Номер 448, страница 121 - гдз по алгебре 9 класс учебник Макарычев, Миндюк

Авторы: Макарычев Ю. Н., Миндюк Н. Г., Нешков К. И., Суворова С. Б.
Тип: Учебник
Издательство: Просвещение
Год издания: 2014 - 2024
Цвет обложки:
ISBN: 978-5-09-0779-15
Допущено Министерством просвещения Российской Федерации
Популярные ГДЗ в 9 классе
19. Решение систем уравнений второй степени. § 7. Уравнения с двумя переменными и их системы. Глава 3. Уравнения и неравенства с двумя переменными - номер 448, страница 121.
№448 (с. 121)
Условие. №448 (с. 121)
скриншот условия

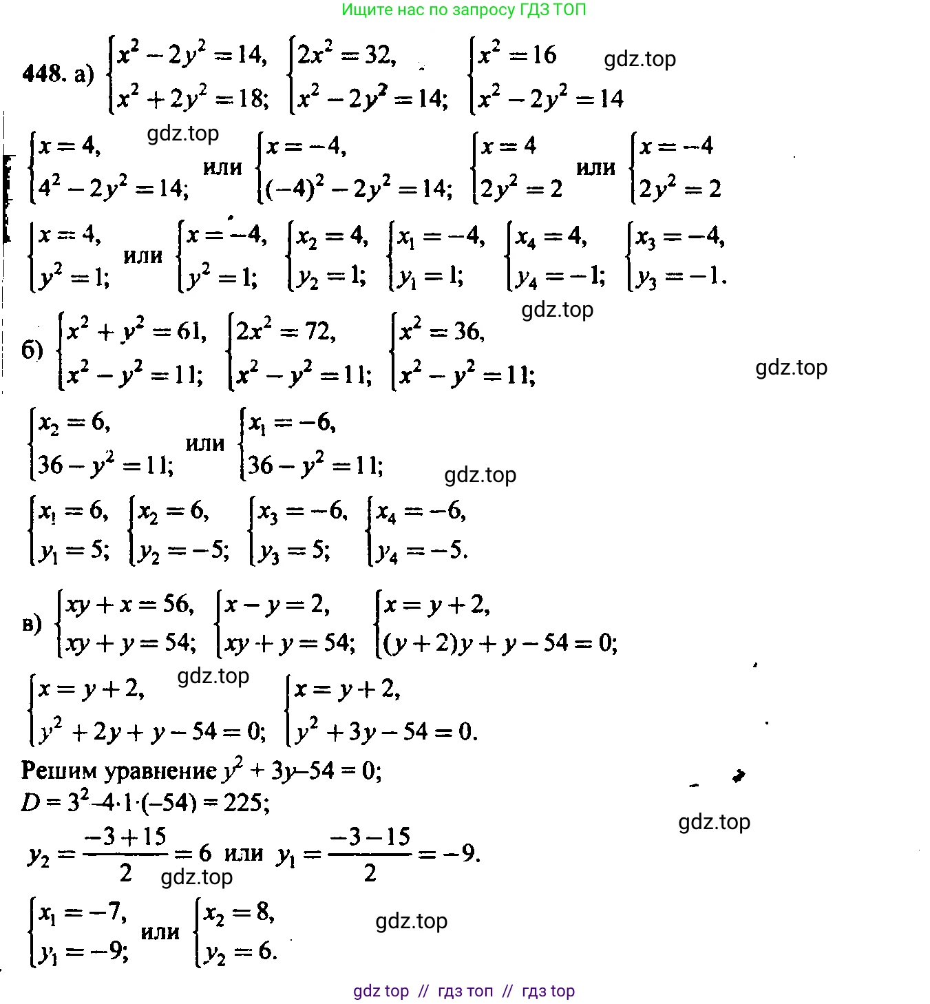
448. Решите систему уравнений, используя способ сложения:
а) $\begin{cases} x^2 - 2y^2 = 14, \\ x^2 + 2y^2 = 18; \end{cases}$
б) $\begin{cases} x^2 + y^2 = 61, \\ x^2 - y^2 = 11; \end{cases}$
в) $\begin{cases} xy + x = 56, \\ xy + y = 54. \end{cases}$
Решение 1. №448 (с. 121)



Решение 2. №448 (с. 121)

Решение 3. №448 (с. 121)

Решение 4. №448 (с. 121)

Решение 5. №448 (с. 121)

Решение 7. №448 (с. 121)


Решение 8. №448 (с. 121)
а) Дана система уравнений:
$ \begin{cases} x^2 - 2y^2 = 14 \\ x^2 + 2y^2 = 18 \end{cases} $
Сложим два уравнения системы, чтобы исключить переменную $y$. Коэффициенты при $y^2$ являются противоположными числами ($-2$ и $2$), поэтому при сложении они взаимно уничтожатся.
$(x^2 - 2y^2) + (x^2 + 2y^2) = 14 + 18$
$2x^2 = 32$
$x^2 = 16$
Отсюда находим возможные значения для $x$: $x = \pm 4$.
Теперь подставим найденное значение $x^2 = 16$ во второе уравнение системы: $x^2 + 2y^2 = 18$.
$16 + 2y^2 = 18$
$2y^2 = 18 - 16$
$2y^2 = 2$
$y^2 = 1$
Отсюда находим возможные значения для $y$: $y = \pm 1$.
Таким образом, мы имеем четыре пары решений, комбинируя значения $x$ и $y$. Для каждого из двух значений $x$ ($4$ и $-4$) существуют два значения $y$ ($1$ и $-1$).
Решения системы: $(4, 1)$, $(4, -1)$, $(-4, 1)$ и $(-4, -1)$.
Ответ: $(4, 1), (4, -1), (-4, 1), (-4, -1)$.
б) Дана система уравнений:
$ \begin{cases} x^2 + y^2 = 61 \\ x^2 - y^2 = 11 \end{cases} $
Сложим два уравнения системы, чтобы исключить переменную $y$.
$(x^2 + y^2) + (x^2 - y^2) = 61 + 11$
$2x^2 = 72$
$x^2 = 36$
Отсюда $x = \pm 6$.
Теперь подставим значение $x^2 = 36$ в первое уравнение системы: $x^2 + y^2 = 61$.
$36 + y^2 = 61$
$y^2 = 61 - 36$
$y^2 = 25$
Отсюда $y = \pm 5$.
Комбинируя полученные значения, находим четыре пары решений:
$(6, 5)$, $(6, -5)$, $(-6, 5)$ и $(-6, -5)$.
Ответ: $(6, 5), (6, -5), (-6, 5), (-6, -5)$.
в) Дана система уравнений:
$ \begin{cases} xy + x = 56 \\ xy + y = 54 \end{cases} $
Вычтем второе уравнение из первого. Этот прием является частью метода сложения (сложение с уравнением, умноженным на $-1$).
$(xy + x) - (xy + y) = 56 - 54$
$x - y = 2$
Выразим $x$ через $y$: $x = y + 2$.
Подставим это выражение для $x$ во второе уравнение исходной системы $xy + y = 54$.
$(y + 2)y + y = 54$
$y^2 + 2y + y = 54$
$y^2 + 3y - 54 = 0$
Мы получили квадратное уравнение относительно $y$. Решим его по теореме Виета. Ищем два числа, произведение которых равно $-54$, а сумма равна $-3$. Эти числа — $6$ и $-9$.
Таким образом, корни уравнения: $y_1 = 6$ и $y_2 = -9$.
Теперь найдем соответствующие значения $x$, используя формулу $x = y + 2$.
1. Если $y_1 = 6$, то $x_1 = 6 + 2 = 8$. Получаем решение $(8, 6)$.
2. Если $y_2 = -9$, то $x_2 = -9 + 2 = -7$. Получаем решение $(-7, -9)$.
Ответ: $(8, 6), (-7, -9)$.
Другие задания:
Помогло решение? Оставьте отзыв в комментариях ниже.
Мы подготовили для вас ответ c подробным объяснением домашего задания по алгебре за 9 класс, для упражнения номер 448 расположенного на странице 121 к учебнику 2014 - 2024 года издания для учащихся школ и гимназий.
Теперь на нашем сайте ГДЗ.ТОП вы всегда легко и бесплатно найдёте условие с правильным ответом на вопрос «Как решить ДЗ» и «Как сделать» задание по алгебре к упражнению №448 (с. 121), авторов: Макарычев (Юрий Николаевич), Миндюк (Нора Григорьевна), Нешков (Константин Иванович), Суворова (Светлана Борисовна), ФГОС (старый) учебного пособия издательства Просвещение.