Номер 19.61, страница 187 - гдз по геометрии 11 класс учебник Мерзляк, Номировский

Авторы: Мерзляк А. Г., Номировский Д. А., Поляков В. М.
Тип: Учебник
Издательство: Вентана-граф
Год издания: 2019 - 2025
Уровень обучения: углублённый
Цвет обложки:
ISBN: 978-5-360-10036-2
Популярные ГДЗ в 11 классе
Параграф 19. Формулы для вычисления объёмов пирамиды и усечённой пирамиды. Глава 3. Объёмы тел. Площадь сферы - номер 19.61, страница 187.
№19.61 (с. 187)
Условие. №19.61 (с. 187)
скриншот условия

19.61. Большая диагональ прямоугольной трапеции делит высоту, проведённую из вершины тупого угла, на отрезки длиной 9 см и 15 см, а большая боковая сторона трапеции равна её меньшему основанию. Найдите площадь трапеции.
Решение 1. №19.61 (с. 187)


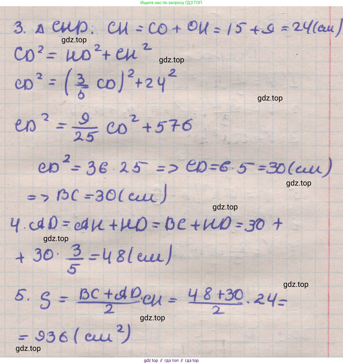
Решение 3. №19.61 (с. 187)
Пусть дана прямоугольная трапеция ABCD, в которой основания AB и DC параллельны ($AB \parallel DC$), а боковая сторона AD перпендикулярна основаниям ($AD \perp AB$ и $AD \perp DC$). В такой трапеции углы ∠A и ∠D являются прямыми. Предположим, что основание AB больше основания DC, тогда угол ∠C будет тупым, а угол ∠B — острым.
Проведем высоту CH из вершины тупого угла C на большее основание AB. Так как ADCH — прямоугольник, высота трапеции $h$ равна AD и CH, то есть $h = AD = CH$. Согласно условию, высота CH делится большей диагональю на отрезки 9 см и 15 см. Следовательно, длина высоты $CH = 9 + 15 = 24$ см. Таким образом, $h = 24$ см.
Определим, какая из диагоналей (AC или BD) является большей. Рассмотрим прямоугольные треугольники ΔADC и ΔADB: $AC^2 = AD^2 + DC^2$ $BD^2 = AD^2 + AB^2$ Поскольку по нашему предположению $AB > DC$, то $BD^2 > AC^2$, а значит $BD > AC$. Большая диагональ — BD.
Пусть K — точка пересечения диагонали BD и высоты CH. Рассмотрим треугольники ΔKCD и ΔKHB. Так как основания трапеции параллельны ($DC \parallel AB$), то $DC \parallel HB$. Углы ∠KDC и ∠KBH равны как накрест лежащие при параллельных прямых DC и AB и секущей BD. Углы ∠CKD и ∠HKB равны как вертикальные. Следовательно, треугольники ΔKCD и ΔKHB подобны по двум углам.
Из подобия треугольников следует соотношение сторон: $\frac{DC}{HB} = \frac{CK}{KH}$
По условию, большая боковая сторона BC равна меньшему основанию DC. Обозначим $DC = x$, тогда и $BC = x$. В прямоугольном треугольнике CHB (∠CHB = 90°), по теореме Пифагора, $BC^2 = CH^2 + HB^2$. Подставив известные значения, получаем: $x^2 = 24^2 + HB^2$ $x^2 = 576 + HB^2$ Из этого равенства следует, что $x > HB$.
Так как $DC = x$ и $x > HB$, то $DC > HB$. Из пропорции $\frac{DC}{HB} = \frac{CK}{KH}$ следует, что $\frac{CK}{KH} > 1$, то есть $CK > KH$. Значит, $CK = 15$ см, а $KH = 9$ см. Тогда соотношение сторон принимает вид: $\frac{DC}{HB} = \frac{15}{9} = \frac{5}{3}$ Отсюда $HB = \frac{3}{5} DC = \frac{3}{5}x$.
Подставим выражение для HB в уравнение теоремы Пифагора: $x^2 = 576 + (\frac{3}{5}x)^2$ $x^2 = 576 + \frac{9}{25}x^2$ $x^2 - \frac{9}{25}x^2 = 576$ $\frac{16}{25}x^2 = 576$ $x^2 = \frac{576 \cdot 25}{16} = 36 \cdot 25 = 900$ $x = \sqrt{900} = 30$ см.
Таким образом, мы нашли длины оснований и высоту трапеции:
- Меньшее основание: $DC = x = 30$ см.
- Высота: $h = AD = 24$ см.
- Большее основание: $AB = AH + HB = DC + HB = 30 + \frac{3}{5} \cdot 30 = 30 + 18 = 48$ см.
Площадь трапеции вычисляется по формуле: $S = \frac{AB + DC}{2} \cdot h$ $S = \frac{48 + 30}{2} \cdot 24 = \frac{78}{2} \cdot 24 = 39 \cdot 24 = 936$ см2.
Ответ: 936 см2.
Другие задания:
Помогло решение? Оставьте отзыв в комментариях ниже.
Присоединяйтесь к Телеграм-группе @top_gdz
ПрисоединитьсяМы подготовили для вас ответ c подробным объяснением домашего задания по геометрии за 11 класс, для упражнения номер 19.61 расположенного на странице 187 к учебнику 2019 года издания для учащихся школ и гимназий.
Теперь на нашем сайте ГДЗ.ТОП вы всегда легко и бесплатно найдёте условие с правильным ответом на вопрос «Как решить ДЗ» и «Как сделать» задание по геометрии к упражнению №19.61 (с. 187), авторов: Мерзляк (Аркадий Григорьевич), Номировский (Дмитрий Анатольевич), Поляков (Виталий Михайлович), углублённый уровень обучения учебного пособия издательства Вентана-граф.