Номер 41, страница 15 - гдз по алгебре 9 класс учебник Солтан, Солтан

Авторы: Солтан Г. Н., Солтан А. Е., Жумадилова А. Ж.
Тип: Учебник
Издательство: Кокшетау
Год издания: 2019 - 2025
Цвет обложки:
ISBN: 978-601-317-424-2
Рекомендовано Министерством образования и науки Республики Казахстан
Популярные ГДЗ в 9 классе
Упражнения. Повторение курса алгебры 8 класса - номер 41, страница 15.
№41 (с. 15)
Условие. №41 (с. 15)
скриншот условия

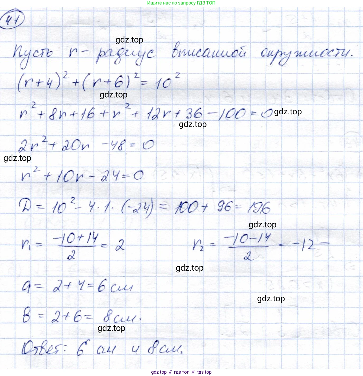
41. Найдите катеты прямоугольного треугольника, если известно, что вписанная в него окружность точкой касания делит гипотенузу на отрезки 4 см и 6 см.
Решение. №41 (с. 15)

Решение 2 (rus). №41 (с. 15)
Пусть дан прямоугольный треугольник с катетами $a$ и $b$ и гипотенузой $c$.
По условию, вписанная в него окружность делит гипотенузу точкой касания на отрезки длиной 4 см и 6 см. Следовательно, длина гипотенузы $c$ равна их сумме:
$c = 4 \text{ см} + 6 \text{ см} = 10 \text{ см}$.
Используем свойство касательных к окружности, проведенных из одной вершины: отрезки касательных от вершины до точек касания равны. Обозначим радиус вписанной окружности как $r$. В прямоугольном треугольнике четырехугольник, образованный вершиной прямого угла, центром вписанной окружности и точками касания на катетах, является квадратом со стороной $r$.
Таким образом, отрезки, на которые точки касания делят гипотенузу (4 см и 6 см), равны отрезкам на катетах, примыкающих к острым углам. Катеты треугольника можно выразить через $r$ и длины этих отрезков:
$a = 4 + r$
$b = 6 + r$
Согласно теореме Пифагора, $a^2 + b^2 = c^2$. Подставим в это уравнение наши выражения для катетов и гипотенузы:
$(4 + r)^2 + (6 + r)^2 = 10^2$
Теперь решим это уравнение относительно $r$:
$(16 + 8r + r^2) + (36 + 12r + r^2) = 100$
$2r^2 + 20r + 52 = 100$
$2r^2 + 20r - 48 = 0$
Разделим обе части уравнения на 2, чтобы упростить его:
$r^2 + 10r - 24 = 0$
Найдем корни этого квадратного уравнения. По теореме Виета, произведение корней равно -24, а их сумма равна -10. Этим условиям удовлетворяют числа 2 и -12.
$r_1 = 2$, $r_2 = -12$.
Поскольку радиус $r$ является длиной, он должен быть положительным. Таким образом, $r = 2$ см.
Теперь, зная значение $r$, мы можем найти длины катетов:
Один катет: $4 + r = 4 + 2 = 6$ см
Другой катет: $6 + r = 6 + 2 = 8$ см
Ответ: катеты прямоугольного треугольника равны 6 см и 8 см.
Другие задания:
Помогло решение? Оставьте отзыв в комментариях ниже.
Присоединяйтесь к Телеграм-группе @top_gdz
ПрисоединитьсяМы подготовили для вас ответ c подробным объяснением домашего задания по алгебре за 9 класс, для упражнения номер 41 расположенного на странице 15 к учебнику 2019 года издания для учащихся школ и гимназий.
Теперь на нашем сайте ГДЗ.ТОП вы всегда легко и бесплатно найдёте условие с правильным ответом на вопрос «Как решить ДЗ» и «Как сделать» задание по алгебре к упражнению №41 (с. 15), авторов: Солтан (Генадий Николаевич), Солтан (Алла Евгеньевна), Жумадилова (Аманбала Жумадиловна), учебного пособия издательства Кокшетау.