Номер 300, страница 154 - гдз по алгебре 10-11 класс учебник Колмогоров, Абрамов
 
                                                Авторы: Колмогоров А. Н., Абрамов А. М., Дудницын Ю. П.
Тип: Учебник
Издательство: Просвещение
Год издания: 2008 - 2025
Цвет обложки: зелёный, чёрный
ISBN: 978-5-09-019513-3
Рекомендовано Министерством образования и науки Российской Федерации
Алгебра и начала математического анализа
Популярные ГДЗ в 10 классе
Глава 2. Производная и её применения. Параграф 6. Применения производной к исследованию функции - номер 300, страница 154.
№300 (с. 154)
Условие. №300 (с. 154)
скриншот условия
 
                                                                                                                                        Исследуйте функцию и постройте ее график (300—302).
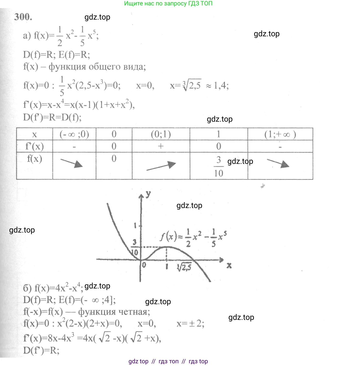
.300.— а) $f(x) = \frac{1}{2}x^2 - \frac{1}{5}x^5$;
б) $f(x) = 4x^2 - x^4$;
в) $f(x) = \frac{1}{5}x^5 - 1\frac{1}{3}x^3$;
г) $f(x) = 5x^3 - 3x^5$.
Решение 1. №300 (с. 154)
 
                                                                            
                                                                                                         
                                                                            
                                                                                                         
                                                                            
                                                                                                         
                                                                                                                        Решение 3. №300 (с. 154)
 
                                                                            
                                                                                                         
                                                                                                                        Решение 4. №300 (с. 154)
 
                                                                                                                        Решение 5. №300 (с. 154)
а) $f(x) = \frac{1}{2}x^2 - \frac{1}{5}x^5$
1. Область определения функции.
Функция является многочленом, поэтому ее область определения — все действительные числа: $D(f) = (-\infty; +\infty)$.
2. Четность и нечетность.
$f(-x) = \frac{1}{2}(-x)^2 - \frac{1}{5}(-x)^5 = \frac{1}{2}x^2 + \frac{1}{5}x^5$.
Так как $f(-x) \neq f(x)$ и $f(-x) \neq -f(x)$, функция не является ни четной, ни нечетной (функция общего вида).
3. Точки пересечения с осями координат.
С осью Oy: $x=0$, $y = f(0) = 0$. Точка $(0, 0)$.
С осью Ox: $y=0$, $\frac{1}{2}x^2 - \frac{1}{5}x^5 = 0 \Rightarrow x^2(\frac{1}{2} - \frac{1}{5}x^3) = 0$.
Корни: $x_1 = 0$, $x_2 = \sqrt[3]{\frac{5}{2}} \approx 1.36$. Точки $(0, 0)$ и $(\sqrt[3]{5/2}, 0)$.
4. Производная и критические точки.
$f'(x) = (\frac{1}{2}x^2 - \frac{1}{5}x^5)' = x - x^4 = x(1 - x^3)$.
Найдем критические точки, решив уравнение $f'(x) = 0$: $x(1 - x^3) = 0$.
Критические точки: $x_1 = 0$, $x_2 = 1$.
5. Промежутки возрастания и убывания, экстремумы.
Исследуем знак производной на интервалах, на которые критические точки делят область определения:
- При $x \in (-\infty, 0)$, $f'(x) < 0$, функция убывает.
- При $x \in (0, 1)$, $f'(x) > 0$, функция возрастает.
- При $x \in (1, +\infty)$, $f'(x) < 0$, функция убывает.
В точке $x=0$ производная меняет знак с "-" на "+", следовательно, это точка локального минимума. $f(0)=0$.
В точке $x=1$ производная меняет знак с "+" на "-", следовательно, это точка локального максимума. $f(1) = \frac{1}{2} - \frac{1}{5} = \frac{3}{10} = 0.3$.
6. Вторая производная, точки перегиба, выпуклость и вогнутость.
$f''(x) = (x - x^4)' = 1 - 4x^3$.
Найдем точки, где $f''(x) = 0$: $1 - 4x^3 = 0 \Rightarrow x^3 = \frac{1}{4} \Rightarrow x = \frac{1}{\sqrt[3]{4}} \approx 0.63$.
- При $x \in (-\infty, 1/\sqrt[3]{4})$, $f''(x) > 0$, график вогнутый (выпуклый вниз).
- При $x \in (1/\sqrt[3]{4}, +\infty)$, $f''(x) < 0$, график выпуклый (выпуклый вверх).
Точка $x = 1/\sqrt[3]{4}$ является точкой перегиба. $f(1/\sqrt[3]{4}) = \frac{1}{2}(\frac{1}{4^{1/3}})^2 - \frac{1}{5}(\frac{1}{4^{1/3}})^5 = \frac{3}{10 \cdot 4^{2/3}} \approx 0.18$.
7. Поведение на бесконечности.
$\lim_{x \to +\infty} (\frac{1}{2}x^2 - \frac{1}{5}x^5) = -\infty$.
$\lim_{x \to -\infty} (\frac{1}{2}x^2 - \frac{1}{5}x^5) = +\infty$.
На основе полученных данных строим график функции.
Ответ: Функция убывает на $(-\infty, 0]$ и $[1, +\infty)$, возрастает на $[0, 1]$. Точка минимума $(0, 0)$, точка максимума $(1, 0.3)$. График вогнутый на $(-\infty, 1/\sqrt[3]{4}]$, выпуклый на $[1/\sqrt[3]{4}, +\infty)$. Точка перегиба $(\frac{1}{\sqrt[3]{4}}, \frac{3}{10 \cdot 4^{2/3}})$.
б) $f(x) = 4x^2 - x^4$
1. Область определения функции.
$D(f) = (-\infty; +\infty)$.
2. Четность и нечетность.
$f(-x) = 4(-x)^2 - (-x)^4 = 4x^2 - x^4 = f(x)$.
Функция является четной, ее график симметричен относительно оси Oy.
3. Точки пересечения с осями координат.
С осью Oy: $x=0$, $y = f(0) = 0$. Точка $(0, 0)$.
С осью Ox: $y=0$, $4x^2 - x^4 = 0 \Rightarrow x^2(4 - x^2) = 0$.
Корни: $x_1 = 0$, $x_{2,3} = \pm 2$. Точки $(0, 0)$, $(2, 0)$, $(-2, 0)$.
4. Производная и критические точки.
$f'(x) = (4x^2 - x^4)' = 8x - 4x^3 = 4x(2 - x^2)$.
Критические точки: $4x(2 - x^2) = 0 \Rightarrow x_1 = 0, x_{2,3} = \pm\sqrt{2}$.
5. Промежутки возрастания и убывания, экстремумы.
- При $x \in (-\infty, -\sqrt{2})$, $f'(x) > 0$, функция возрастает.
- При $x \in (-\sqrt{2}, 0)$, $f'(x) < 0$, функция убывает.
- При $x \in (0, \sqrt{2})$, $f'(x) > 0$, функция возрастает.
- При $x \in (\sqrt{2}, +\infty)$, $f'(x) < 0$, функция убывает.
Точки $x=-\sqrt{2}$ и $x=\sqrt{2}$ — точки локального максимума. $f(\pm\sqrt{2}) = 4(\pm\sqrt{2})^2 - (\pm\sqrt{2})^4 = 8 - 4 = 4$.
Точка $x=0$ — точка локального минимума. $f(0)=0$.
6. Вторая производная, точки перегиба, выпуклость и вогнутость.
$f''(x) = (8x - 4x^3)' = 8 - 12x^2 = 4(2 - 3x^2)$.
Найдем точки, где $f''(x) = 0$: $8 - 12x^2 = 0 \Rightarrow x^2 = \frac{2}{3} \Rightarrow x = \pm\sqrt{\frac{2}{3}}$.
- При $x \in (-\infty, -\sqrt{2/3})$ и $x \in (\sqrt{2/3}, +\infty)$, $f''(x) < 0$, график выпуклый.
- При $x \in (-\sqrt{2/3}, \sqrt{2/3})$, $f''(x) > 0$, график вогнутый.
Точки $x = \pm\sqrt{2/3}$ являются точками перегиба. $f(\pm\sqrt{2/3}) = 4(\frac{2}{3}) - (\frac{2}{3})^2 = \frac{8}{3} - \frac{4}{9} = \frac{20}{9}$.
7. Поведение на бесконечности.
$\lim_{x \to \pm\infty} (4x^2 - x^4) = -\infty$.
На основе полученных данных строим график функции.
Ответ: Функция четная. Возрастает на $(-\infty, -\sqrt{2}]$ и $[0, \sqrt{2}]$, убывает на $[-\sqrt{2}, 0]$ и $[\sqrt{2}, +\infty)$. Точки максимума $(-\sqrt{2}, 4)$ и $(\sqrt{2}, 4)$, точка минимума $(0, 0)$. График выпуклый на $(-\infty, -\sqrt{2/3}]$ и $[\sqrt{2/3}, +\infty)$, вогнутый на $[-\sqrt{2/3}, \sqrt{2/3}]$. Точки перегиба $(\pm\sqrt{2/3}, 20/9)$.
в) $f(x) = \frac{1}{5}x^5 - \frac{1}{3}x^3$
1. Область определения функции.
$D(f) = (-\infty; +\infty)$.
2. Четность и нечетность.
$f(-x) = \frac{1}{5}(-x)^5 - \frac{1}{3}(-x)^3 = -\frac{1}{5}x^5 + \frac{1}{3}x^3 = -f(x)$.
Функция является нечетной, ее график симметричен относительно начала координат.
3. Точки пересечения с осями координат.
С осью Oy: $x=0$, $y = f(0) = 0$. Точка $(0, 0)$.
С осью Ox: $y=0$, $\frac{1}{5}x^5 - \frac{1}{3}x^3 = 0 \Rightarrow x^3(\frac{1}{5}x^2 - \frac{1}{3}) = 0$.
Корни: $x_1 = 0$, $x_{2,3} = \pm\sqrt{\frac{5}{3}} \approx \pm 1.29$. Точки $(0, 0)$, $(\pm\sqrt{5/3}, 0)$.
4. Производная и критические точки.
$f'(x) = x^4 - x^2 = x^2(x^2 - 1) = x^2(x-1)(x+1)$.
Критические точки: $x_1 = 0, x_2 = 1, x_3 = -1$.
5. Промежутки возрастания и убывания, экстремумы.
- При $x \in (-\infty, -1)$, $f'(x) > 0$, функция возрастает.
- При $x \in (-1, 1)$, $f'(x) \leq 0$, функция убывает (в точке $x=0$ производная равна 0).
- При $x \in (1, +\infty)$, $f'(x) > 0$, функция возрастает.
Точка $x=-1$ — точка локального максимума. $f(-1) = -\frac{1}{5} + \frac{1}{3} = \frac{2}{15}$.
Точка $x=1$ — точка локального минимума. $f(1) = \frac{1}{5} - \frac{1}{3} = -\frac{2}{15}$.
В точке $x=0$ производная не меняет знак, это не экстремум.
6. Вторая производная, точки перегиба, выпуклость и вогнутость.
$f''(x) = (x^4 - x^2)' = 4x^3 - 2x = 2x(2x^2 - 1)$.
Точки, где $f''(x) = 0$: $x=0, x=\pm\frac{1}{\sqrt{2}}$.
- При $x \in (-\infty, -1/\sqrt{2})$ и $x \in (0, 1/\sqrt{2})$, $f''(x) < 0$, график выпуклый.
- При $x \in (-1/\sqrt{2}, 0)$ и $x \in (1/\sqrt{2}, +\infty)$, $f''(x) > 0$, график вогнутый.
Точки $x=0, x=\pm 1/\sqrt{2}$ являются точками перегиба. $f(0)=0$, $f(\pm 1/\sqrt{2}) = \mp \frac{7}{60\sqrt{2}}$.
7. Поведение на бесконечности.
$\lim_{x \to +\infty} f(x) = +\infty$, $\lim_{x \to -\infty} f(x) = -\infty$.
На основе полученных данных строим график функции.
Ответ: Функция нечетная. Возрастает на $(-\infty, -1]$ и $[1, +\infty)$, убывает на $[-1, 1]$. Точка максимума $(-1, 2/15)$, точка минимума $(1, -2/15)$. График выпуклый на $(-\infty, -1/\sqrt{2}]$ и $[0, 1/\sqrt{2}]$, вогнутый на $[-1/\sqrt{2}, 0]$ и $[1/\sqrt{2}, +\infty)$. Точки перегиба $(0, 0)$ и $(\pm 1/\sqrt{2}, \mp \frac{7}{60\sqrt{2}})$.
г) $f(x) = 5x^3 - 3x^5$
1. Область определения функции.
$D(f) = (-\infty; +\infty)$.
2. Четность и нечетность.
$f(-x) = 5(-x)^3 - 3(-x)^5 = -5x^3 + 3x^5 = -f(x)$.
Функция является нечетной, ее график симметричен относительно начала координат.
3. Точки пересечения с осями координат.
С осью Oy: $x=0$, $y = f(0) = 0$. Точка $(0, 0)$.
С осью Ox: $y=0$, $5x^3 - 3x^5 = 0 \Rightarrow x^3(5 - 3x^2) = 0$.
Корни: $x_1 = 0$, $x_{2,3} = \pm\sqrt{\frac{5}{3}}$. Точки $(0, 0)$, $(\pm\sqrt{5/3}, 0)$.
4. Производная и критические точки.
$f'(x) = 15x^2 - 15x^4 = 15x^2(1 - x^2)$.
Критические точки: $x_1 = 0, x_{2,3} = \pm 1$.
5. Промежутки возрастания и убывания, экстремумы.
- При $x \in (-\infty, -1)$, $f'(x) < 0$, функция убывает.
- При $x \in (-1, 1)$, $f'(x) \geq 0$, функция возрастает (в точке $x=0$ производная равна 0).
- При $x \in (1, +\infty)$, $f'(x) < 0$, функция убывает.
Точка $x=-1$ — точка локального минимума. $f(-1) = -5 + 3 = -2$.
Точка $x=1$ — точка локального максимума. $f(1) = 5 - 3 = 2$.
В точке $x=0$ производная не меняет знак, это не экстремум.
6. Вторая производная, точки перегиба, выпуклость и вогнутость.
$f''(x) = (15x^2 - 15x^4)' = 30x - 60x^3 = 30x(1 - 2x^2)$.
Точки, где $f''(x) = 0$: $x=0, x=\pm\frac{1}{\sqrt{2}}$.
- При $x \in (-\infty, -1/\sqrt{2})$ и $x \in (0, 1/\sqrt{2})$, $f''(x) > 0$, график вогнутый.
- При $x \in (-1/\sqrt{2}, 0)$ и $x \in (1/\sqrt{2}, +\infty)$, $f''(x) < 0$, график выпуклый.
Точки $x=0, x=\pm 1/\sqrt{2}$ являются точками перегиба. $f(0)=0$, $f(\pm 1/\sqrt{2}) = \pm \frac{7\sqrt{2}}{8} \approx \pm 1.24$.
7. Поведение на бесконечности.
$\lim_{x \to +\infty} f(x) = -\infty$, $\lim_{x \to -\infty} f(x) = +\infty$.
На основе полученных данных строим график функции.
Ответ: Функция нечетная. Убывает на $(-\infty, -1]$ и $[1, +\infty)$, возрастает на $[-1, 1]$. Точка минимума $(-1, -2)$, точка максимума $(1, 2)$. График вогнутый на $(-\infty, -1/\sqrt{2}]$ и $[0, 1/\sqrt{2}]$, выпуклый на $[-1/\sqrt{2}, 0]$ и $[1/\sqrt{2}, +\infty)$. Точки перегиба $(0, 0)$ и $(\pm 1/\sqrt{2}, \pm \frac{7\sqrt{2}}{8})$.
Другие задания:
Помогло решение? Оставьте отзыв в комментариях ниже.
Присоединяйтесь к Телеграм-группе @top_gdz
ПрисоединитьсяМы подготовили для вас ответ c подробным объяснением домашего задания по алгебре за 10-11 класс, для упражнения номер 300 расположенного на странице 154 к учебнику 2008 года издания для учащихся школ и гимназий.
Теперь на нашем сайте ГДЗ.ТОП вы всегда легко и бесплатно найдёте условие с правильным ответом на вопрос «Как решить ДЗ» и «Как сделать» задание по алгебре к упражнению №300 (с. 154), авторов: Колмогоров (Андрей Николаевич), Абрамов (Александр Михайлович), Дудницын (Юрий Павлович), учебного пособия издательства Просвещение.
 
                     
                     
                     
                     
                     
                     
                     
                     
                     
                     
                     
                     
                     
                     
                     
                     
                     
                     
                    