим это квадратное уравнение относительно $y$. Дискриминант:$D = b^2 - 4ac = 1^2 - 4 \cdot 2 \cdot (-21) = 1 + 168 = 169 = 13^2$Корни для $y$:$y_1 = \frac{-1 + 13}{2 \cdot 2} = \frac{12}{4} = 3$$y_2 = \frac{-1 - 13}{2 \cdot 2} = \frac{-14}{4} = -\frac{7}{2}$Выполним обратную замену.Случай 1: $y = 3$.$x + \frac{2}{x} = 3$$x^2 + 2 = 3x$$x^2 - 3x + 2 = 0$По теореме Виета, корни $x_1 = 1$ и $x_2 = 2$.Случай 2: $y = -\frac{7}{2}$.$x + \frac{2}{x} = -\frac{7}{2}$Умножим обе части на $2x$:$2x^2 + 4 = -7x$$2x^2 + 7x + 4 = 0$Дискриминант: $D = 7^2 - 4 \cdot 2 \cdot 4 = 49 - 32 = 17$.Корни: $x_{3,4} = \frac{-7 \pm \sqrt{17}}{4}$.Все четыре найденных корня удовлетворяют ОДЗ.
Ответ: $1; 2; \frac{-7 \pm \sqrt{17}}{4}$.
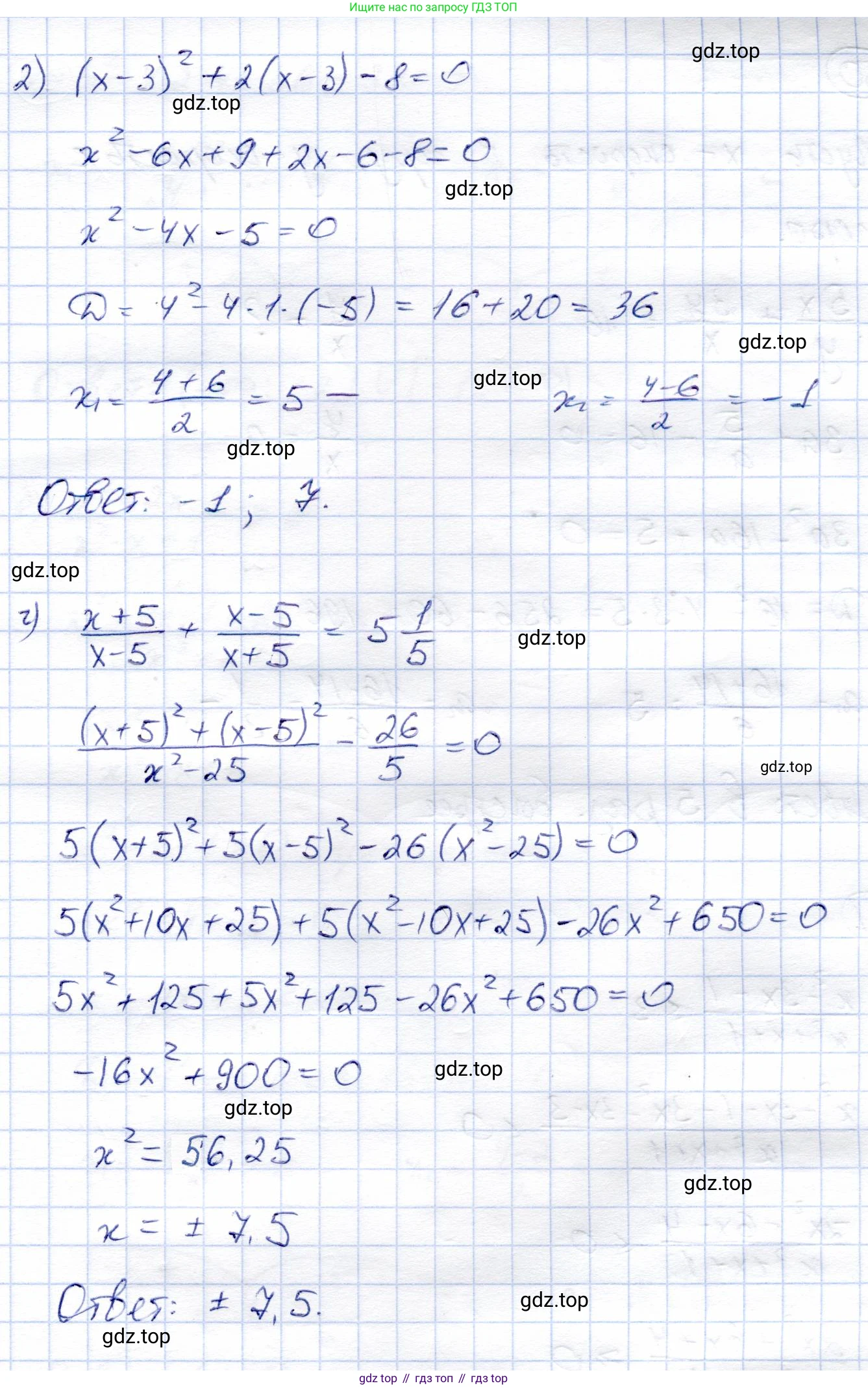
в)Исходное уравнение: $(x - 3)^2 - 2|x - 3| = 8$.Заметим, что $(x - 3)^2 = |x - 3|^2$, так как квадрат любого числа неотрицателен.Сделаем замену. Пусть $y = |x - 3|$. Учтем, что $y \ge 0$.Уравнение примет вид:$y^2 - 2y = 8$$y^2 - 2y - 8 = 0$Решим квадратное уравнение. По теореме Виета: $y_1 + y_2 = 2$ и $y_1 \cdot y_2 = -8$. Корни: $y_1 = 4$ и $y_2 = -2$.Поскольку $y = |x - 3| \ge 0$, корень $y_2 = -2$ является посторонним.Остается один вариант: $y = 4$.Выполним обратную замену:$|x - 3| = 4$Это уравнение равносильно двум уравнениям:1) $x - 3 = 4 \implies x = 7$2) $x - 3 = -4 \implies x = -1$Оба корня являются решениями.
Ответ: $-1; 7$.
г)Исходное уравнение: $\frac{x+5}{x-5} + \frac{x-5}{x+5} = 5\frac{1}{5}$.ОДЗ: $x-5 \neq 0$ и $x+5 \neq 0$, то есть $x \neq 5$ и $x \neq -5$.Сделаем замену. Пусть $y = \frac{x+5}{x-5}$. Тогда $\frac{x-5}{x+5} = \frac{1}{y}$.Переведем смешанную дробь в неправильную: $5\frac{1}{5} = \frac{5 \cdot 5 + 1}{5} = \frac{26}{5}$.Уравнение примет вид:$y + \frac{1}{y} = \frac{26}{5}$Умножим обе части на $5y$ (при $y \neq 0$):$5y^2 + 5 = 26y$$5y^2 - 26y + 5 = 0$Решим это квадратное уравнение. Дискриминант:$D = (-26)^2 - 4 \cdot 5 \cdot 5 = 676 - 100 = 576 = 24^2$Корни для $y$:$y_1 = \frac{26 + 24}{2 \cdot 5} = \frac{50}{10} = 5$$y_2 = \frac{26 - 24}{2 \cdot 5} = \frac{2}{10} = \frac{1}{5}$Выполним обратную замену.Случай 1: $y = 5$.$\frac{x+5}{x-5} = 5$$x+5 = 5(x-5)$$x+5 = 5x - 25$$30 = 4x$$x = \frac{30}{4} = \frac{15}{2} = 7.5$. Этот корень удовлетворяет ОДЗ.Случай 2: $y = \frac{1}{5}$.$\frac{x+5}{x-5} = \frac{1}{5}$$5(x+5) = 1(x-5)$$5x + 25 = x - 5$$4x = -30$$x = -\frac{30}{4} = -\frac{15}{2} = -7.5$. Этот корень также удовлетворяет ОДЗ.
Ответ: $-7.5; 7.5$.
Другие задания:
Помогло решение? Оставьте отзыв в комментариях ниже.
Присоединяйтесь к Телеграм-группе @top_gdz
ПрисоединитьсяМы подготовили для вас ответ c подробным объяснением домашего задания по алгебре за 9 класс, для упражнения номер 49 расположенного на странице 16 к учебнику 2019 года издания для учащихся школ и гимназий.
Теперь на нашем сайте ГДЗ.ТОП вы всегда легко и бесплатно найдёте условие с правильным ответом на вопрос «Как решить ДЗ» и «Как сделать» задание по алгебре к упражнению №49 (с. 16), авторов: Солтан (Генадий Николаевич), Солтан (Алла Евгеньевна), Жумадилова (Аманбала Жумадиловна), учебного пособия издательства Кокшетау.