Номер 536, страница 141 - гдз по алгебре 9 класс учебник Макарычев, Миндюк

Авторы: Макарычев Ю. Н., Миндюк Н. Г., Нешков К. И., Суворова С. Б.
Тип: Учебник
Издательство: Просвещение
Год издания: 2014 - 2024
Цвет обложки:
ISBN: 978-5-09-0779-15
Допущено Министерством просвещения Российской Федерации
Популярные ГДЗ в 9 классе
К параграфу 7. Дополнительные упражнения к главе 3. Глава 3. Уравнения и неравенства с двумя переменными - номер 536, страница 141.
№536 (с. 141)
Условие. №536 (с. 141)
скриншот условия

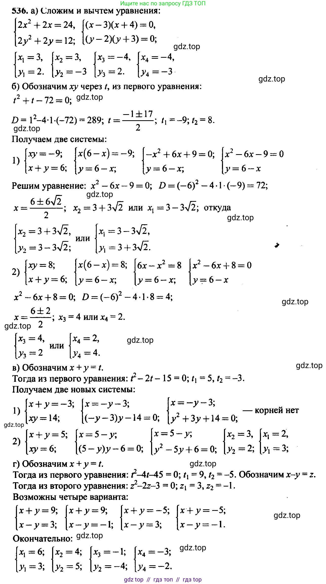
536. Решите систему уравнений:
a) $\begin{cases}x^2 + y^2 + x + y = 18, \\x^2 - y^2 + x - y = 6;\end{cases}$
б) $\begin{cases}x^2 y^2 + xy = 72, \\x + y = 6;\end{cases}$
в) $\begin{cases}(x + y)^2 - 2(x + y) = 15, \\x + xy + y = 11;\end{cases}$
г) $\begin{cases}(x + y)^2 - 4(x + y) = 45, \\(x - y)^2 - 2(x - y) = 3.\end{cases}$
Решение 1. №536 (с. 141)




Решение 2. №536 (с. 141)




Решение 3. №536 (с. 141)

Решение 4. №536 (с. 141)

Решение 5. №536 (с. 141)

Решение 7. №536 (с. 141)


Решение 8. №536 (с. 141)
а) Дана система уравнений: $$ \begin{cases} x^2 + y^2 + x + y = 18 \\ x^2 - y^2 + x - y = 6 \end{cases} $$ Сложим два уравнения системы: $ (x^2 + y^2 + x + y) + (x^2 - y^2 + x - y) = 18 + 6 $
$ 2x^2 + 2x = 24 $
$ x^2 + x - 12 = 0 $
Решим это квадратное уравнение относительно $x$. По теореме Виета, корнями являются $x_1 = 3$ и $x_2 = -4$.
Теперь вычтем второе уравнение из первого: $ (x^2 + y^2 + x + y) - (x^2 - y^2 + x - y) = 18 - 6 $
$ 2y^2 + 2y = 12 $
$ y^2 + y - 6 = 0 $
Решим это квадратное уравнение относительно $y$. Корнями являются $y_1 = 2$ и $y_2 = -3$.
Исходная система равносильна системе: $$ \begin{cases} x^2+x=12 \\ y^2+y=6 \end{cases} $$ Это означает, что любое решение $x$ первого уравнения может сочетаться с любым решением $y$ второго уравнения. Проверим, подставив выражения в исходную систему: Первое уравнение: $(x^2+x)+(y^2+y) = 12+6 = 18$. Верно. Второе уравнение: $(x^2+x)-(y^2+y) = 12-6 = 6$. Верно. Следовательно, решениями являются все возможные пары, составленные из найденных корней: $(3, 2), (3, -3), (-4, 2), (-4, -3)$.
Ответ: $(3, 2), (3, -3), (-4, 2), (-4, -3)$.
б) Дана система уравнений: $$ \begin{cases} x^2y^2 + xy = 72 \\ x + y = 6 \end{cases} $$ Введем замену в первом уравнении: пусть $t = xy$. Тогда уравнение примет вид: $ t^2 + t = 72 $
$ t^2 + t - 72 = 0 $
Решим это квадратное уравнение. По теореме Виета, корни $t_1 = 8$ и $t_2 = -9$. Таким образом, мы имеем два случая:
1) $xy = 8$
2) $xy = -9$
Рассмотрим каждый случай в сочетании со вторым уравнением системы $x+y=6$.
Случай 1: $$ \begin{cases} xy = 8 \\ x+y = 6 \end{cases} $$ По теореме, обратной теореме Виета, $x$ и $y$ являются корнями квадратного уравнения $z^2 - 6z + 8 = 0$. Корни этого уравнения: $z_1 = 2, z_2 = 4$. Следовательно, решениями этой системы являются пары $(2, 4)$ и $(4, 2)$.
Случай 2: $$ \begin{cases} xy = -9 \\ x+y = 6 \end{cases} $$ Аналогично, $x$ и $y$ являются корнями квадратного уравнения $z^2 - 6z - 9 = 0$. Найдем корни через дискриминант: $D = (-6)^2 - 4(1)(-9) = 36 + 36 = 72$. $z = \frac{6 \pm \sqrt{72}}{2} = \frac{6 \pm 6\sqrt{2}}{2} = 3 \pm 3\sqrt{2}$. Следовательно, решениями этой системы являются пары $(3 + 3\sqrt{2}, 3 - 3\sqrt{2})$ и $(3 - 3\sqrt{2}, 3 + 3\sqrt{2})$.
Объединяя решения из обоих случаев, получаем четыре пары решений.
Ответ: $(2, 4), (4, 2), (3 + 3\sqrt{2}, 3 - 3\sqrt{2}), (3 - 3\sqrt{2}, 3 + 3\sqrt{2})$.
в) Дана система уравнений: $$ \begin{cases} (x+y)^2 - 2(x+y) = 15 \\ x + xy + y = 11 \end{cases} $$ Используем метод замены переменных. Пусть $u = x+y$ и $v = xy$. Перепишем систему в новых переменных. Первое уравнение: $u^2 - 2u - 15 = 0$. Второе уравнение можно записать как $(x+y) + xy = 11$, то есть $u+v=11$. Сначала решим уравнение для $u$: $u^2 - 2u - 15 = 0$ По теореме Виета, корни $u_1 = 5$ и $u_2 = -3$. Рассмотрим два случая.
Случай 1: $u = 5$. Тогда $x+y=5$. Подставим $u=5$ в уравнение $u+v=11$: $5 + v = 11 \implies v = 6$. Тогда $xy = 6$. Получаем систему: $$ \begin{cases} x+y=5 \\ xy=6 \end{cases} $$ По теореме, обратной теореме Виета, $x$ и $y$ являются корнями уравнения $z^2 - 5z + 6 = 0$. Корни этого уравнения $z_1=2, z_2=3$. Значит, решениями являются пары $(2, 3)$ и $(3, 2)$.
Случай 2: $u = -3$. Тогда $x+y=-3$. Подставим $u=-3$ в уравнение $u+v=11$: $-3 + v = 11 \implies v = 14$. Тогда $xy = 14$. Получаем систему: $$ \begin{cases} x+y=-3 \\ xy=14 \end{cases} $$ $x$ и $y$ являются корнями уравнения $z^2 - (-3)z + 14 = 0$, то есть $z^2 + 3z + 14 = 0$. Дискриминант этого уравнения $D = 3^2 - 4(1)(14) = 9 - 56 = -47$. Так как $D < 0$, действительных корней нет. В этом случае система решений не имеет.
Ответ: $(2, 3), (3, 2)$.
г) Дана система уравнений: $$ \begin{cases} (x+y)^2 - 4(x+y) = 45 \\ (x-y)^2 - 2(x-y) = 3 \end{cases} $$ Эта система решается с помощью введения двух новых переменных. Пусть $u = x+y$ и $v = x-y$. Система примет вид: $$ \begin{cases} u^2 - 4u - 45 = 0 \\ v^2 - 2v - 3 = 0 \end{cases} $$ Решим каждое уравнение отдельно.
Первое уравнение: $u^2 - 4u - 45 = 0$. По теореме Виета, корни $u_1 = 9$ и $u_2 = -5$.
Второе уравнение: $v^2 - 2v - 3 = 0$. По теореме Виета, корни $v_1 = 3$ и $v_2 = -1$.
Теперь мы имеем четыре возможные системы линейных уравнений, комбинируя найденные значения $u$ и $v$.
Случай 1: $x+y=9$ и $x-y=3$. Сложив уравнения, получим $2x=12 \implies x=6$. Подставив $x=6$ в первое уравнение, получим $6+y=9 \implies y=3$. Решение: $(6, 3)$.
Случай 2: $x+y=9$ и $x-y=-1$. Сложив уравнения, получим $2x=8 \implies x=4$. Подставив $x=4$ в первое уравнение, получим $4+y=9 \implies y=5$. Решение: $(4, 5)$.
Случай 3: $x+y=-5$ и $x-y=3$. Сложив уравнения, получим $2x=-2 \implies x=-1$. Подставив $x=-1$ в первое уравнение, получим $-1+y=-5 \implies y=-4$. Решение: $(-1, -4)$.
Случай 4: $x+y=-5$ и $x-y=-1$. Сложив уравнения, получим $2x=-6 \implies x=-3$. Подставив $x=-3$ в первое уравнение, получим $-3+y=-5 \implies y=-2$. Решение: $(-3, -2)$.
Ответ: $(6, 3), (4, 5), (-1, -4), (-3, -2)$.
Другие задания:
Помогло решение? Оставьте отзыв в комментариях ниже.
Мы подготовили для вас ответ c подробным объяснением домашего задания по алгебре за 9 класс, для упражнения номер 536 расположенного на странице 141 к учебнику 2014 - 2024 года издания для учащихся школ и гимназий.
Теперь на нашем сайте ГДЗ.ТОП вы всегда легко и бесплатно найдёте условие с правильным ответом на вопрос «Как решить ДЗ» и «Как сделать» задание по алгебре к упражнению №536 (с. 141), авторов: Макарычев (Юрий Николаевич), Миндюк (Нора Григорьевна), Нешков (Константин Иванович), Суворова (Светлана Борисовна), ФГОС (старый) учебного пособия издательства Просвещение.