Номер 5.477, страница 77, часть 2 - гдз по математике 5 класс учебник Виленкин, Жохов


Авторы: Виленкин Н. Я., Жохов В. И., Чесноков А. С., Александрова Л. А., Шварцбурд С. И.
Тип: Учебник
Издательство: Просвещение
Год издания: 2023 - 2025
Уровень обучения: базовый
Часть: 2
Цвет обложки: белый, красный, синий с пазлами
Допущено Министерством просвещения Российской Федерации
Популярные ГДЗ в 5 классе
37. Умножение дробей. § 5. Обыкновенные дроби. Глава 2. Дробные числа. ч. 2 - номер 5.477, страница 77.
№5.477 (с. 77)
Условие. №5.477 (с. 77)
скриншот условия

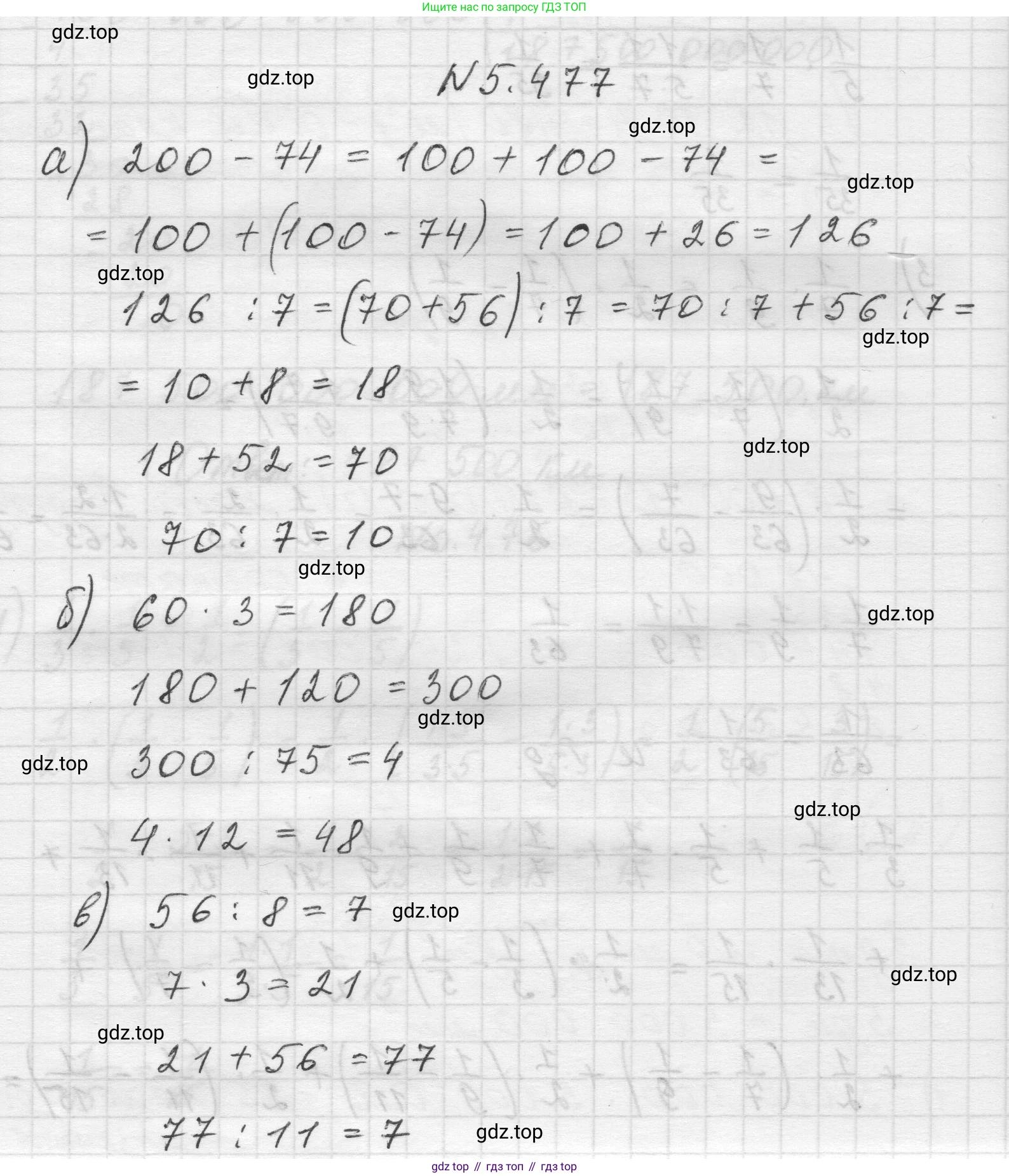
5.477 Вычислите.

Решение 1. №5.477 (с. 77)
Решение 2. №5.477 (с. 77)
Данный пример решается последовательным выполнением указанных действий:
1. Выполним вычитание: $200 - 74 = 126$.
2. Результат разделим на 7: $126 : 7 = 18$.
3. К полученному числу прибавим 52: $18 + 52 = 70$.
4. Итоговый результат разделим на 7: $70 : 7 = 10$.
Ответ: 10
б)Данный пример решается последовательным выполнением указанных действий:
1. Выполним умножение: $60 \cdot 3 = 180$.
2. К результату прибавим 120: $180 + 120 = 300$.
3. Полученную сумму разделим на 75: $300 : 75 = 4$.
4. Итоговый результат умножим на 12: $4 \cdot 12 = 48$.
Ответ: 48
в)Данный пример решается последовательным выполнением указанных действий:
1. Выполним деление: $56 : 8 = 7$.
2. Результат умножим на 3: $7 \cdot 3 = 21$.
3. К полученному числу прибавим 56: $21 + 56 = 77$.
4. Итоговый результат разделим на 11: $77 : 11 = 7$.
Ответ: 7
г)Данный пример решается последовательным выполнением указанных действий:
1. Выполним деление: $720 : 8 = 90$.
2. К результату прибавим 15: $90 + 15 = 105$.
3. Полученную сумму разделим на 5: $105 : 5 = 21$.
4. Итоговый результат умножим на 3: $21 \cdot 3 = 63$.
Ответ: 63
Решение 3. №5.477 (с. 77)

Решение 4. №5.477 (с. 77)

Другие задания:
Помогло решение? Оставьте отзыв в комментариях ниже.
Мы подготовили для вас ответ c подробным объяснением домашего задания по математике за 5 класс, для упражнения номер 5.477 расположенного на странице 77 для 2-й части к учебнику 2023 года издания для учащихся школ и гимназий.
Теперь на нашем сайте ГДЗ.ТОП вы всегда легко и бесплатно найдёте условие с правильным ответом на вопрос «Как решить ДЗ» и «Как сделать» задание по математике к упражнению №5.477 (с. 77), авторов: Виленкин (Наум Яковлевич), Жохов (Владимир Иванович), Чесноков (Александр Семёнович), Александрова (Лилия Александровна), Шварцбурд (Семён Исаакович), 2-й части ФГОС (новый, красный) базовый уровень обучения учебного пособия издательства Просвещение.