Номер 2, страница 53, часть 2 - гдз по математике 5 класс учебник Виленкин, Жохов


Авторы: Виленкин Н. Я., Жохов В. И., Чесноков А. С., Александрова Л. А., Шварцбурд С. И.
Тип: Учебник
Издательство: Просвещение
Год издания: 2023 - 2025
Уровень обучения: базовый
Часть: 2
Цвет обложки: белый, красный, синий с пазлами
Допущено Министерством просвещения Российской Федерации
Популярные ГДЗ в 5 классе
Проверьте себя. Проверочная работа. § 5. Обыкновенные дроби. Глава 2. Дробные числа. ч. 2 - номер 2, страница 53.
№2 (с. 53)
Условие. №2 (с. 53)
скриншот условия

2 Выполните вычитание:

Решение 1. №2 (с. 53)
Решение 2. №2 (с. 53)
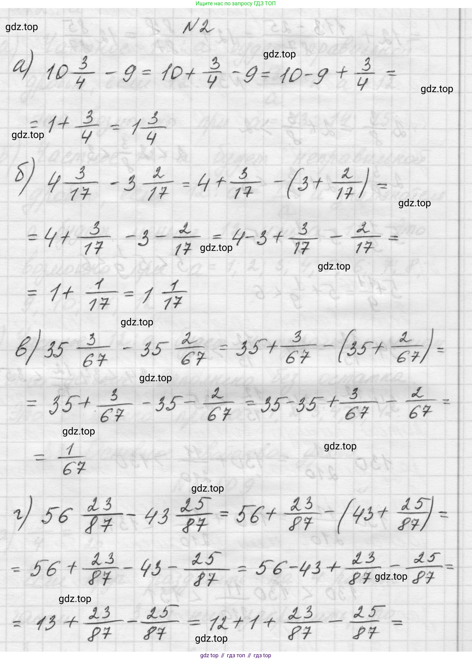
а) Чтобы вычесть целое число из смешанного числа, нужно вычесть целые части, а дробную часть оставить без изменений.
$10\frac{3}{4} - 9 = (10 - 9) + \frac{3}{4} = 1 + \frac{3}{4} = 1\frac{3}{4}$
Ответ: $1\frac{3}{4}$
б) Чтобы вычесть одно смешанное число из другого с одинаковыми знаменателями, нужно отдельно вычесть целые части и отдельно дробные части.
$4\frac{3}{17} - 3\frac{2}{17} = (4 - 3) + (\frac{3}{17} - \frac{2}{17}) = 1 + \frac{3 - 2}{17} = 1 + \frac{1}{17} = 1\frac{1}{17}$
Ответ: $1\frac{1}{17}$
в) Выполняем вычитание аналогично предыдущему примеру. Целые части равны, поэтому их разность равна нулю. Вычитаем только дробные части.
$35\frac{3}{67} - 35\frac{2}{67} = (35 - 35) + (\frac{3}{67} - \frac{2}{67}) = 0 + \frac{3 - 2}{67} = \frac{1}{67}$
Ответ: $\frac{1}{67}$
г) В данном случае дробная часть уменьшаемого ($\frac{23}{87}$) меньше дробной части вычитаемого ($\frac{25}{87}$). Поэтому необходимо "занять" единицу у целой части уменьшаемого и представить ее в виде дроби со знаменателем 87.
$56\frac{23}{87} = 55 + 1 + \frac{23}{87} = 55 + \frac{87}{87} + \frac{23}{87} = 55 + \frac{87 + 23}{87} = 55\frac{110}{87}$
Теперь можно выполнить вычитание:
$55\frac{110}{87} - 43\frac{25}{87} = (55 - 43) + (\frac{110}{87} - \frac{25}{87}) = 12 + \frac{110 - 25}{87} = 12 + \frac{85}{87} = 12\frac{85}{87}$
Ответ: $12\frac{85}{87}$
Решение 3. №2 (с. 53)

Решение 4. №2 (с. 53)

Другие задания:
Помогло решение? Оставьте отзыв в комментариях ниже.
Мы подготовили для вас ответ c подробным объяснением домашего задания по математике за 5 класс, для упражнения номер 2 расположенного на странице 53 для 2-й части к учебнику 2023 года издания для учащихся школ и гимназий.
Теперь на нашем сайте ГДЗ.ТОП вы всегда легко и бесплатно найдёте условие с правильным ответом на вопрос «Как решить ДЗ» и «Как сделать» задание по математике к упражнению №2 (с. 53), авторов: Виленкин (Наум Яковлевич), Жохов (Владимир Иванович), Чесноков (Александр Семёнович), Александрова (Лилия Александровна), Шварцбурд (Семён Исаакович), 2-й части ФГОС (новый, красный) базовый уровень обучения учебного пособия издательства Просвещение.