Номер 5.555, страница 88, часть 2 - гдз по математике 5 класс учебник Виленкин, Жохов


Авторы: Виленкин Н. Я., Жохов В. И., Чесноков А. С., Александрова Л. А., Шварцбурд С. И.
Тип: Учебник
Издательство: Просвещение
Год издания: 2023 - 2025
Уровень обучения: базовый
Часть: 2
Цвет обложки: белый, красный, синий с пазлами
Допущено Министерством просвещения Российской Федерации
Популярные ГДЗ в 5 классе
40. Нахождение целого по его части. § 5. Обыкновенные дроби. Глава 2. Дробные числа. ч. 2 - номер 5.555, страница 88.
№5.555 (с. 88)
Условие. №5.555 (с. 88)
скриншот условия

5.555 Вычислите.

Решение 1. №5.555 (с. 88)
Решение 2. №5.555 (с. 88)
Для решения данного примера необходимо выполнить последовательно четыре арифметических действия. Результат каждого предыдущего действия используется в следующем.
- Выполним вычитание: $270 - 214 = 56$
- Полученный результат разделим на 28: $56 : 28 = 2$
- Теперь умножим результат на 37: $2 \cdot 37 = 74$
- И в последнем действии прибавим 26: $74 + 26 = 100$
Ответ: 100
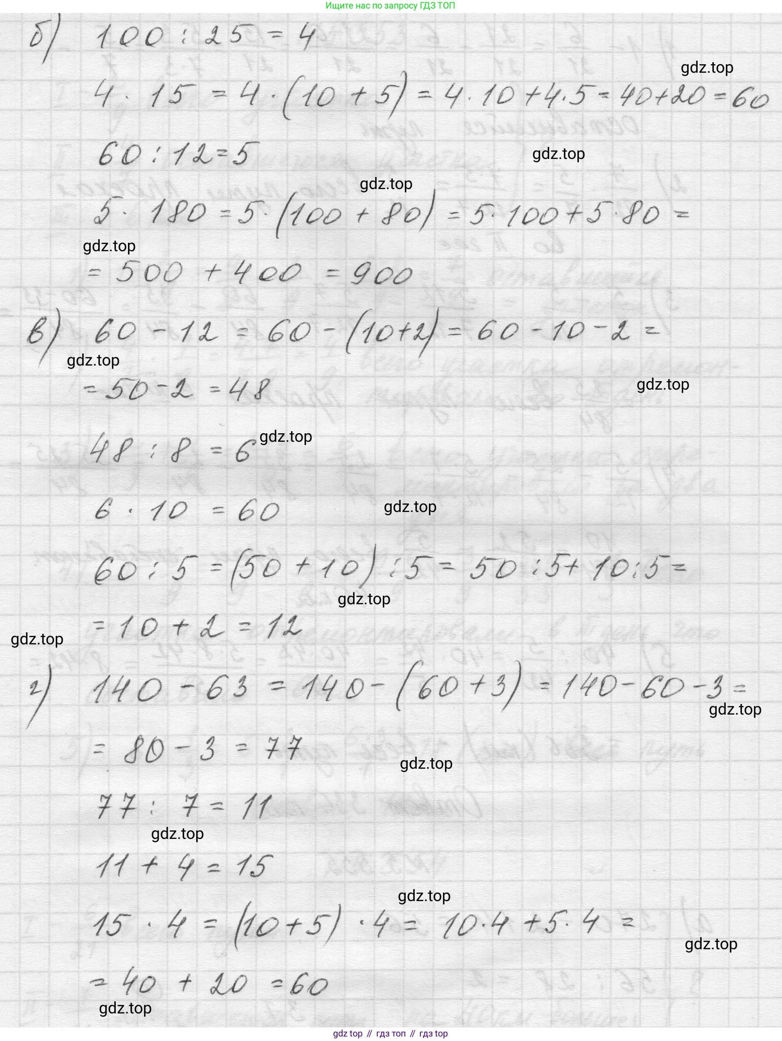
б)Решим пример по действиям, выполняя операции в указанном порядке:
- Первое действие — деление: $100 : 25 = 4$
- Результат умножаем на 15: $4 \cdot 15 = 60$
- Далее делим полученное число на 12: $60 : 12 = 5$
- Последним шагом умножаем на 180: $5 \cdot 180 = 900$
Ответ: 900
в)Выполним вычисления по порядку, как указано в задании:
- Сначала вычитание: $60 - 12 = 48$
- Затем деление результата на 8: $48 : 8 = 6$
- Следующий шаг — умножение на 10: $6 \cdot 10 = 60$
- И, наконец, деление на 5: $60 : 5 = 12$
Ответ: 12
г)Произведем вычисления в указанной последовательности:
- Первое действие — вычитание: $140 - 63 = 77$
- Результат этого действия делим на 7: $77 : 7 = 11$
- К полученному числу прибавляем 4: $11 + 4 = 15$
- В завершение умножаем результат на 4: $15 \cdot 4 = 60$
Ответ: 60
Решение 3. №5.555 (с. 88)

Решение 4. №5.555 (с. 88)

Другие задания:
Помогло решение? Оставьте отзыв в комментариях ниже.
Мы подготовили для вас ответ c подробным объяснением домашего задания по математике за 5 класс, для упражнения номер 5.555 расположенного на странице 88 для 2-й части к учебнику 2023 года издания для учащихся школ и гимназий.
Теперь на нашем сайте ГДЗ.ТОП вы всегда легко и бесплатно найдёте условие с правильным ответом на вопрос «Как решить ДЗ» и «Как сделать» задание по математике к упражнению №5.555 (с. 88), авторов: Виленкин (Наум Яковлевич), Жохов (Владимир Иванович), Чесноков (Александр Семёнович), Александрова (Лилия Александровна), Шварцбурд (Семён Исаакович), 2-й части ФГОС (новый, красный) базовый уровень обучения учебного пособия издательства Просвещение.