Номер 298, страница 154 - гдз по алгебре 10-11 класс учебник Колмогоров, Абрамов
 
                                                Авторы: Колмогоров А. Н., Абрамов А. М., Дудницын Ю. П.
Тип: Учебник
Издательство: Просвещение
Год издания: 2008 - 2025
Цвет обложки: зелёный, чёрный
ISBN: 978-5-09-019513-3
Рекомендовано Министерством образования и науки Российской Федерации
Алгебра и начала математического анализа
Популярные ГДЗ в 10 классе
Глава 2. Производная и её применения. Параграф 6. Применения производной к исследованию функции - номер 298, страница 154.
№298 (с. 154)
Условие. №298 (с. 154)
скриншот условия
 
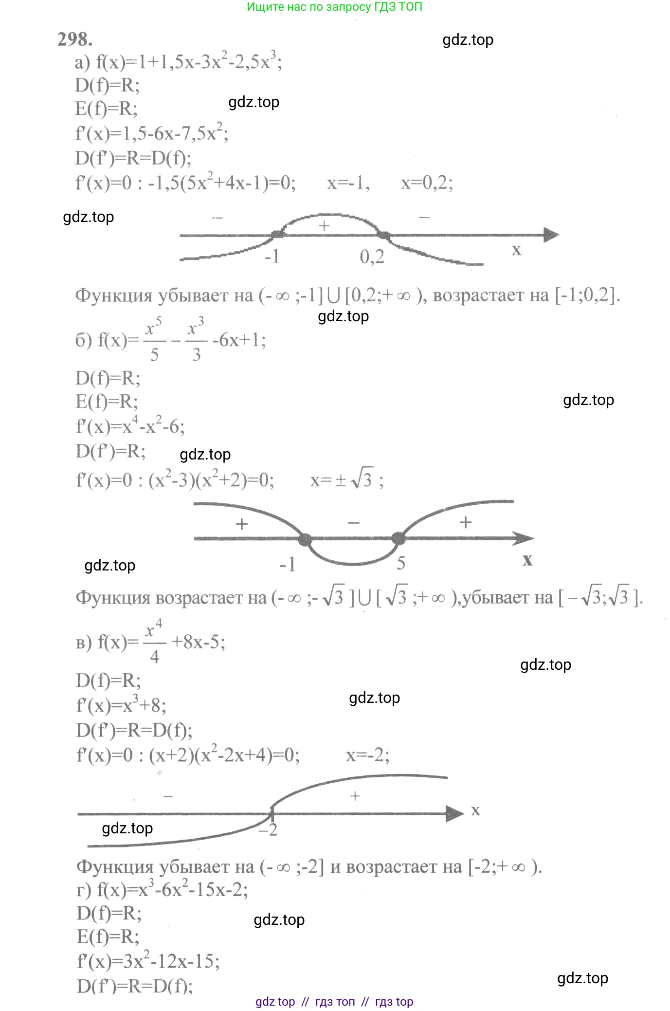
                                                                                                                                        298.- Найдите промежутки возрастания и убывания функции:
а) $f(x) = 1 + 1,5x - 3x^2 - 2,5x^3;$
б) $f(x) = \frac{x^5}{5} - \frac{x^3}{3} - 6x + 1;$
в) $f(x) = \frac{x^4}{4} + 8x - 5;$
г) $f(x) = x^3 - 6x^2 - 15x - 2.$
Решение 1. №298 (с. 154)
 
                                                                            
                                                                                                         
                                                                                                                        Решение 3. №298 (с. 154)
 
                                                                                                                        Решение 5. №298 (с. 154)
а) $f(x) = 1 + 1,5x - 3x^2 - 2,5x^3$
Для нахождения промежутков возрастания и убывания функции найдем ее производную. Функция возрастает на тех промежутках, где ее производная положительна ($f'(x) > 0$), и убывает на тех, где производная отрицательна ($f'(x) < 0$).
1. Находим производную функции $f(x)$:
$f'(x) = (1 + 1,5x - 3x^2 - 2,5x^3)' = 1,5 - 6x - 7,5x^2$
2. Находим критические точки, приравняв производную к нулю:
$-7,5x^2 - 6x + 1,5 = 0$
Умножим уравнение на -2 для удобства вычислений:
$15x^2 + 12x - 3 = 0$
Разделим уравнение на 3:
$5x^2 + 4x - 1 = 0$
Решим квадратное уравнение. Дискриминант $D = b^2 - 4ac = 4^2 - 4 \cdot 5 \cdot (-1) = 16 + 20 = 36$.
Корни уравнения: $x_1 = \frac{-4 - \sqrt{36}}{2 \cdot 5} = \frac{-4 - 6}{10} = -1$ $x_2 = \frac{-4 + \sqrt{36}}{2 \cdot 5} = \frac{-4 + 6}{10} = \frac{2}{10} = 0,2$
3. Критические точки $x = -1$ и $x = 0,2$ делят числовую ось на три интервала: $(-\infty; -1)$, $(-1; 0,2)$ и $(0,2; +\infty)$. Определим знак производной $f'(x) = -7,5x^2 - 6x + 1,5$ в каждом интервале. Графиком производной является парабола с ветвями, направленными вниз.
- На интервале $(-\infty; -1)$: $f'(-2) = -7,5(-2)^2 - 6(-2) + 1,5 = -30 + 12 + 1,5 = -16,5 < 0$. Функция убывает.
- На интервале $(-1; 0,2)$: $f'(0) = 1,5 > 0$. Функция возрастает.
- На интервале $(0,2; +\infty)$: $f'(1) = -7,5 - 6 + 1,5 = -12 < 0$. Функция убывает.
Ответ: функция возрастает на промежутке $[-1; 0,2]$; функция убывает на промежутках $(-\infty; -1]$ и $[0,2; +\infty)$.
б) $f(x) = \frac{x^5}{5} - \frac{x^3}{3} - 6x + 1$
1. Находим производную функции $f(x)$:
$f'(x) = (\frac{x^5}{5} - \frac{x^3}{3} - 6x + 1)' = \frac{5x^4}{5} - \frac{3x^2}{3} - 6 = x^4 - x^2 - 6$
2. Находим критические точки, решая уравнение $f'(x) = 0$:
$x^4 - x^2 - 6 = 0$
Это биквадратное уравнение. Сделаем замену $y = x^2$ ($y \ge 0$):
$y^2 - y - 6 = 0$
По теореме Виета, корни $y_1 = 3$ и $y_2 = -2$.
Корень $y_2 = -2$ не удовлетворяет условию $y \ge 0$.
Возвращаемся к замене: $x^2 = 3$, откуда $x_1 = \sqrt{3}$ и $x_2 = -\sqrt{3}$.
3. Критические точки $x = -\sqrt{3}$ и $x = \sqrt{3}$ делят числовую ось на три интервала. Определим знак производной $f'(x) = x^4 - x^2 - 6$ в каждом из них.
- На интервале $(-\infty; -\sqrt{3})$: $f'(-2) = (-2)^4 - (-2)^2 - 6 = 16 - 4 - 6 = 6 > 0$. Функция возрастает.
- На интервале $(-\sqrt{3}; \sqrt{3})$: $f'(0) = 0^4 - 0^2 - 6 = -6 < 0$. Функция убывает.
- На интервале $(\sqrt{3}; +\infty)$: $f'(2) = 2^4 - 2^2 - 6 = 16 - 4 - 6 = 6 > 0$. Функция возрастает.
Ответ: функция возрастает на промежутках $(-\infty; -\sqrt{3}]$ и $[\sqrt{3}; +\infty)$; функция убывает на промежутке $[-\sqrt{3}; \sqrt{3}]$.
в) $f(x) = \frac{x^4}{4} + 8x - 5$
1. Находим производную функции $f(x)$:
$f'(x) = (\frac{x^4}{4} + 8x - 5)' = \frac{4x^3}{4} + 8 = x^3 + 8$
2. Находим критические точки, решая уравнение $f'(x) = 0$:
$x^3 + 8 = 0$
$x^3 = -8$
$x = -2$
3. Критическая точка $x = -2$ делит числовую ось на два интервала. Определим знак производной $f'(x) = x^3 + 8$ в каждом из них.
- На интервале $(-\infty; -2)$: $f'(-3) = (-3)^3 + 8 = -27 + 8 = -19 < 0$. Функция убывает.
- На интервале $(-2; +\infty)$: $f'(0) = 0^3 + 8 = 8 > 0$. Функция возрастает.
Ответ: функция возрастает на промежутке $[-2; +\infty)$; функция убывает на промежутке $(-\infty; -2]$.
г) $f(x) = x^3 - 6x^2 - 15x - 2$
1. Находим производную функции $f(x)$:
$f'(x) = (x^3 - 6x^2 - 15x - 2)' = 3x^2 - 12x - 15$
2. Находим критические точки, решая уравнение $f'(x) = 0$:
$3x^2 - 12x - 15 = 0$
Разделим уравнение на 3:
$x^2 - 4x - 5 = 0$
По теореме Виета, корни $x_1 = 5$ и $x_2 = -1$.
3. Критические точки $x = -1$ и $x = 5$ делят числовую ось на три интервала. Определим знак производной $f'(x) = 3x^2 - 12x - 15$ в каждом интервале. Графиком производной является парабола с ветвями, направленными вверх.
- На интервале $(-\infty; -1)$: $f'(-2) = 3(-2)^2 - 12(-2) - 15 = 12 + 24 - 15 = 21 > 0$. Функция возрастает.
- На интервале $(-1; 5)$: $f'(0) = 3(0)^2 - 12(0) - 15 = -15 < 0$. Функция убывает.
- На интервале $(5; +\infty)$: $f'(6) = 3(6)^2 - 12(6) - 15 = 108 - 72 - 15 = 21 > 0$. Функция возрастает.
Ответ: функция возрастает на промежутках $(-\infty; -1]$ и $[5; +\infty)$; функция убывает на промежутке $[-1; 5]$.
Другие задания:
Помогло решение? Оставьте отзыв в комментариях ниже.
Присоединяйтесь к Телеграм-группе @top_gdz
ПрисоединитьсяМы подготовили для вас ответ c подробным объяснением домашего задания по алгебре за 10-11 класс, для упражнения номер 298 расположенного на странице 154 к учебнику 2008 года издания для учащихся школ и гимназий.
Теперь на нашем сайте ГДЗ.ТОП вы всегда легко и бесплатно найдёте условие с правильным ответом на вопрос «Как решить ДЗ» и «Как сделать» задание по алгебре к упражнению №298 (с. 154), авторов: Колмогоров (Андрей Николаевич), Абрамов (Александр Михайлович), Дудницын (Юрий Павлович), учебного пособия издательства Просвещение.
 
                     
                     
                     
                     
                     
                     
                     
                     
                     
                     
                     
                     
                     
                     
                     
                     
                     
                     
                    