Номер 434, страница 119 - гдз по алгебре 9 класс учебник Макарычев, Миндюк

Авторы: Макарычев Ю. Н., Миндюк Н. Г., Нешков К. И., Суворова С. Б.
Тип: Учебник
Издательство: Просвещение
Год издания: 2014 - 2024
Цвет обложки:
ISBN: 978-5-09-0779-15
Допущено Министерством просвещения Российской Федерации
Популярные ГДЗ в 9 классе
19. Решение систем уравнений второй степени. § 7. Уравнения с двумя переменными и их системы. Глава 3. Уравнения и неравенства с двумя переменными - номер 434, страница 119.
№434 (с. 119)
Условие. №434 (с. 119)
скриншот условия

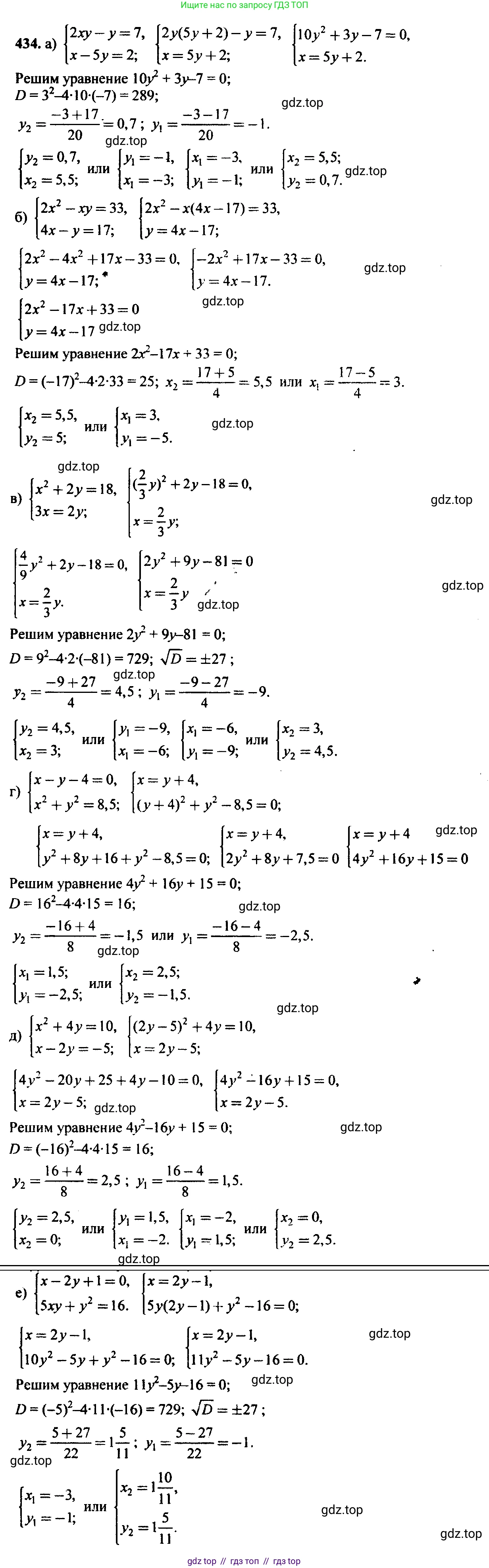
434. Решите систему уравнений:
а) $\begin{cases} 2xy - y = 7, \\ x - 5y = 2; \end{cases}$
б) $\begin{cases} 2x^2 - xy = 33, \\ 4x - y = 17; \end{cases}$
в) $\begin{cases} x^2 + 2y = 18, \\ 3x = 2y; \end{cases}$
г) $\begin{cases} x - y - 4 = 0, \\ x^2 + y^2 = 8,5; \end{cases}$
д) $\begin{cases} x^2 + 4y = 10, \\ x - 2y = -5; \end{cases}$
е) $\begin{cases} x - 2y + 1 = 0, \\ 5xy + y^2 = 16. \end{cases}$
Решение 1. №434 (с. 119)






Решение 2. №434 (с. 119)



Решение 3. №434 (с. 119)

Решение 4. №434 (с. 119)

Решение 5. №434 (с. 119)

Решение 7. №434 (с. 119)


Решение 8. №434 (с. 119)
а)
Дана система уравнений:
$ \begin{cases} 2xy - y = 7, \\ x - 5y = 2. \end{cases} $
Из второго уравнения выразим $x$:
$x = 2 + 5y$.
Подставим это выражение в первое уравнение:
$2(2 + 5y)y - y = 7$.
Раскроем скобки и приведем подобные слагаемые:
$4y + 10y^2 - y = 7$
$10y^2 + 3y - 7 = 0$.
Решим полученное квадратное уравнение относительно $y$. Вычислим дискриминант:
$D = b^2 - 4ac = 3^2 - 4 \cdot 10 \cdot (-7) = 9 + 280 = 289 = 17^2$.
Найдем корни уравнения:
$y_1 = \frac{-3 + \sqrt{289}}{2 \cdot 10} = \frac{-3 + 17}{20} = \frac{14}{20} = 0,7$.
$y_2 = \frac{-3 - \sqrt{289}}{2 \cdot 10} = \frac{-3 - 17}{20} = \frac{-20}{20} = -1$.
Теперь найдем соответствующие значения $x$ для каждого $y$, используя формулу $x = 2 + 5y$:
1. Если $y_1 = 0,7$, то $x_1 = 2 + 5 \cdot 0,7 = 2 + 3,5 = 5,5$.
2. Если $y_2 = -1$, то $x_2 = 2 + 5 \cdot (-1) = 2 - 5 = -3$.
Ответ: $(5,5; 0,7)$, $(-3; -1)$.
б)
Дана система уравнений:
$ \begin{cases} 2x^2 - xy = 33, \\ 4x - y = 17. \end{cases} $
Из второго уравнения выразим $y$:
$y = 4x - 17$.
Подставим это выражение в первое уравнение:
$2x^2 - x(4x - 17) = 33$.
Раскроем скобки и приведем подобные слагаемые:
$2x^2 - 4x^2 + 17x = 33$
$-2x^2 + 17x - 33 = 0$
$2x^2 - 17x + 33 = 0$.
Решим полученное квадратное уравнение. Вычислим дискриминант:
$D = b^2 - 4ac = (-17)^2 - 4 \cdot 2 \cdot 33 = 289 - 264 = 25 = 5^2$.
Найдем корни уравнения:
$x_1 = \frac{17 + \sqrt{25}}{2 \cdot 2} = \frac{17 + 5}{4} = \frac{22}{4} = 5,5$.
$x_2 = \frac{17 - \sqrt{25}}{2 \cdot 2} = \frac{17 - 5}{4} = \frac{12}{4} = 3$.
Теперь найдем соответствующие значения $y$ для каждого $x$, используя формулу $y = 4x - 17$:
1. Если $x_1 = 5,5$, то $y_1 = 4 \cdot 5,5 - 17 = 22 - 17 = 5$.
2. Если $x_2 = 3$, то $y_2 = 4 \cdot 3 - 17 = 12 - 17 = -5$.
Ответ: $(5,5; 5)$, $(3; -5)$.
в)
Дана система уравнений:
$ \begin{cases} x^2 + 2y = 18, \\ 3x = 2y. \end{cases} $
Из второго уравнения имеем $2y = 3x$. Подставим это выражение в первое уравнение:
$x^2 + 3x = 18$.
Перенесем все члены в левую часть, чтобы получить квадратное уравнение:
$x^2 + 3x - 18 = 0$.
Решим это уравнение. По теореме Виета, сумма корней равна $-3$, а произведение равно $-18$. Корнями являются числа $3$ и $-6$.
$x_1 = 3$, $x_2 = -6$.
Теперь найдем соответствующие значения $y$ для каждого $x$, используя формулу $y = \frac{3x}{2}$:
1. Если $x_1 = 3$, то $y_1 = \frac{3 \cdot 3}{2} = \frac{9}{2} = 4,5$.
2. Если $x_2 = -6$, то $y_2 = \frac{3 \cdot (-6)}{2} = \frac{-18}{2} = -9$.
Ответ: $(3; 4,5)$, $(-6; -9)$.
г)
Дана система уравнений:
$ \begin{cases} x - y - 4 = 0, \\ x^2 + y^2 = 8,5. \end{cases} $
Из первого уравнения выразим $x$:
$x = y + 4$.
Подставим это выражение во второе уравнение:
$(y + 4)^2 + y^2 = 8,5$.
Раскроем скобки и приведем подобные слагаемые:
$y^2 + 8y + 16 + y^2 = 8,5$
$2y^2 + 8y + 16 - 8,5 = 0$
$2y^2 + 8y + 7,5 = 0$.
Умножим уравнение на 2, чтобы избавиться от десятичной дроби:
$4y^2 + 16y + 15 = 0$.
Решим полученное квадратное уравнение. Вычислим дискриминант:
$D = b^2 - 4ac = 16^2 - 4 \cdot 4 \cdot 15 = 256 - 240 = 16 = 4^2$.
Найдем корни уравнения:
$y_1 = \frac{-16 + \sqrt{16}}{2 \cdot 4} = \frac{-16 + 4}{8} = \frac{-12}{8} = -1,5$.
$y_2 = \frac{-16 - \sqrt{16}}{2 \cdot 4} = \frac{-16 - 4}{8} = \frac{-20}{8} = -2,5$.
Теперь найдем соответствующие значения $x$ для каждого $y$, используя формулу $x = y + 4$:
1. Если $y_1 = -1,5$, то $x_1 = -1,5 + 4 = 2,5$.
2. Если $y_2 = -2,5$, то $x_2 = -2,5 + 4 = 1,5$.
Ответ: $(2,5; -1,5)$, $(1,5; -2,5)$.
д)
Дана система уравнений:
$ \begin{cases} x^2 + 4y = 10, \\ x - 2y = -5. \end{cases} $
Из второго уравнения выразим $x$:
$x = 2y - 5$.
Подставим это выражение в первое уравнение:
$(2y - 5)^2 + 4y = 10$.
Раскроем скобки и приведем подобные слагаемые:
$4y^2 - 20y + 25 + 4y = 10$
$4y^2 - 16y + 15 = 0$.
Решим полученное квадратное уравнение. Вычислим дискриминант:
$D = b^2 - 4ac = (-16)^2 - 4 \cdot 4 \cdot 15 = 256 - 240 = 16 = 4^2$.
Найдем корни уравнения:
$y_1 = \frac{16 + \sqrt{16}}{2 \cdot 4} = \frac{16 + 4}{8} = \frac{20}{8} = 2,5$.
$y_2 = \frac{16 - \sqrt{16}}{2 \cdot 4} = \frac{16 - 4}{8} = \frac{12}{8} = 1,5$.
Теперь найдем соответствующие значения $x$ для каждого $y$, используя формулу $x = 2y - 5$:
1. Если $y_1 = 2,5$, то $x_1 = 2 \cdot 2,5 - 5 = 5 - 5 = 0$.
2. Если $y_2 = 1,5$, то $x_2 = 2 \cdot 1,5 - 5 = 3 - 5 = -2$.
Ответ: $(0; 2,5)$, $(-2; 1,5)$.
е)
Дана система уравнений:
$ \begin{cases} x - 2y + 1 = 0, \\ 5xy + y^2 = 16. \end{cases} $
Из первого уравнения выразим $x$:
$x = 2y - 1$.
Подставим это выражение во второе уравнение:
$5(2y - 1)y + y^2 = 16$.
Раскроем скобки и приведем подобные слагаемые:
$10y^2 - 5y + y^2 = 16$
$11y^2 - 5y - 16 = 0$.
Решим полученное квадратное уравнение. Вычислим дискриминант:
$D = b^2 - 4ac = (-5)^2 - 4 \cdot 11 \cdot (-16) = 25 + 704 = 729 = 27^2$.
Найдем корни уравнения:
$y_1 = \frac{5 + \sqrt{729}}{2 \cdot 11} = \frac{5 + 27}{22} = \frac{32}{22} = \frac{16}{11}$.
$y_2 = \frac{5 - \sqrt{729}}{2 \cdot 11} = \frac{5 - 27}{22} = \frac{-22}{22} = -1$.
Теперь найдем соответствующие значения $x$ для каждого $y$, используя формулу $x = 2y - 1$:
1. Если $y_1 = \frac{16}{11}$, то $x_1 = 2 \cdot \frac{16}{11} - 1 = \frac{32}{11} - \frac{11}{11} = \frac{21}{11}$.
2. Если $y_2 = -1$, то $x_2 = 2 \cdot (-1) - 1 = -2 - 1 = -3$.
Ответ: $(\frac{21}{11}; \frac{16}{11})$, $(-3; -1)$.
Другие задания:
Помогло решение? Оставьте отзыв в комментариях ниже.
Мы подготовили для вас ответ c подробным объяснением домашего задания по алгебре за 9 класс, для упражнения номер 434 расположенного на странице 119 к учебнику 2014 - 2024 года издания для учащихся школ и гимназий.
Теперь на нашем сайте ГДЗ.ТОП вы всегда легко и бесплатно найдёте условие с правильным ответом на вопрос «Как решить ДЗ» и «Как сделать» задание по алгебре к упражнению №434 (с. 119), авторов: Макарычев (Юрий Николаевич), Миндюк (Нора Григорьевна), Нешков (Константин Иванович), Суворова (Светлана Борисовна), ФГОС (старый) учебного пособия издательства Просвещение.