Номер 443, страница 120 - гдз по алгебре 9 класс учебник Макарычев, Миндюк

Авторы: Макарычев Ю. Н., Миндюк Н. Г., Нешков К. И., Суворова С. Б.
Тип: Учебник
Издательство: Просвещение
Год издания: 2014 - 2024
Цвет обложки:
ISBN: 978-5-09-0779-15
Допущено Министерством просвещения Российской Федерации
Популярные ГДЗ в 9 классе
19. Решение систем уравнений второй степени. § 7. Уравнения с двумя переменными и их системы. Глава 3. Уравнения и неравенства с двумя переменными - номер 443, страница 120.
№443 (с. 120)
Условие. №443 (с. 120)
скриншот условия

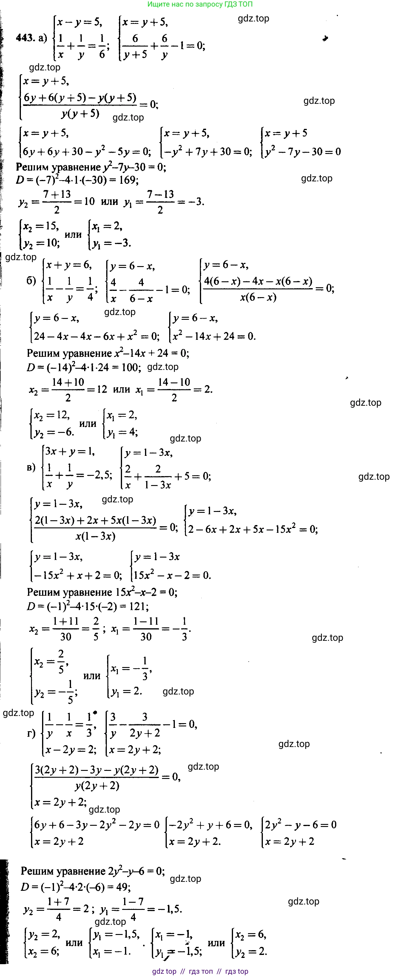
443. Решите систему уравнений:
a) $ \begin{cases} x - y = 5, \\ \frac{1}{x} + \frac{1}{y} = \frac{1}{6}; \end{cases} $
б) $ \begin{cases} x + y = 6, \\ \frac{1}{x} - \frac{1}{y} = \frac{1}{4}; \end{cases} $
в) $ \begin{cases} 3x + y = 1, \\ \frac{1}{x} + \frac{1}{y} = -2,5; \end{cases} $
г) $ \begin{cases} \frac{1}{y} - \frac{1}{x} = \frac{1}{3}, \\ x - 2y = 2. \end{cases} $
Решение 1. №443 (с. 120)




Решение 2. №443 (с. 120)


Решение 3. №443 (с. 120)

Решение 4. №443 (с. 120)

Решение 5. №443 (с. 120)

Решение 7. №443 (с. 120)


Решение 8. №443 (с. 120)
а)
Дана система уравнений:
$ \begin{cases} x - y = 5 \\ \frac{1}{x} + \frac{1}{y} = \frac{1}{6} \end{cases} $
Область допустимых значений: $x \neq 0, y \neq 0$.
Из первого уравнения выразим $x$ через $y$: $x = 5 + y$.
Подставим это выражение во второе уравнение:
$ \frac{1}{5+y} + \frac{1}{y} = \frac{1}{6} $
Приведем левую часть к общему знаменателю:
$ \frac{y + (5+y)}{y(5+y)} = \frac{1}{6} $
$ \frac{2y+5}{y^2+5y} = \frac{1}{6} $
Используя свойство пропорции (перекрестное умножение), получим:
$ 6(2y+5) = y^2+5y $
$ 12y + 30 = y^2 + 5y $
Приведем уравнение к стандартному квадратному виду:
$ y^2 - 7y - 30 = 0 $
Найдем корни квадратного уравнения. По теореме Виета, сумма корней равна 7, а произведение равно -30. Корнями являются $y_1 = 10$ и $y_2 = -3$.
Теперь найдем соответствующие значения $x$, используя формулу $x = 5 + y$:
1. Если $y_1 = 10$, то $x_1 = 5 + 10 = 15$.
2. Если $y_2 = -3$, то $x_2 = 5 + (-3) = 2$.
Таким образом, система имеет два решения.
Ответ: $(15, 10), (2, -3)$.
б)
Дана система уравнений:
$ \begin{cases} x + y = 6 \\ \frac{1}{x} - \frac{1}{y} = \frac{1}{4} \end{cases} $
Область допустимых значений: $x \neq 0, y \neq 0$.
Из первого уравнения выразим $y$ через $x$: $y = 6 - x$.
Подставим это выражение во второе уравнение:
$ \frac{1}{x} - \frac{1}{6-x} = \frac{1}{4} $
Приведем левую часть к общему знаменателю:
$ \frac{(6-x) - x}{x(6-x)} = \frac{1}{4} $
$ \frac{6-2x}{6x-x^2} = \frac{1}{4} $
Используя свойство пропорции, получим:
$ 4(6-2x) = 6x-x^2 $
$ 24 - 8x = 6x - x^2 $
Приведем уравнение к стандартному квадратному виду:
$ x^2 - 14x + 24 = 0 $
Найдем корни квадратного уравнения. По теореме Виета, сумма корней равна 14, а произведение равно 24. Корнями являются $x_1 = 2$ и $x_2 = 12$.
Теперь найдем соответствующие значения $y$, используя формулу $y = 6 - x$:
1. Если $x_1 = 2$, то $y_1 = 6 - 2 = 4$.
2. Если $x_2 = 12$, то $y_2 = 6 - 12 = -6$.
Таким образом, система имеет два решения.
Ответ: $(2, 4), (12, -6)$.
в)
Дана система уравнений:
$ \begin{cases} 3x + y = 1 \\ \frac{1}{x} + \frac{1}{y} = -2.5 \end{cases} $
Область допустимых значений: $x \neq 0, y \neq 0$. Представим $-2.5$ в виде дроби $-\frac{5}{2}$.
Из первого уравнения выразим $y$ через $x$: $y = 1 - 3x$.
Подставим это выражение во второе уравнение:
$ \frac{1}{x} + \frac{1}{1-3x} = -\frac{5}{2} $
Приведем левую часть к общему знаменателю:
$ \frac{1-3x + x}{x(1-3x)} = -\frac{5}{2} $
$ \frac{1-2x}{x-3x^2} = -\frac{5}{2} $
Используя свойство пропорции, получим:
$ 2(1-2x) = -5(x-3x^2) $
$ 2 - 4x = -5x + 15x^2 $
Приведем уравнение к стандартному квадратному виду:
$ 15x^2 - x - 2 = 0 $
Решим квадратное уравнение с помощью дискриминанта: $D = b^2 - 4ac = (-1)^2 - 4 \cdot 15 \cdot (-2) = 1 + 120 = 121 = 11^2$.
$ x_{1,2} = \frac{-b \pm \sqrt{D}}{2a} = \frac{1 \pm 11}{2 \cdot 15} = \frac{1 \pm 11}{30} $
Корни уравнения: $x_1 = \frac{1+11}{30} = \frac{12}{30} = \frac{2}{5}$ и $x_2 = \frac{1-11}{30} = \frac{-10}{30} = -\frac{1}{3}$.
Теперь найдем соответствующие значения $y$, используя формулу $y = 1 - 3x$:
1. Если $x_1 = \frac{2}{5}$, то $y_1 = 1 - 3 \cdot \frac{2}{5} = 1 - \frac{6}{5} = -\frac{1}{5}$.
2. Если $x_2 = -\frac{1}{3}$, то $y_2 = 1 - 3 \cdot (-\frac{1}{3}) = 1 + 1 = 2$.
Таким образом, система имеет два решения.
Ответ: $(\frac{2}{5}, -\frac{1}{5}), (-\frac{1}{3}, 2)$.
г)
Дана система уравнений:
$ \begin{cases} \frac{1}{y} - \frac{1}{x} = \frac{1}{3} \\ x - 2y = 2 \end{cases} $
Область допустимых значений: $x \neq 0, y \neq 0$.
Из второго уравнения выразим $x$ через $y$: $x = 2 + 2y$.
Подставим это выражение в первое уравнение:
$ \frac{1}{y} - \frac{1}{2+2y} = \frac{1}{3} $
Приведем левую часть к общему знаменателю:
$ \frac{(2+2y) - y}{y(2+2y)} = \frac{1}{3} $
$ \frac{y+2}{2y^2+2y} = \frac{1}{3} $
Используя свойство пропорции, получим:
$ 3(y+2) = 2y^2+2y $
$ 3y + 6 = 2y^2 + 2y $
Приведем уравнение к стандартному квадратному виду:
$ 2y^2 - y - 6 = 0 $
Решим квадратное уравнение с помощью дискриминанта: $D = b^2 - 4ac = (-1)^2 - 4 \cdot 2 \cdot (-6) = 1 + 48 = 49 = 7^2$.
$ y_{1,2} = \frac{-b \pm \sqrt{D}}{2a} = \frac{1 \pm 7}{2 \cdot 2} = \frac{1 \pm 7}{4} $
Корни уравнения: $y_1 = \frac{1+7}{4} = 2$ и $y_2 = \frac{1-7}{4} = -\frac{6}{4} = -\frac{3}{2}$.
Теперь найдем соответствующие значения $x$, используя формулу $x = 2 + 2y$:
1. Если $y_1 = 2$, то $x_1 = 2 + 2 \cdot 2 = 6$.
2. Если $y_2 = -\frac{3}{2}$, то $x_2 = 2 + 2 \cdot (-\frac{3}{2}) = 2 - 3 = -1$.
Таким образом, система имеет два решения.
Ответ: $(6, 2), (-1, -\frac{3}{2})$.
Другие задания:
Помогло решение? Оставьте отзыв в комментариях ниже.
Мы подготовили для вас ответ c подробным объяснением домашего задания по алгебре за 9 класс, для упражнения номер 443 расположенного на странице 120 к учебнику 2014 - 2024 года издания для учащихся школ и гимназий.
Теперь на нашем сайте ГДЗ.ТОП вы всегда легко и бесплатно найдёте условие с правильным ответом на вопрос «Как решить ДЗ» и «Как сделать» задание по алгебре к упражнению №443 (с. 120), авторов: Макарычев (Юрий Николаевич), Миндюк (Нора Григорьевна), Нешков (Константин Иванович), Суворова (Светлана Борисовна), ФГОС (старый) учебного пособия издательства Просвещение.