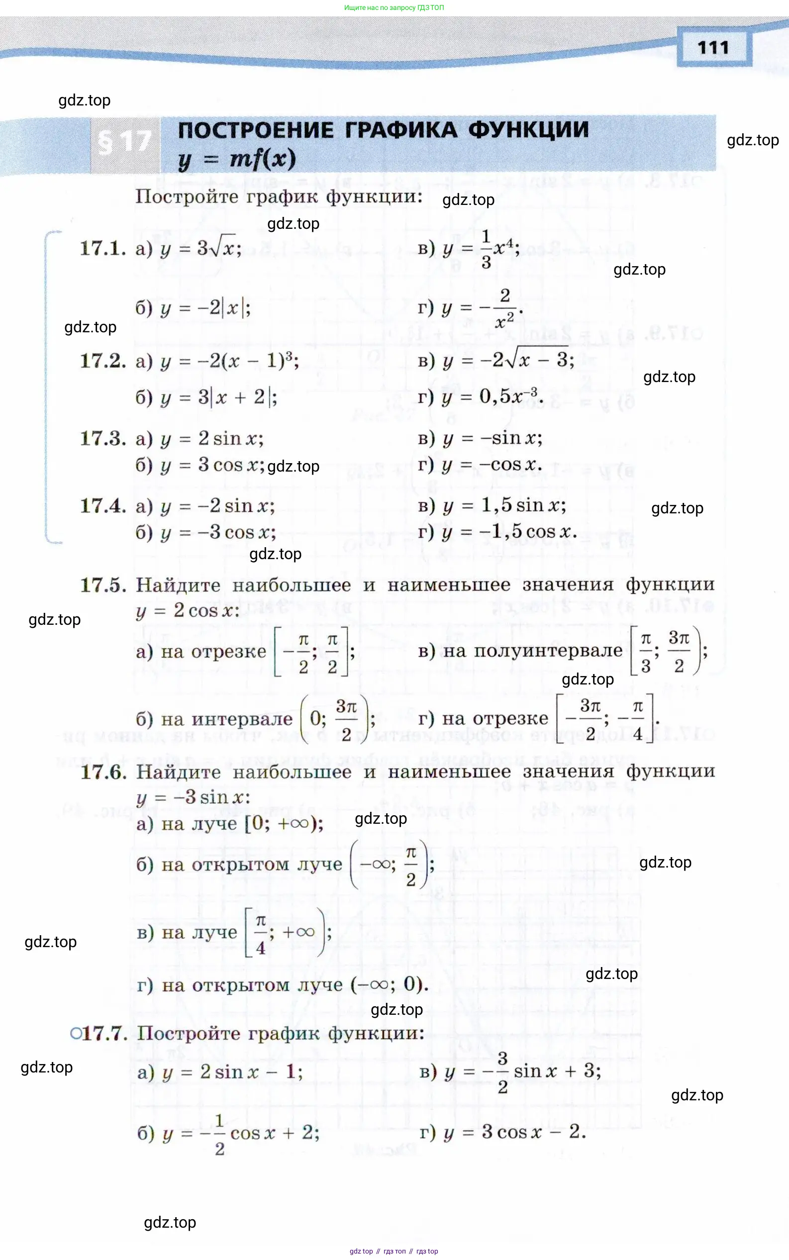
Страница 111, часть 2 - гдз по алгебре 10 класс учебник часть 1, 2 Мордкович, Семенов
 
                                                Авторы: Мордкович А. Г., Семенов П. В., Денищева Л. О., Звавич Л. И., Корешкова Т. А., Мишустина Т. Н., Рязановский А. Р.
Тип: Учебник
Издательство: Мнемозина
Год издания: 2019 - 2025
Уровень обучения: базовый и углублённый
Часть: 2
ISBN: 978-5-346-04648-6 (общ.), 978-5-346-04649-3 (ч. 1), 978-5-346-04650-9 (ч. 2),
Допущено Министерством просвещения Российской Федерации
Математика: алгебра и начала математического анализа, геометрия
Популярные ГДЗ в 10 классе
Часть 2. Cтраница 111
 
                                                            Другие страницы:
Помогло решение? Оставьте отзыв в комментариях ниже.
 
                     
                     
                     
                     
                     
                     
                     
                     
                     
                     
                     
                     
                     
                     
                     
                     
                     
                     
                    