Номер 432, страница 119 - гдз по алгебре 9 класс учебник Макарычев, Миндюк

Авторы: Макарычев Ю. Н., Миндюк Н. Г., Нешков К. И., Суворова С. Б.
Тип: Учебник
Издательство: Просвещение
Год издания: 2014 - 2024
Цвет обложки:
ISBN: 978-5-09-0779-15
Допущено Министерством просвещения Российской Федерации
Популярные ГДЗ в 9 классе
19. Решение систем уравнений второй степени. § 7. Уравнения с двумя переменными и их системы. Глава 3. Уравнения и неравенства с двумя переменными - номер 432, страница 119.
№432 (с. 119)
Условие. №432 (с. 119)
скриншот условия

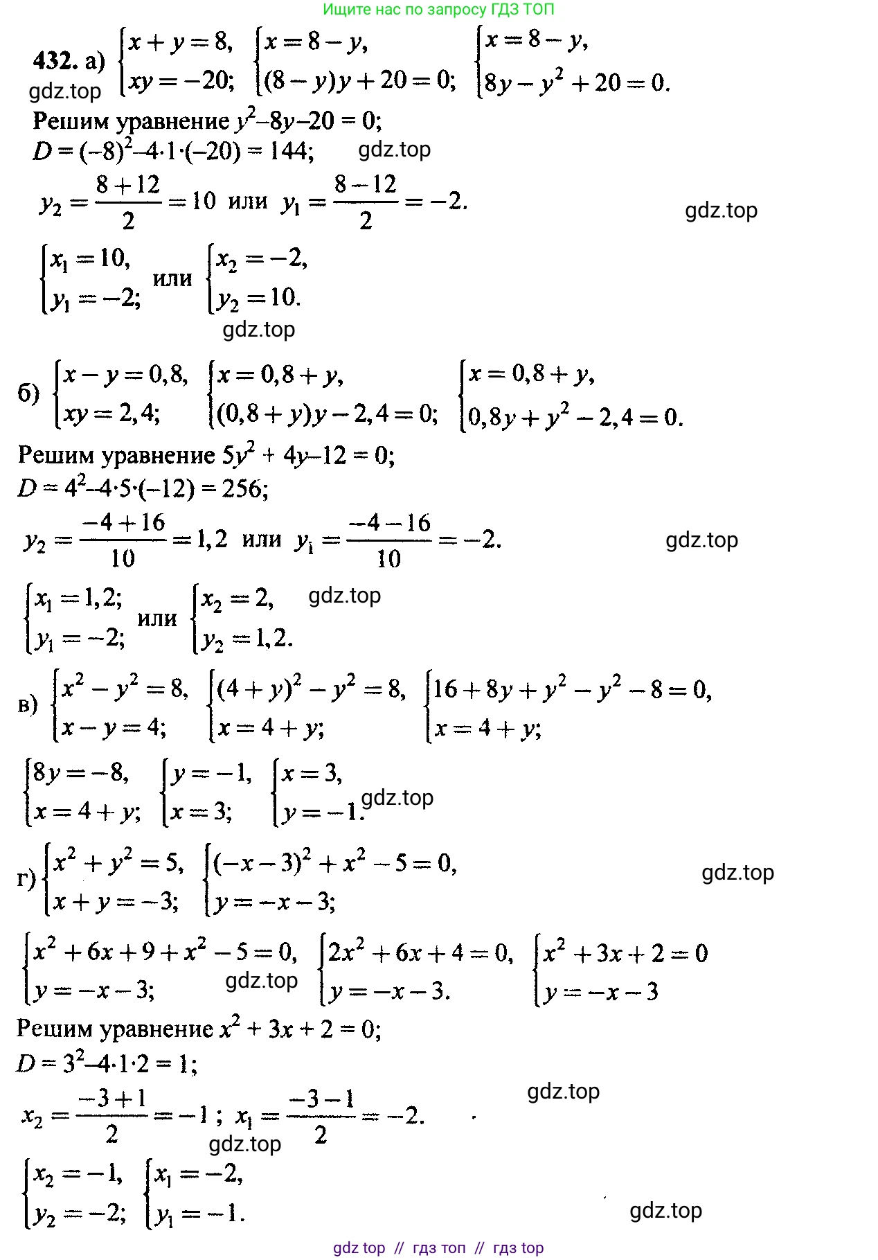
432. Решите систему уравнений:
а) $\begin{cases} x + y = 8, \\ xy = -20; \end{cases}$
б) $\begin{cases} x - y = 0,8, \\ xy = 2,4; \end{cases}$
в) $\begin{cases} x^2 - y^2 = 8, \\ x - y = 4; \end{cases}$
г) $\begin{cases} x^2 + y^2 = 5, \\ x + y = -3. \end{cases}$
Решение 1. №432 (с. 119)




Решение 2. №432 (с. 119)


Решение 3. №432 (с. 119)

Решение 4. №432 (с. 119)

Решение 5. №432 (с. 119)

Решение 7. №432 (с. 119)

Решение 8. №432 (с. 119)
Дана система уравнений:
$$ \begin{cases} x + y = 8 \\ xy = -20 \end{cases} $$
Согласно теореме, обратной теореме Виета, переменные $x$ и $y$ являются корнями вспомогательного квадратного уравнения $t^2 - (x+y)t + xy = 0$.
Подставим в это уравнение известные значения суммы $x+y=8$ и произведения $xy=-20$:
$$t^2 - 8t - 20 = 0$$
Решим это уравнение. Дискриминант $D = b^2 - 4ac = (-8)^2 - 4 \cdot 1 \cdot (-20) = 64 + 80 = 144$.
Корни уравнения:
$$t_1 = \frac{8 + \sqrt{144}}{2} = \frac{8 + 12}{2} = 10$$
$$t_2 = \frac{8 - \sqrt{144}}{2} = \frac{8 - 12}{2} = -2$$
Так как система симметрична относительно $x$ и $y$, то решениями являются пары $(t_1, t_2)$ и $(t_2, t_1)$.
Ответ: $(10, -2), (-2, 10)$.
б)Дана система уравнений:
$$ \begin{cases} x - y = 0,8 \\ xy = 2,4 \end{cases} $$
Используем метод подстановки. Из первого уравнения выразим $x$:
$$x = y + 0,8$$
Подставим это выражение во второе уравнение системы:
$$(y + 0,8)y = 2,4$$
$$y^2 + 0,8y - 2,4 = 0$$
Для удобства вычислений умножим уравнение на 10:
$$10y^2 + 8y - 24 = 0$$
Разделим все члены уравнения на 2:
$$5y^2 + 4y - 12 = 0$$
Решим полученное квадратное уравнение. Дискриминант $D = b^2 - 4ac = 4^2 - 4 \cdot 5 \cdot (-12) = 16 + 240 = 256$.
Корни уравнения для $y$:
$$y_1 = \frac{-4 + \sqrt{256}}{2 \cdot 5} = \frac{-4 + 16}{10} = \frac{12}{10} = 1,2$$
$$y_2 = \frac{-4 - \sqrt{256}}{2 \cdot 5} = \frac{-4 - 16}{10} = \frac{-20}{10} = -2$$
Теперь найдем соответствующие значения $x$ для каждого $y$ из выражения $x = y + 0,8$:
При $y_1 = 1,2$, $x_1 = 1,2 + 0,8 = 2$.
При $y_2 = -2$, $x_2 = -2 + 0,8 = -1,2$.
Ответ: $(2; 1,2), (-1,2; -2)$.
в)Дана система уравнений:
$$ \begin{cases} x^2 - y^2 = 8 \\ x - y = 4 \end{cases} $$
В первом уравнении используем формулу разности квадратов $a^2 - b^2 = (a-b)(a+b)$:
$$(x - y)(x + y) = 8$$
Из второго уравнения системы мы знаем, что $x - y = 4$. Подставим это значение в преобразованное первое уравнение:
$$4(x + y) = 8$$
Отсюда находим $x+y$:
$$x + y = 2$$
Теперь мы имеем простую систему линейных уравнений:
$$ \begin{cases} x + y = 2 \\ x - y = 4 \end{cases} $$
Сложим эти два уравнения, чтобы найти $x$:
$$(x+y) + (x-y) = 2 + 4$$
$$2x = 6$$
$$x = 3$$
Подставим найденное значение $x=3$ в уравнение $x+y=2$:
$$3 + y = 2$$
$$y = 2 - 3 = -1$$
Ответ: $(3, -1)$.
г)Дана система уравнений:
$$ \begin{cases} x^2 + y^2 = 5 \\ x + y = -3 \end{cases} $$
Возведем второе уравнение в квадрат:
$$(x+y)^2 = (-3)^2$$
$$x^2 + 2xy + y^2 = 9$$
Мы знаем из первого уравнения, что $x^2 + y^2 = 5$. Подставим это значение в полученное уравнение:
$$5 + 2xy = 9$$
$$2xy = 9 - 5$$
$$2xy = 4$$
$$xy = 2$$
Теперь исходную систему можно заменить эквивалентной системой:
$$ \begin{cases} x + y = -3 \\ xy = 2 \end{cases} $$
По теореме, обратной теореме Виета, $x$ и $y$ являются корнями квадратного уравнения $t^2 - (-3)t + 2 = 0$, то есть:
$$t^2 + 3t + 2 = 0$$
Это приведенное квадратное уравнение, корни которого легко найти подбором: произведение корней равно 2, а сумма равна -3. Этим условиям удовлетворяют числа -1 и -2.
Итак, $t_1 = -1$, $t_2 = -2$.
Решениями системы являются пары $(t_1, t_2)$ и $(t_2, t_1)$.
Ответ: $(-1, -2), (-2, -1)$.
Другие задания:
Помогло решение? Оставьте отзыв в комментариях ниже.
Мы подготовили для вас ответ c подробным объяснением домашего задания по алгебре за 9 класс, для упражнения номер 432 расположенного на странице 119 к учебнику 2014 - 2024 года издания для учащихся школ и гимназий.
Теперь на нашем сайте ГДЗ.ТОП вы всегда легко и бесплатно найдёте условие с правильным ответом на вопрос «Как решить ДЗ» и «Как сделать» задание по алгебре к упражнению №432 (с. 119), авторов: Макарычев (Юрий Николаевич), Миндюк (Нора Григорьевна), Нешков (Константин Иванович), Суворова (Светлана Борисовна), ФГОС (старый) учебного пособия издательства Просвещение.