Номер 157, страница 80 - гдз по алгебре 10-11 класс учебник Колмогоров, Абрамов
 
                                                Авторы: Колмогоров А. Н., Абрамов А. М., Дудницын Ю. П.
Тип: Учебник
Издательство: Просвещение
Год издания: 2008 - 2025
Цвет обложки: зелёный, чёрный
ISBN: 978-5-09-019513-3
Рекомендовано Министерством образования и науки Российской Федерации
Алгебра и начала математического анализа
Популярные ГДЗ в 10 классе
Глава 1. Тригонометрические функции. Параграф 3. Решение тригонометрических уравнений и неравенств - номер 157, страница 80.
№157 (с. 80)
Условие. №157 (с. 80)
скриншот условия
 
                                                                                                                                        157.-
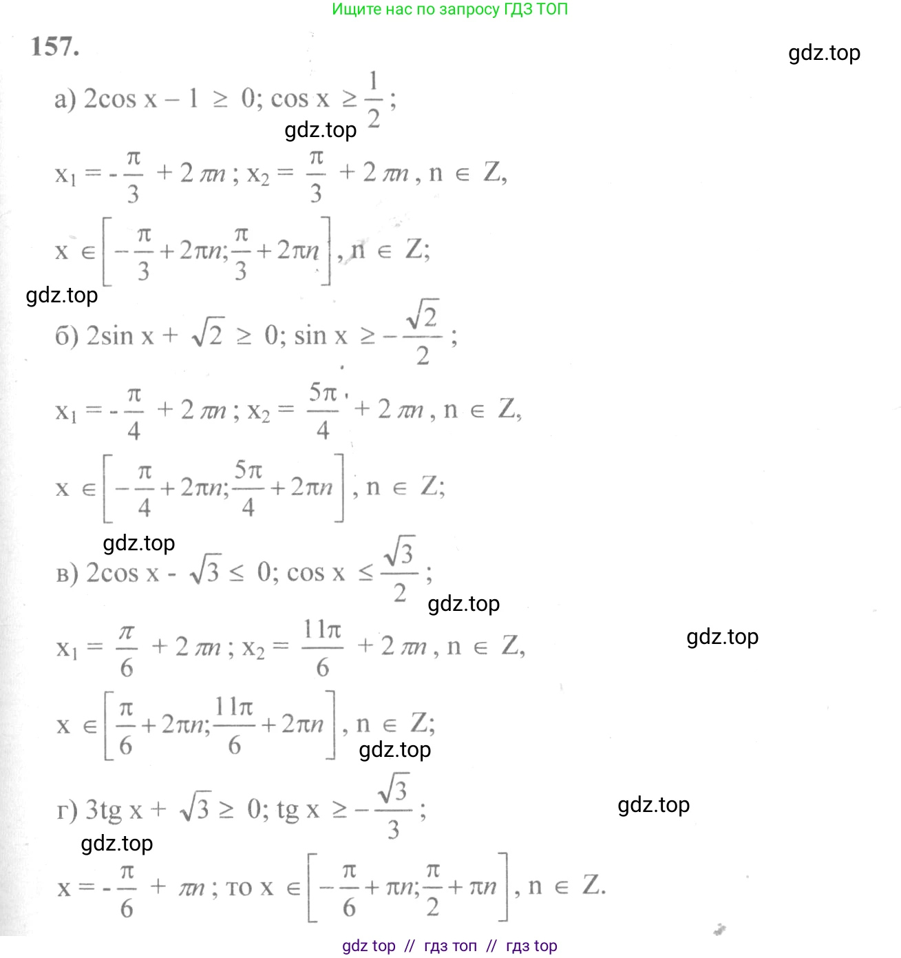
a) $2 \cos x - 1 \ge 0;$
б) $2 \sin x + \sqrt{2} \ge 0;$
в) $2 \cos x - \sqrt{3} \le 0;$
г) $3 \operatorname{tg} x + \sqrt{3} \ge 0.$
Решение 1. №157 (с. 80)
 
                                                                            
                                                                                                         
                                                                            
                                                                                                         
                                                                            
                                                                                                         
                                                                                                                        Решение 3. №157 (с. 80)
 
                                                                                                                        Решение 4. №157 (с. 80)
 
                                                                                                                        Решение 5. №157 (с. 80)
а) Решим неравенство $2 \cos x - 1 \ge 0$.
Перенесем $-1$ в правую часть и разделим обе части на 2:
$2 \cos x \ge 1$
$\cos x \ge \frac{1}{2}$
Для решения этого неравенства воспользуемся единичной тригонометрической окружностью. На оси абсцисс (оси косинусов) отметим точку $\frac{1}{2}$ и проведем вертикальную прямую $x = \frac{1}{2}$. Эта прямая пересечет окружность в двух точках, соответствующих углам $-\frac{\pi}{3}$ и $\frac{\pi}{3}$.
Нас интересуют значения $x$, для которых косинус (абсцисса точки на окружности) больше или равен $\frac{1}{2}$. Это соответствует дуге окружности, расположенной правее прямой $x = \frac{1}{2}$.
Таким образом, на промежутке $[-\pi, \pi]$ решением является отрезок $[-\frac{\pi}{3}, \frac{\pi}{3}]$.
Учитывая периодичность функции косинуса с периодом $2\pi$, общее решение неравенства записывается в виде:
$-\frac{\pi}{3} + 2\pi n \le x \le \frac{\pi}{3} + 2\pi n, n \in \mathbb{Z}$.
Ответ: $x \in [-\frac{\pi}{3} + 2\pi n; \frac{\pi}{3} + 2\pi n], n \in \mathbb{Z}$.
б) Решим неравенство $2 \sin x + \sqrt{2} \ge 0$.
Преобразуем неравенство:
$2 \sin x \ge -\sqrt{2}$
$\sin x \ge -\frac{\sqrt{2}}{2}$
Рассмотрим единичную окружность. На оси ординат (оси синусов) отметим точку $-\frac{\sqrt{2}}{2}$ и проведем горизонтальную прямую $y = -\frac{\sqrt{2}}{2}$. Эта прямая пересекает окружность в точках, соответствующих углам $-\frac{\pi}{4}$ и $\frac{5\pi}{4}$ (или $-\frac{3\pi}{4}$).
Нас интересуют значения $x$, для которых синус (ордината точки на окружности) больше или равен $-\frac{\sqrt{2}}{2}$. Это соответствует дуге окружности, расположенной выше прямой $y = -\frac{\sqrt{2}}{2}$.
Таким образом, решением на одном обороте является промежуток от $-\frac{\pi}{4}$ до $\frac{5\pi}{4}$.
Учитывая периодичность синуса с периодом $2\pi$, общее решение неравенства:
$-\frac{\pi}{4} + 2\pi n \le x \le \frac{5\pi}{4} + 2\pi n, n \in \mathbb{Z}$.
Ответ: $x \in [-\frac{\pi}{4} + 2\pi n; \frac{5\pi}{4} + 2\pi n], n \in \mathbb{Z}$.
в) Решим неравенство $2 \cos x - \sqrt{3} \le 0$.
Преобразуем неравенство:
$2 \cos x \le \sqrt{3}$
$\cos x \le \frac{\sqrt{3}}{2}$
На единичной окружности проведем вертикальную прямую $x = \frac{\sqrt{3}}{2}$. Точки пересечения с окружностью соответствуют углам $\frac{\pi}{6}$ и $-\frac{\pi}{6}$ (или $\frac{11\pi}{6}$).
Нас интересуют значения $x$, для которых косинус (абсцисса точки) меньше или равен $\frac{\sqrt{3}}{2}$. Это соответствует дуге окружности, расположенной левее прямой $x = \frac{\sqrt{3}}{2}$.
Таким образом, решением на одном обороте является промежуток от $\frac{\pi}{6}$ до $\frac{11\pi}{6}$.
Учитывая периодичность косинуса с периодом $2\pi$, общее решение неравенства:
$\frac{\pi}{6} + 2\pi n \le x \le \frac{11\pi}{6} + 2\pi n, n \in \mathbb{Z}$.
Ответ: $x \in [\frac{\pi}{6} + 2\pi n; \frac{11\pi}{6} + 2\pi n], n \in \mathbb{Z}$.
г) Решим неравенство $3 \tg x + \sqrt{3} \ge 0$.
Преобразуем неравенство:
$3 \tg x \ge -\sqrt{3}$
$\tg x \ge -\frac{\sqrt{3}}{3}$
Функция тангенс имеет период $\pi$ и не определена в точках $x = \frac{\pi}{2} + \pi n, n \in \mathbb{Z}$.
Сначала найдем корни уравнения $\tg x = -\frac{\sqrt{3}}{3}$. На промежутке $(-\frac{\pi}{2}, \frac{\pi}{2})$ таким корнем является $x = -\frac{\pi}{6}$.
Так как функция $y = \tg x$ является возрастающей на каждом интервале своей области определения, неравенство $\tg x \ge -\frac{\sqrt{3}}{3}$ выполняется для всех $x$ от $-\frac{\pi}{6}$ до вертикальной асимптоты $x = \frac{\pi}{2}$.
Таким образом, на одном периоде решение имеет вид $[-\frac{\pi}{6}, \frac{\pi}{2})$.
Учитывая периодичность тангенса с периодом $\pi$, общее решение неравенства:
$-\frac{\pi}{6} + \pi n \le x < \frac{\pi}{2} + \pi n, n \in \mathbb{Z}$.
Ответ: $x \in [-\frac{\pi}{6} + \pi n; \frac{\pi}{2} + \pi n), n \in \mathbb{Z}$.
Другие задания:
Помогло решение? Оставьте отзыв в комментариях ниже.
Присоединяйтесь к Телеграм-группе @top_gdz
ПрисоединитьсяМы подготовили для вас ответ c подробным объяснением домашего задания по алгебре за 10-11 класс, для упражнения номер 157 расположенного на странице 80 к учебнику 2008 года издания для учащихся школ и гимназий.
Теперь на нашем сайте ГДЗ.ТОП вы всегда легко и бесплатно найдёте условие с правильным ответом на вопрос «Как решить ДЗ» и «Как сделать» задание по алгебре к упражнению №157 (с. 80), авторов: Колмогоров (Андрей Николаевич), Абрамов (Александр Михайлович), Дудницын (Юрий Павлович), учебного пособия издательства Просвещение.
 
                     
                     
                     
                     
                     
                     
                     
                     
                     
                     
                     
                     
                     
                     
                     
                     
                     
                     
                    