Номер 302, страница 154 - гдз по алгебре 10-11 класс учебник Колмогоров, Абрамов
 
                                                Авторы: Колмогоров А. Н., Абрамов А. М., Дудницын Ю. П.
Тип: Учебник
Издательство: Просвещение
Год издания: 2008 - 2025
Цвет обложки: зелёный, чёрный
ISBN: 978-5-09-019513-3
Рекомендовано Министерством образования и науки Российской Федерации
Алгебра и начала математического анализа
Популярные ГДЗ в 10 классе
Глава 2. Производная и её применения. Параграф 6. Применения производной к исследованию функции - номер 302, страница 154.
№302 (с. 154)
Условие. №302 (с. 154)
скриншот условия
 
                                                                                                                                        302.—
a) $f(x) = \sin^2 x + \sin x$;
б) $f(x) = \frac{2x}{1+x^2}$;
в) $f(x) = \cos^2 x - \cos x$;
г) $f(x) = \frac{x}{x-1}$.
Решение 1. №302 (с. 154)
 
                                                                            
                                                                                                         
                                                                            
                                                                                                         
                                                                            
                                                                                                         
                                                                                                                        Решение 3. №302 (с. 154)
 
                                                                            
                                                                                                         
                                                                                                                        Решение 5. №302 (с. 154)
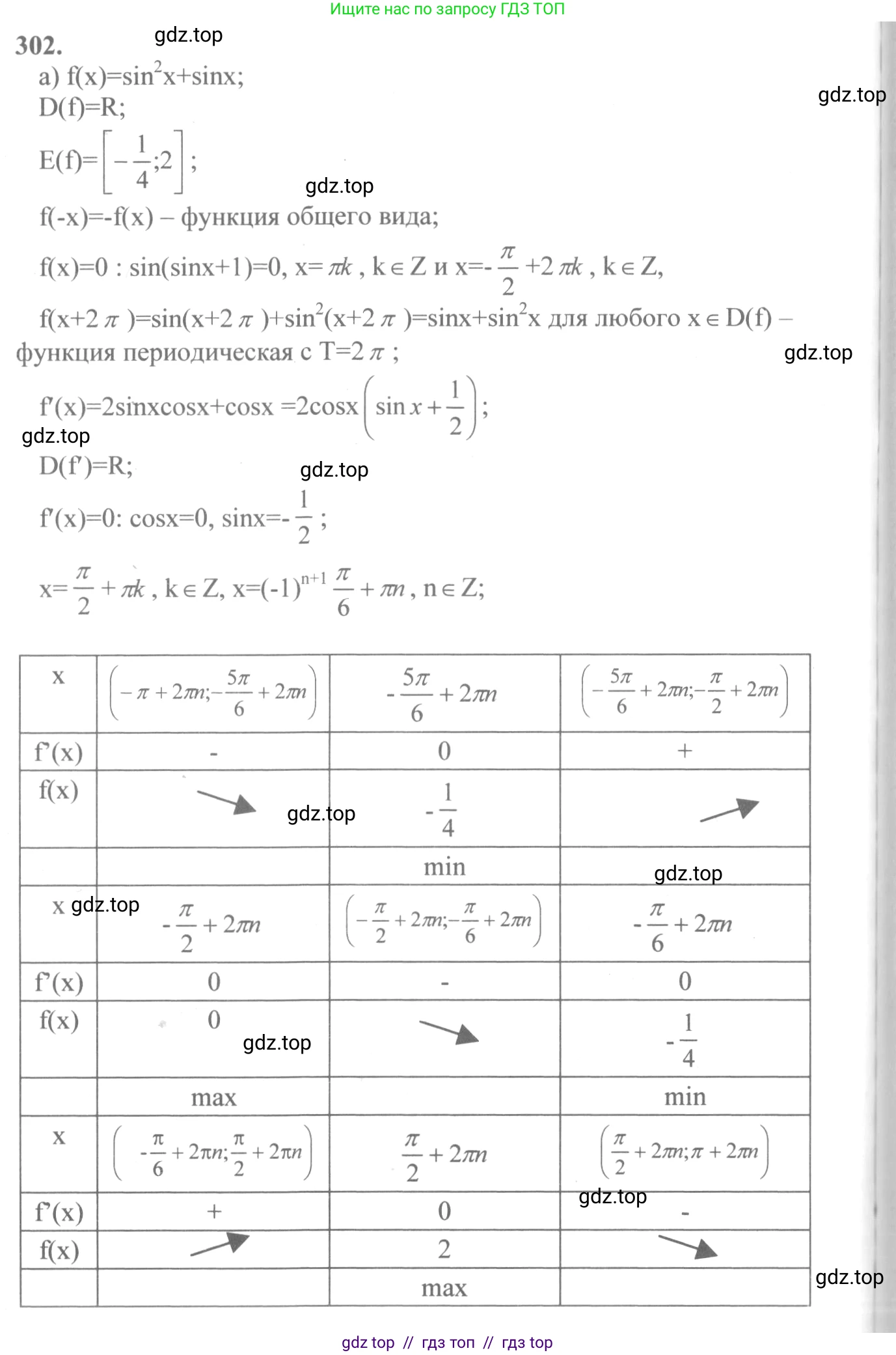
а) Чтобы найти область значений функции $f(x) = \sin^2 x + \sin x$, сделаем замену переменной. Пусть $t = \sin x$. Поскольку значения синуса лежат в отрезке $[-1, 1]$, то и переменная $t$ будет принимать значения из этого же отрезка: $t \in [-1, 1]$.
Наша функция принимает вид квадратичной функции от $t$: $g(t) = t^2 + t$. Теперь задача сводится к нахождению множества значений этой квадратичной функции на отрезке $[-1, 1]$.
Графиком функции $g(t) = t^2 + t$ является парабола, ветви которой направлены вверх. Наименьшее значение такая функция принимает в своей вершине. Найдем абсциссу вершины параболы:
$t_v = -\frac{1}{2 \cdot 1} = -0.5$.
Так как $t_v = -0.5$ принадлежит отрезку $[-1, 1]$, то наименьшее значение функции на этом отрезке будет равно значению в вершине:
$g_{min} = g(-0.5) = (-0.5)^2 + (-0.5) = 0.25 - 0.5 = -0.25$.
Чтобы найти наибольшее значение, нужно вычислить значения функции на концах отрезка $[-1, 1]$ и сравнить их.
$g(-1) = (-1)^2 + (-1) = 1 - 1 = 0$.
$g(1) = 1^2 + 1 = 2$.
Сравнивая значения $g(-1)=0$ и $g(1)=2$, видим, что наибольшее значение функции на отрезке равно 2.
Таким образом, область значений функции $g(t)$ на отрезке $[-1, 1]$ есть отрезок $[-0.25, 2]$. Следовательно, и область значений исходной функции $f(x)$ та же.
Ответ: $E(f) = [-0.25, 2]$.
б) Для нахождения области значений функции $f(x) = \frac{2x}{1+x^2}$, приравняем ее к $y$:
$y = \frac{2x}{1+x^2}$.
Выразим $x$ через $y$. Так как $1+x^2 > 0$ для любого $x$, мы можем умножить обе части уравнения на $1+x^2$:
$y(1+x^2) = 2x$
$y + yx^2 = 2x$
$yx^2 - 2x + y = 0$.
Мы получили квадратное уравнение относительно $x$. Это уравнение имеет действительные решения для $x$ только в том случае, если его дискриминант $D$ неотрицателен, то есть $D \ge 0$.
Рассмотрим два случая.
1. Если $y = 0$, уравнение принимает вид $-2x = 0$, откуда $x=0$. Значит, $y=0$ входит в область значений функции.
2. Если $y \neq 0$, то мы имеем полноценное квадратное уравнение. Его дискриминант равен:
$D = (-2)^2 - 4 \cdot y \cdot y = 4 - 4y^2$.
Условие $D \ge 0$ дает нам неравенство:
$4 - 4y^2 \ge 0$
$4(1 - y^2) \ge 0$
$1 - y^2 \ge 0$
$(1 - y)(1 + y) \ge 0$.
Решением этого неравенства является отрезок $y \in [-1, 1]$.
Объединяя оба случая, получаем, что область значений функции - это отрезок $[-1, 1]$.
Ответ: $E(f) = [-1, 1]$.
в) Задача для функции $f(x) = \cos^2 x - \cos x$ решается аналогично пункту а). Сделаем замену переменной $t = \cos x$. Область значений косинуса — отрезок $[-1, 1]$, поэтому $t \in [-1, 1]$.
Получаем квадратичную функцию $h(t) = t^2 - t$. Нам нужно найти ее область значений на отрезке $[-1, 1]$.
График функции $h(t)$ — парабола с ветвями вверх. Найдем ее вершину:
$t_v = -\frac{-1}{2 \cdot 1} = 0.5$.
Вершина $t_v = 0.5$ находится внутри отрезка $[-1, 1]$, следовательно, в этой точке функция достигает своего наименьшего значения на данном отрезке:
$h_{min} = h(0.5) = (0.5)^2 - 0.5 = 0.25 - 0.5 = -0.25$.
Наибольшее значение ищем на концах отрезка:
$h(-1) = (-1)^2 - (-1) = 1 + 1 = 2$.
$h(1) = 1^2 - 1 = 0$.
Наибольшее из этих значений равно 2.
Таким образом, множество значений функции $h(t)$ на отрезке $[-1, 1]$ — это отрезок $[-0.25, 2]$. Это и есть область значений исходной функции $f(x)$.
Ответ: $E(f) = [-0.25, 2]$.
г) Чтобы найти область значений функции $f(x) = \frac{x}{x-1}$, преобразуем ее выражение.
$f(x) = \frac{x-1+1}{x-1} = \frac{x-1}{x-1} + \frac{1}{x-1} = 1 + \frac{1}{x-1}$.
Область определения функции: $x \neq 1$.
Выражение $\frac{1}{x-1}$ может принимать любые действительные значения, кроме нуля. Это происходит потому, что знаменатель $x-1$ может быть любым числом, кроме нуля, а значит, обратная величина $\frac{1}{x-1}$ также может быть любым числом, кроме нуля.
Тогда выражение $1 + \frac{1}{x-1}$ может принимать любые действительные значения, кроме $1+0=1$.
Таким образом, область значений функции состоит из всех действительных чисел, кроме 1.
Геометрически, график функции $y = 1 + \frac{1}{x-1}$ получается из графика $y = \frac{1}{x}$ сдвигом на 1 единицу вправо и на 1 единицу вверх. Горизонтальная асимптота графика $y=\frac{1}{x}$ — это ось $y=0$. После сдвига вверх на 1, она превращается в прямую $y=1$, которую график функции не пересекает.
Ответ: $E(f) = (-\infty; 1) \cup (1; +\infty)$.
Другие задания:
Помогло решение? Оставьте отзыв в комментариях ниже.
Присоединяйтесь к Телеграм-группе @top_gdz
ПрисоединитьсяМы подготовили для вас ответ c подробным объяснением домашего задания по алгебре за 10-11 класс, для упражнения номер 302 расположенного на странице 154 к учебнику 2008 года издания для учащихся школ и гимназий.
Теперь на нашем сайте ГДЗ.ТОП вы всегда легко и бесплатно найдёте условие с правильным ответом на вопрос «Как решить ДЗ» и «Как сделать» задание по алгебре к упражнению №302 (с. 154), авторов: Колмогоров (Андрей Николаевич), Абрамов (Александр Михайлович), Дудницын (Юрий Павлович), учебного пособия издательства Просвещение.
 
                     
                     
                     
                     
                     
                     
                     
                     
                     
                     
                     
                     
                     
                     
                     
                     
                     
                     
                    