Номер 529, страница 140 - гдз по алгебре 9 класс учебник Макарычев, Миндюк

Авторы: Макарычев Ю. Н., Миндюк Н. Г., Нешков К. И., Суворова С. Б.
Тип: Учебник
Издательство: Просвещение
Год издания: 2014 - 2024
Цвет обложки:
ISBN: 978-5-09-0779-15
Допущено Министерством просвещения Российской Федерации
Популярные ГДЗ в 9 классе
К параграфу 7. Дополнительные упражнения к главе 3. Глава 3. Уравнения и неравенства с двумя переменными - номер 529, страница 140.
№529 (с. 140)
Условие. №529 (с. 140)
скриншот условия

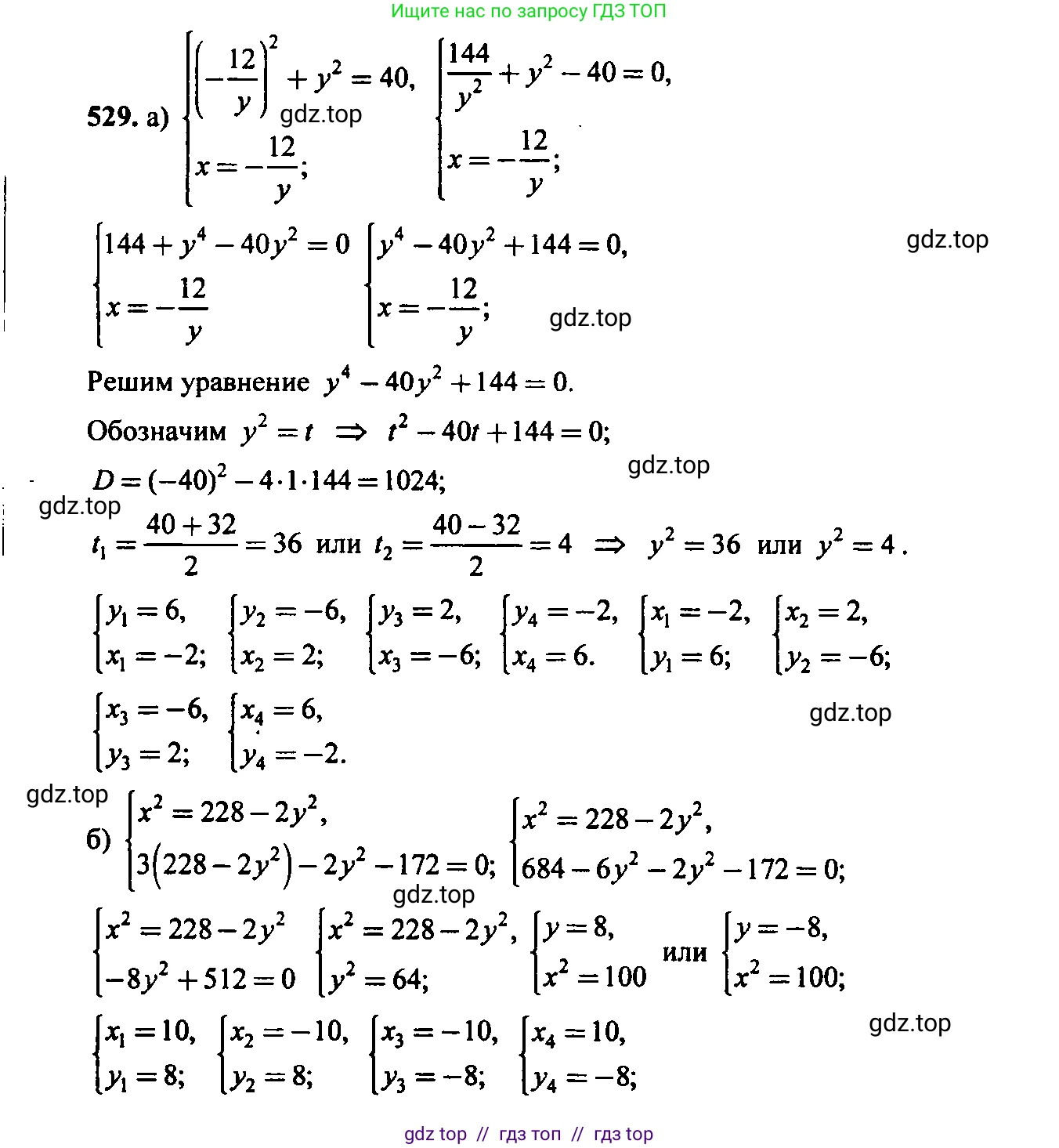
529. Решите систему уравнений:
a) $$ \begin{cases} x^2 + y^2 = 40, \\ xy = -12; \end{cases} $$
б) $$ \begin{cases} x^2 + 2y^2 = 228, \\ 3x^2 - 2y^2 = 172. \end{cases} $$
Решение 1. №529 (с. 140)


Решение 2. №529 (с. 140)

Решение 3. №529 (с. 140)

Решение 4. №529 (с. 140)

Решение 5. №529 (с. 140)

Решение 7. №529 (с. 140)


Решение 8. №529 (с. 140)
а) Дана система уравнений: $ \begin{cases} x^2 + y^2 = 40, \\ xy = -12. \end{cases} $
Это симметричная система уравнений. Чтобы ее решить, можно использовать формулу квадрата суммы: $(x+y)^2 = x^2 + 2xy + y^2$. Подставим в нее известные значения из уравнений системы:
$(x+y)^2 = (x^2 + y^2) + 2(xy) = 40 + 2(-12) = 40 - 24 = 16$.
Из этого следует, что $x+y$ может принимать два значения: $x+y = \sqrt{16} = 4$ или $x+y = -\sqrt{16} = -4$.
Это позволяет нам разбить исходную систему на две более простые системы, которые мы решим по отдельности.
1) Первая система: $ \begin{cases} x+y = 4, \\ xy = -12. \end{cases} $
По теореме, обратной теореме Виета, переменные $x$ и $y$ являются корнями квадратного уравнения $t^2 - 4t - 12 = 0$.
Найдем корни этого уравнения: $D = (-4)^2 - 4 \cdot 1 \cdot (-12) = 16 + 48 = 64$.
$t_1 = \frac{4 + \sqrt{64}}{2} = \frac{4+8}{2} = 6$.
$t_2 = \frac{4 - \sqrt{64}}{2} = \frac{4-8}{2} = -2$.
Таким образом, если $x=6$, то $y=-2$, и если $x=-2$, то $y=6$. Мы получили две пары решений: $(6, -2)$ и $(-2, 6)$.
2) Вторая система: $ \begin{cases} x+y = -4, \\ xy = -12. \end{cases} $
Аналогично, $x$ и $y$ являются корнями квадратного уравнения $t^2 - (-4)t - 12 = 0$, то есть $t^2 + 4t - 12 = 0$.
Найдем корни: $D = 4^2 - 4 \cdot 1 \cdot (-12) = 16 + 48 = 64$.
$t_1 = \frac{-4 + \sqrt{64}}{2} = \frac{-4+8}{2} = 2$.
$t_2 = \frac{-4 - \sqrt{64}}{2} = \frac{-4-8}{2} = -6$.
Таким образом, если $x=2$, то $y=-6$, и если $x=-6$, то $y=2$. Мы получили еще две пары решений: $(2, -6)$ и $(-6, 2)$.
Объединив решения из обоих случаев, мы получаем полный набор решений для исходной системы.
Ответ: $(6, -2)$, $(-2, 6)$, $(2, -6)$, $(-6, 2)$.
б) Дана система уравнений: $ \begin{cases} x^2 + 2y^2 = 228, \\ 3x^2 - 2y^2 = 172. \end{cases} $
Эта система является линейной относительно переменных $x^2$ и $y^2$. Для ее решения удобно использовать метод алгебраического сложения. Сложим левые и правые части первого и второго уравнений:
$(x^2 + 2y^2) + (3x^2 - 2y^2) = 228 + 172$
При сложении члены $2y^2$ и $-2y^2$ взаимно уничтожаются:
$4x^2 = 400$
Разделим обе части уравнения на 4:
$x^2 = 100$
Из этого уравнения находим значения для $x$: $x_1 = 10$ и $x_2 = -10$.
Теперь подставим значение $x^2 = 100$ в первое уравнение исходной системы, чтобы найти $y^2$:
$100 + 2y^2 = 228$
$2y^2 = 228 - 100$
$2y^2 = 128$
Разделим обе части на 2:
$y^2 = 64$
Из этого уравнения находим значения для $y$: $y_1 = 8$ и $y_2 = -8$.
Поскольку мы нашли значения для $x^2$ и $y^2$, решениями системы будут все возможные комбинации полученных значений $x$ и $y$.
Ответ: $(10, 8)$, $(10, -8)$, $(-10, 8)$, $(-10, -8)$.
Другие задания:
Помогло решение? Оставьте отзыв в комментариях ниже.
Мы подготовили для вас ответ c подробным объяснением домашего задания по алгебре за 9 класс, для упражнения номер 529 расположенного на странице 140 к учебнику 2014 - 2024 года издания для учащихся школ и гимназий.
Теперь на нашем сайте ГДЗ.ТОП вы всегда легко и бесплатно найдёте условие с правильным ответом на вопрос «Как решить ДЗ» и «Как сделать» задание по алгебре к упражнению №529 (с. 140), авторов: Макарычев (Юрий Николаевич), Миндюк (Нора Григорьевна), Нешков (Константин Иванович), Суворова (Светлана Борисовна), ФГОС (старый) учебного пособия издательства Просвещение.