Номер 429, страница 119 - гдз по алгебре 9 класс учебник Макарычев, Миндюк

Авторы: Макарычев Ю. Н., Миндюк Н. Г., Нешков К. И., Суворова С. Б.
Тип: Учебник
Издательство: Просвещение
Год издания: 2014 - 2024
Цвет обложки:
ISBN: 978-5-09-0779-15
Допущено Министерством просвещения Российской Федерации
Популярные ГДЗ в 9 классе
19. Решение систем уравнений второй степени. § 7. Уравнения с двумя переменными и их системы. Глава 3. Уравнения и неравенства с двумя переменными - номер 429, страница 119.
№429 (с. 119)
Условие. №429 (с. 119)
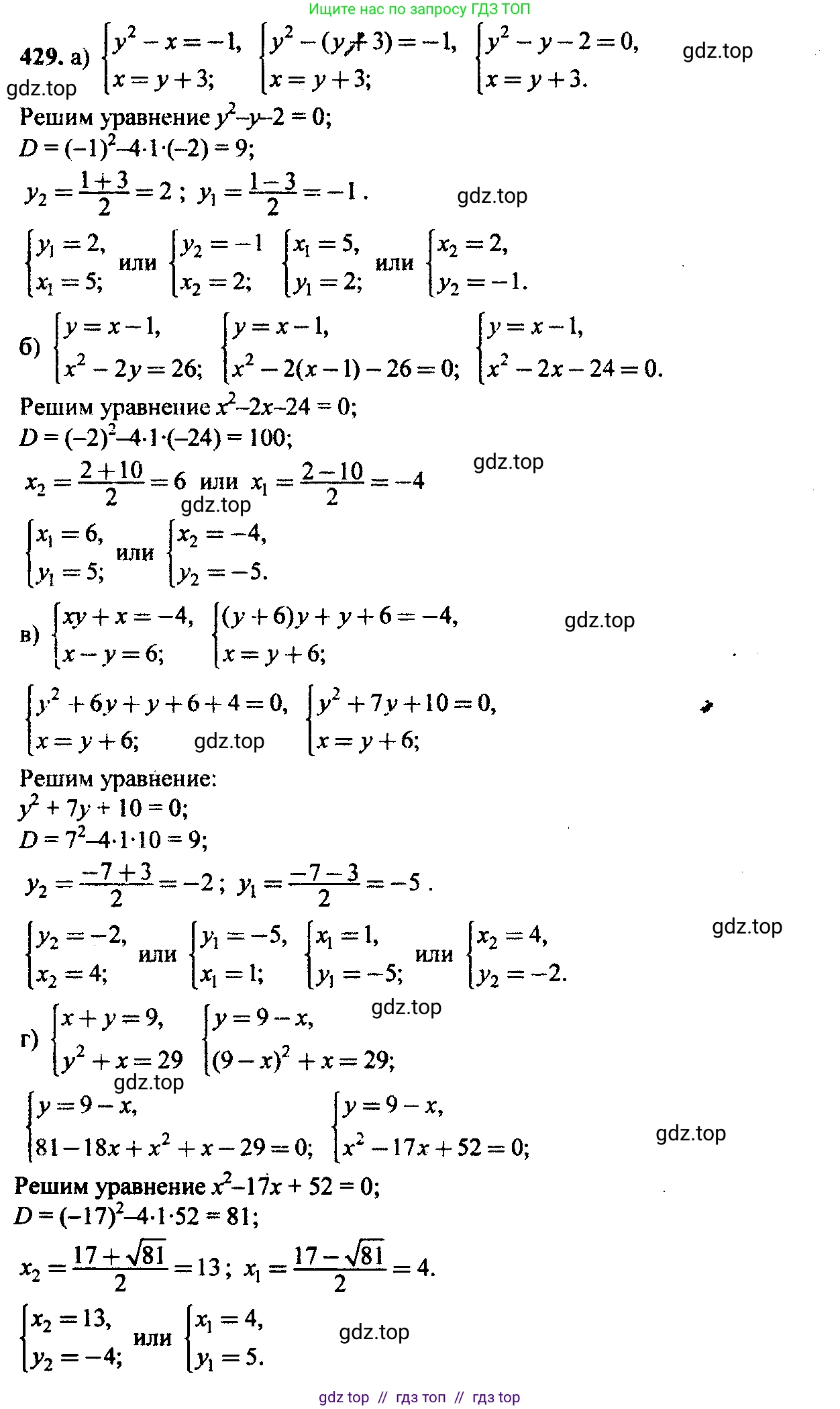
скриншот условия

429. Решите способом подстановки систему уравнений:
а) $\begin{cases} y^2 - x = -1, \\ x = y + 3; \end{cases}$
б) $\begin{cases} y = x - 1, \\ x^2 - 2y = 26; \end{cases}$
в) $\begin{cases} xy + x = -4, \\ x - y = 6; \end{cases}$
г) $\begin{cases} x + y = 9, \\ y^2 + x = 29. \end{cases}$
Решение 1. №429 (с. 119)




Решение 2. №429 (с. 119)


Решение 3. №429 (с. 119)

Решение 4. №429 (с. 119)

Решение 5. №429 (с. 119)

Решение 7. №429 (с. 119)

Решение 8. №429 (с. 119)
а)
Дана система уравнений:
$\begin{cases} y^2 - x = -1, \\ x = y + 3. \end{cases}$
Во втором уравнении переменная $x$ уже выражена через $y$. Подставим это выражение в первое уравнение системы:
$y^2 - (y + 3) = -1$
Раскроем скобки и приведем подобные слагаемые, чтобы получить квадратное уравнение:
$y^2 - y - 3 = -1$
$y^2 - y - 2 = 0$
Решим это квадратное уравнение относительно $y$. По теореме Виета, сумма корней равна $1$, а произведение равно $-2$. Корни: $y_1 = 2$ и $y_2 = -1$.
Теперь найдем соответствующие значения $x$ для каждого найденного $y$, используя уравнение $x = y + 3$.
1) Если $y_1 = 2$, то $x_1 = 2 + 3 = 5$.
2) Если $y_2 = -1$, то $x_2 = -1 + 3 = 2$.
Таким образом, мы получили две пары решений.
Ответ: $(5, 2), (2, -1)$.
б)
Дана система уравнений:
$\begin{cases} y = x - 1, \\ x^2 - 2y = 26. \end{cases}$
В первом уравнении переменная $y$ выражена через $x$. Подставим это выражение во второе уравнение системы:
$x^2 - 2(x - 1) = 26$
Раскроем скобки и приведем подобные слагаемые:
$x^2 - 2x + 2 = 26$
$x^2 - 2x - 24 = 0$
Решим полученное квадратное уравнение. По теореме Виета, сумма корней равна $2$, а произведение $-24$. Корни: $x_1 = 6$ и $x_2 = -4$.
Найдем соответствующие значения $y$, используя уравнение $y = x - 1$.
1) Если $x_1 = 6$, то $y_1 = 6 - 1 = 5$.
2) Если $x_2 = -4$, то $y_2 = -4 - 1 = -5$.
Получаем две пары решений.
Ответ: $(6, 5), (-4, -5)$.
в)
Дана система уравнений:
$\begin{cases} xy + x = -4, \\ x - y = 6. \end{cases}$
Из второго уравнения выразим $x$ через $y$:
$x = y + 6$
Подставим это выражение в первое уравнение:
$(y + 6)y + (y + 6) = -4$
Раскроем скобки и упростим выражение:
$y^2 + 6y + y + 6 = -4$
$y^2 + 7y + 10 = 0$
Решим квадратное уравнение. По теореме Виета, сумма корней равна $-7$, а произведение $10$. Корни: $y_1 = -2$ и $y_2 = -5$.
Теперь найдем соответствующие значения $x$ из уравнения $x = y + 6$.
1) Если $y_1 = -2$, то $x_1 = -2 + 6 = 4$.
2) Если $y_2 = -5$, то $x_2 = -5 + 6 = 1$.
Получаем две пары решений.
Ответ: $(4, -2), (1, -5)$.
г)
Дана система уравнений:
$\begin{cases} x + y = 9, \\ y^2 + x = 29. \end{cases}$
Из первого уравнения выразим $x$ через $y$:
$x = 9 - y$
Подставим это выражение во второе уравнение системы:
$y^2 + (9 - y) = 29$
Приведем уравнение к стандартному квадратному виду:
$y^2 - y + 9 - 29 = 0$
$y^2 - y - 20 = 0$
Решим полученное квадратное уравнение. По теореме Виета, сумма корней равна $1$, а произведение $-20$. Корни: $y_1 = 5$ и $y_2 = -4$.
Найдем соответствующие значения $x$ из уравнения $x = 9 - y$.
1) Если $y_1 = 5$, то $x_1 = 9 - 5 = 4$.
2) Если $y_2 = -4$, то $x_2 = 9 - (-4) = 9 + 4 = 13$.
Получаем две пары решений.
Ответ: $(4, 5), (13, -4)$.
Другие задания:
Помогло решение? Оставьте отзыв в комментариях ниже.
Мы подготовили для вас ответ c подробным объяснением домашего задания по алгебре за 9 класс, для упражнения номер 429 расположенного на странице 119 к учебнику 2014 - 2024 года издания для учащихся школ и гимназий.
Теперь на нашем сайте ГДЗ.ТОП вы всегда легко и бесплатно найдёте условие с правильным ответом на вопрос «Как решить ДЗ» и «Как сделать» задание по алгебре к упражнению №429 (с. 119), авторов: Макарычев (Юрий Николаевич), Миндюк (Нора Григорьевна), Нешков (Константин Иванович), Суворова (Светлана Борисовна), ФГОС (старый) учебного пособия издательства Просвещение.